高级搜索

留言板

尊敬的读者、作者、审稿人, 关于本刊的投稿、审稿、编辑和出版的任何问题, 您可以本页添加留言。我们将尽快给您答复。谢谢您的支持!

姓名
邮箱
手机号码
标题
留言内容
验证码

面向电池防伪的混合型PUF标签生成技术

贺章擎 罗思雨 张军明 张寅 万美琳

贺章擎, 罗思雨, 张军明, 张寅, 万美琳. 面向电池防伪的混合型PUF标签生成技术[J]. 电子与信息学报, 2026, 48(3): 1262-1270. doi: 10.11999/JEIT250967
引用本文: 贺章擎, 罗思雨, 张军明, 张寅, 万美琳. 面向电池防伪的混合型PUF标签生成技术[J]. 电子与信息学报, 2026, 48(3): 1262-1270. doi: 10.11999/JEIT250967
HE Zhangqing, LUO Siyu, ZHANG Junming, ZHANG Yin, WAN Meilin. Hybrid PUF Tag Generation Technology for Battery Anti-counterfeiting[J]. Journal of Electronics & Information Technology, 2026, 48(3): 1262-1270. doi: 10.11999/JEIT250967
Citation: HE Zhangqing, LUO Siyu, ZHANG Junming, ZHANG Yin, WAN Meilin. Hybrid PUF Tag Generation Technology for Battery Anti-counterfeiting[J]. Journal of Electronics & Information Technology, 2026, 48(3): 1262-1270. doi: 10.11999/JEIT250967

面向电池防伪的混合型PUF标签生成技术

doi: 10.11999/JEIT250967 cstr: 32379.14.JEIT250967
基金项目: 国家自然科学基金(62271194, 62304073),湖北省自然科学基金联合基金(2025AFD029)
详细信息
    作者简介:

    贺章擎:男,教授,研究方向为集成电路设计与安全

    罗思雨:男,硕士生,研究方向为集成电路设计与安全

    张军明:男,硕士生,研究方向为集成电路设计与安全

    张寅:男,讲师,研究方向为集成电路设计与安全

    万美琳:男,教授,研究方向为数模混合集成电路设计

    通讯作者:

    万美琳 wanml@hubu.edu.cn

  • 中图分类号:  TN4;TP309.7

Hybrid PUF Tag Generation Technology for Battery Anti-counterfeiting

Funds: The National Natural Science Foundation of China (62271194, 62304073), Joint Fund Project of Hubei Provincial Natural Science Foundation (2025AFD029)
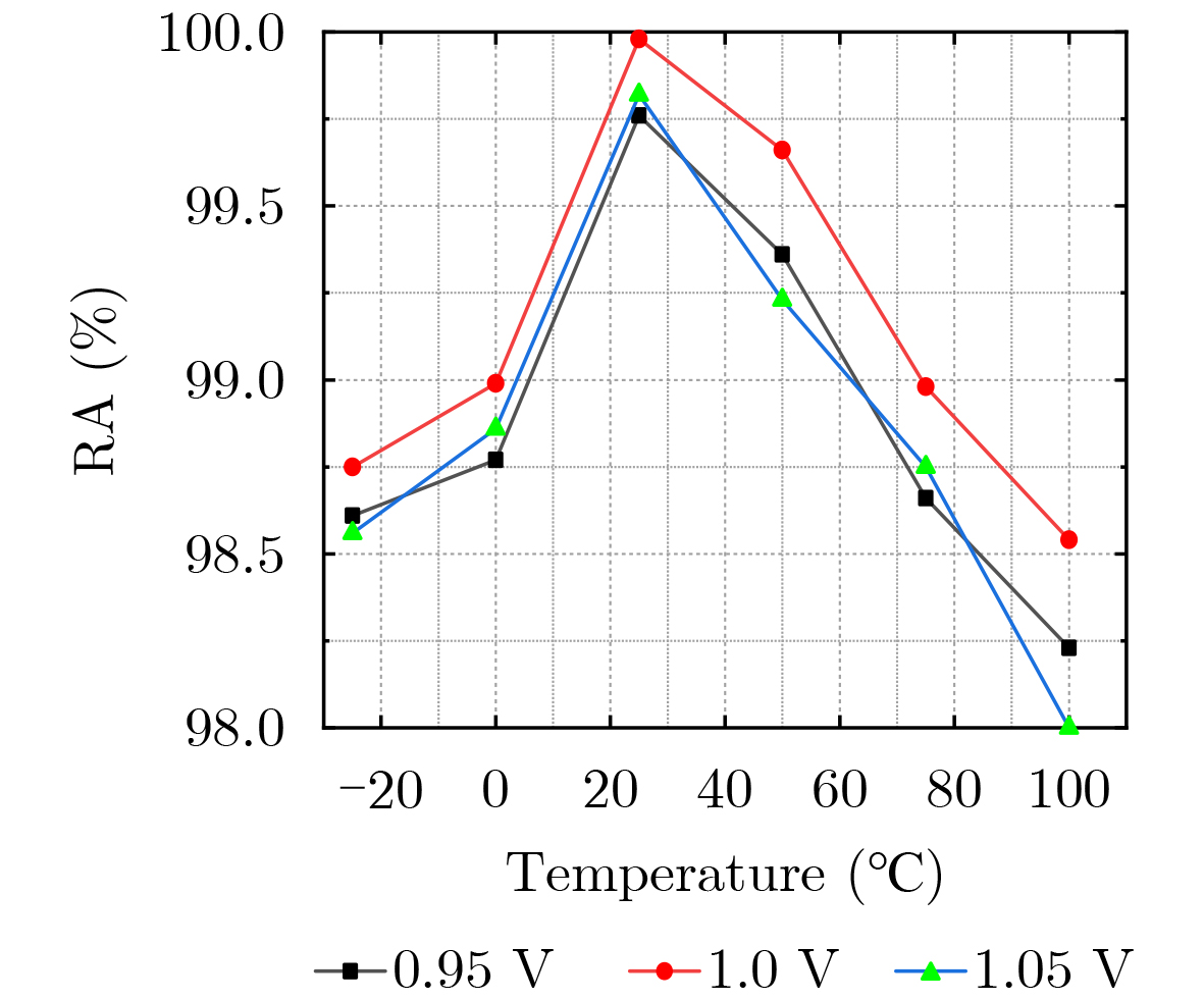
  • 摘要: 为应对动力电池供应链中的假冒风险并满足对电池全生命周期追溯的需求,该文提出一种面向电池防伪的混合型PUF标签生成技术。该技术利用PCB覆铜区与电池负极极耳构成的独特电容结构,结合分立电阻形成RC延时电路,并将其接入芯片内基于延时的传统仲裁器PUF(A PUF),从而构建一个集“电池-PCB-芯片”三重物理耦合于一体的混合型PUF电路。该电路将电池、PCB和芯片制造过程中固有的工艺偏差转化为独一无二的电池ID,并集成延时补偿模块与可靠性自筛选模块,显著提升了ID标签的随机性与可靠性。实验结果表明,所生成的标签在随机性(48.85%)、唯一性(49.15%)和可靠性(99.98%)方面均表现优秀。在更换不同电池、PCB或芯片的情况下,数字标签的变化率分别达到14.86%, 24.58%和41.66%,有效验证了该方案可实现“电池-PCB-芯片”之间的深度绑定,为电池真伪验证提供了物理层面上的有效保障。
  • 图  1  电池防伪标签总体架构图

    图  2  片外RC电芯指纹提取电路结构图

    图  3  仲裁器型PUF电路结构

    图  4  Arbiter PUF两种输出响应

    图  5  片上延时补偿模块结构图

    图  6  三输入查找表的可编程逻辑线结构图

    图  7  极耳-覆铜结构等效电容测试图

    图  8  回路的总有效电容的实测分布

    图  9  A PUF器件布局布线图

    图  10  电池标签结构测试环境图

    图  11  常温常压下标签信息的唯一性测试图

    图  12  不同温度和电压下标签信息的可靠性测试图

    图  13  电池标签结构3种物理测试场景测试结果图

    图  14  建模攻击的预测准确性测试图

  • [1] BUTERA A and GATTESCHI V. EU battery regulation and the role of blockchain in creating digital battery passports[C]. 2024 6th Conference on Blockchain Research & Applications for Innovative Networks and Services, Berlin, Germany, 2024: 1–4. doi: 10.1109/BRAINS63024.2024.10732126.
    [2] ABEDI F, SAARI U A, and HAKOLA L. Implementation and adoption of digital product passports: A systematic literature review[C]. 2024 IEEE International Conference on Engineering, Technology, and Innovation, Funchal, Portugal, 2024: 1–9. doi: 10.1109/ICE/ITMC61926.2024.10794320.
    [3] SCANZIO S, ROSANI M, SCAMUZZI M, et al. QR Codes: From a survey of the state of the art to executable eQR codes for the internet of things[J]. IEEE Internet of Things Journal, 2024, 11(13): 23699–23710. doi: 10.1109/JIOT.2024.3385542.
    [4] SCHERR F, BASIC F, EDER P, et al. Next-generation battery management systems: Integrating RFID for battery passport applications[C]. 2024 IEEE International Conference on RFID Technology and Applications, Daytona Beach, USA, 2024: 137–140. doi: 10.1109/RFID-TA64374.2024.10965188.
    [5] KANG Bohan, JIA Jingdun, GAO Wanlin, et al. Research on improved character encoding methods based on QR code[J]. Chinese Journal of Electronics, 2019, 28(6): 1170–1176. doi: 10.1049/cje.2019.07.005.
    [6] 孙子文, 叶乔. 利用震荡环频率特性提取多位可靠信息熵的物理不可克隆函数研究[J]. 电子与信息学报, 2021, 43(1): 234–241. doi: 10.11999/JEIT191013.

    SUN Ziwen and YE Qiao. Study on the physical unclonable function of the reliable information entropy extracted by the frequency characteristic of oscillating ring[J]. Journal of Electronics & Information Technology, 2021, 43(1): 234–241. doi: 10.11999/JEIT191013.
    [7] 刘政林, 刘柏均, 鲁赵骏, 等. 一种低资源消耗的物理不可克隆函数FPGA设计[J]. 华中科技大学学报(自然科学版), 2016, 44(2): 5–8. doi: 10.13245/j.hust.160202.

    LIU Zhenglin, LIU Bojun, LU Zhaojun, et al. FPGA design of low resource consumed arbiter PUF[J]. Journal of Huazhong University of Science and Technology (Natural Science Edition), 2016, 44(2): 5–8. doi: 10.13245/j.hust.160202.
    [8] 姜冬梅, 唐旭升, 李冰, 等. 针对静态随机存取存储器物理不可克隆功能密钥提取的优化方法研究[J]. 电子与信息学报, 2025, 47(9): 3220–3229. doi: 10.11999/JEIT250551.

    JIANG Dongmei, TANG Xusheng, LI Bing, et al. Research on optimization methods for static random-access memory–physical unclonable function key extraction[J]. Journal of Electronics & Information Technology, 2025, 47(9): 3220–3229. doi: 10.11999/JEIT250551.
    [9] 李大为, 陈铁男, 周瑶, 等. 混合开关电容物理不可克隆函数和一次性可编程的片上RSA加密算法私钥生成方法[J]. 电子与信息学报, 2025, 47(9): 3146–3154. doi: 10.11999/JEIT250382.

    LI Dawei, CHEN Tienan, ZHOU Yao, et al. Generating private key of RSA encryption algorithm using one time programmable on-chip switched capacitor physical unclonable functions[J]. Journal of Electronics & Information Technology, 2025, 47(9): 3146–3154. doi: 10.11999/JEIT250382.
    [10] MIURA N, TAKAHASHI M, NAGATOMO K, et al. Chip-Package-Board interactive PUF utilizing coupled chaos oscillators with inductor[J]. IEEE Journal of Solid-State Circuits, 2018, 53(10): 2889–2897. doi: 10.1109/JSSC.2018.2852325.
    [11] WAN Meilin, ZHANG Zhen, ZHANG Yin, et al. A chip-PCB hybrid SC PUF used for anti-desoldering and depackaging-attack protection[J]. IEEE Journal of Solid-State Circuits, 2024, 59(7): 2330–2344. doi: 10.1109/JSSC.2024.3352048.
    [12] ZHANG Dongrong, REN Qiang, and SU Donglin. A novel authentication methodology to detect counterfeit PCB using PCB trace-based ring oscillator[J]. IEEE Access, 2021, 9: 28525–28539. doi: 10.1109/ACCESS.2021.3059100.
    [13] HABIB B, GAJ K, and KAPS J P. FPGA PUF based on programmable LUT delays[C]. 2013 Euromicro Conference on Digital System Design, Los Alamitos, USA, 2013: 697–704. doi: 10.1109/DSD.2013.79.
    [14] HE Zhangqing, CHEN Wanbo, ZHANG Lingchao, et al. A highly reliable arbiter PUF with improved uniqueness in FPGA implementation using bit-self-test[J]. IEEE Access, 2020, 8: 181751–181762. doi: 10.1109/ACCESS.2020.3028514.
    [15] MA Qingqing, GU Chongyan, HANLEY N, et al. A machine learning attack resistant multi-PUF design on FPGA[C]. 2018 23rd Asia and South Pacific Design Automation Conference, Jeju, Korea (South), 2018: 97–104, doi: 10.1109/ASPDAC.2018.8297289.
    [16] RÜHRMAIR U, SÖLTER J, SEHNKE F, et al. PUF modeling attacks on simulated and silicon data[J]. IEEE Transactions on Information Forensics and Security, 2013, 8(11): 1876–1891. doi: 10.1109/TIFS.2013.2279798.
  • 加载中
图(14)
计量
  • 文章访问数:  384
  • HTML全文浏览量:  212
  • PDF下载量:  49
  • 被引次数: 0
出版历程
  • 收稿日期:  2025-09-24
  • 修回日期:  2026-01-04
  • 录用日期:  2026-01-04
  • 网络出版日期:  2026-01-15
  • 刊出日期:  2026-03-10

目录

    /

    返回文章
    返回