Blind Parameter Estimation Method for PSK Modulated Frequency-Hopping Signals Based on Improved Maximum Likelihood
-
摘要: 跳频信号参数盲估计是跳频通信侦察对抗的关键技术。针对现有盲估计方法在估计精度与处理数字调制信号方面存在不足以及计算复杂度较高的问题,该文提出基于改进最大似然(ML)的相移键控(PSK)调制跳频信号参数盲估计方法。首先,基于短时傅里叶变换从持续多个跳频周期的PSK调制跳频信号中截取仅含单次跳频的短切片;然后,基于ML估计方法的代价函数,从短切片中提取适配ML估计模型的信号,克服传统基于ML的估计方法处理含PSK调制的信号时模型失配的问题;最后,提出一种加权迭代求解方法,实现跳频频率与跳频时刻的稳健估计。该方法摆脱了基于传统时频分析及压缩感知的估计框架约束,且计算复杂度较低。仿真结果表明,该方法可以同时实现PSK调制跳频信号跳频频率与跳频时刻的高精度估计。Abstract:
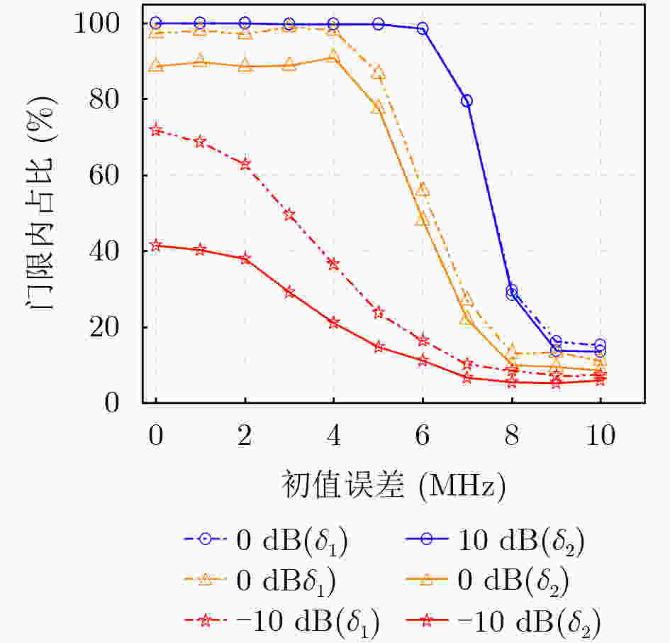
Objective Blind parameter estimation of non-cooperative Frequency-Hopping (FH) signals is a critical task in electronic reconnaissance and countermeasures. Estimation methods based on time-frequency analysis typically suffer from limited resolution or high computational complexity. Furthermore, methods based on compressive sensing rely heavily on the consistency between the predefined dictionary and the actual signal characteristics, and the estimation precision will be significantly compromised by grid mismatch or modulation-induced energy dispersion. Maximum Likelihood (ML)-based methods offer the advantage of high theoretical estimation accuracy with relatively low computational complexity. However, existing studies typically assume an ideal unmodulated signal model with a single frequency transition. Consequently, these ML-based methods suffer from severe model mismatch when processing FH signals with digital modulation, such as Phase Shift Keying (PSK), or multi-hop signals. Moreover, the conventional iterative solution of ML-based methods is prone to divergence or trapping in local optima. To address these limitations, this paper proposes an improved ML-based method for the blind parameter estimation of PSK-modulated FH signals. Methods To handle received multi-hop signals, a signal slicing technique based on the Short-Time Fourier Transform (STFT) is proposed to extract slices containing individual frequency transitions. Subsequently, to mitigate the model mismatch caused by digital modulation in conventional ML-based methods, a model-matching signal extraction approach based on the ML objective function is developed for PSK-modulated FH signals. Furthermore, a weighted iterative solving algorithm for ML estimation is designed to enhance convergence, thereby achieving robust and accurate estimation of frequency-hopping parameters. Results and Discussions To validate the effectiveness of the model-matching signal extraction approach, ablation experiments were carried out under various modulation schemes, including binary PSK (BPSK), quadrature PSK (QPSK), and 8-ary PSK (8PSK). The results indicate that the proposed approach (Group D) significantly reduces the Mean Square Error (MSE) of hopping frequency estimation compared to that without the proposed extraction (Group ND). These results demonstrate that the proposed method effectively mitigates the model mismatch ( Fig. 5 ). Simulation results also illustrate that the designed weighted iterative algorithm achieves superior convergence performance compared with linear weighting and non-weighting schemes (Fig. 6 ). Moreover, the experiments verify the algorithm's insensitivity to initial frequency offsets, showing that it tolerates offsets of up to 2 MHz at SNR of -10 dB with little performance degradation (Fig. 7 ). Finally, comparative analysis with representative existing methods indicates that the proposed method outperforms the others in terms of estimation accuracy (Fig. 8 ).Conclusions To achieve blind parameter estimation for PSK-modulated FH signals, this paper proposes an improved ML-based method. By utilizing a signal slicing technique based on the STFT, the proposed method successfully extends the applicability of the ML-based estimator to continuous multi-hop signals. To mitigate the model mismatch induced by PSK modulation, a model-matching signal extraction approach is developed to isolate valid signal segments that conform to the ML model. Furthermore, a weighted iterative algorithm incorporating a dynamic weighting function is introduced to address the instability of the conventional iterative ML solver. Simulation results confirm that the proposed method effectively eliminates model mismatch and ensures superior convergence performance with insensitivity to initial frequency offsets. Moreover, it is shown to achieve high estimation precision for both hopping frequencies and hopping times. -
1 适配ML模型的有效信号提取
初始化:时域短切片$ {y}_{i}[n] $,跳频频率粗估计值$ f_{i-1}^{\mathrm{c}},f_{i}^{\mathrm{c}} $,$ i=1{,}2,\cdots ,{N}_{\mathrm{h}}-1 $ (1) 构造信号模板$ {T}_{1}\left[n\right]=\exp \left\{\mathrm{j}2\text{π} f_{i-1}^{\mathrm{c}}n\right\},{T}_{2}\left[n\right]=\exp \left\{\mathrm{j}2\text{π} f_{i}^{\mathrm{c}}n\right\} $ (2) 求解$ {K}_{\min }=\arg \underset{K}{\min } \varphi \left(K\right) $ (3) 基于模板互相关对$ {K}_{\min } $进行类型判别 (4) 若判为符号跳变,则截取信号不含该符号跳变的信号并返回步骤(2) (5) 若判为频率跳变,根据$ {K}_{\min } $将信号划分为不含频率跳变的子段 (6) 对于每个子段的$ {\varphi }_{\text{single}}(K) $获取其最小值索引 (7) 在$ {\hat{\omega }}_{1},{\hat{\omega }}_{2} $的邻域搜索使$ \text{SS}{\mathrm{E}}_{0} $最小的频率值,并计算$ \Delta \text{BIC} $ (8) 若$ \Delta \text{BIC}< 0 $,更新子段为该时刻与$ {K}_{\min } $之间的信号,返回步骤(6);否则保留当前子段结果 (9) 提取从跳频前子段起点到跳频后子段终点的信号 输出:与ML估计模型相匹配的有效信号 表 1 计算复杂度
计算环节 本文方法 文献[17]方法 STFT $ O({N}_{o}\mathrm{\lg } {N}_{\text{win}}) $ $ O({N}_{o}\mathrm{\lg } {N}_{\text{win}}) $ 后续处理 $ O\left(\left({N}_{\text{cut}}+G\right)\mathrm{\lg } \left({N}_{\text{cut}}+G\right)\right)+O(M_{\text{ML}}^{2}) $ $ O(N_{\text{cut}}^{2}\mathrm{\lg } {N}_{\text{cut}}) $ 总复杂度 $ O\left({N}_{o}\mathrm{\lg } {N}_{\text{win}}\right)+O\left(\left({N}_{\text{cut}}+G\right)\mathrm{\lg } \left({N}_{\text{cut}}+G\right)\right)+O(M_{\text{ML}}^{2}) $ $ O\left({N}_{o}\mathrm{\lg } {N}_{\text{win}}\right)+O(N_{\text{cut}}^{2}\mathrm{\lg } {N}_{\text{cut}}) $ -
[1] LI Li, KANG Bochao, TAN Qinggui, et al. Photon-assisted ultrawideband frequency-hopping signal receiving scheme[J]. IEEE Transactions on Microwave Theory and Techniques, 2025, 73(11): 9312–9323. doi: 10.1109/TMTT.2025.3584780. [2] XIE Jingyang, LI Wentao, XIAO Yongran, et al. Integrated sensing and communications for frequency-hopping MIMO systems using chirp-extended waveform[J]. IEEE Internet of Things Journal, 2025, 12(24): 55211–55226. doi: 10.1109/JIOT.2025.3622230. [3] 王诗雨, 汪西明, 可臻怡, 等. 无人机通信多模抗干扰: 融合二维迁移强化学习的协同决策方法[J]. 电子与信息学报, 2025, 47(11): 4200–4210. doi: 10.11999/JEIT250566.WANG Shiyu, WANG Ximing, KE Zhenyi, et al. Multi-mode anti-jamming for UAV communications: A cooperative mode-based decision-making approach via two-dimensional transfer reinforcement learning[J]. Journal of Electronics & Information Technology, 2025, 47(11): 4200–4210. doi: 10.11999/JEIT250566. [4] JIANG Yinghai and LIU Feng. Adaptive joint carrier and DOA estimations of FHSS signals based on knowledge-enhanced compressed measurements and deep learning[J]. Entropy, 2024, 26(7): 544. doi: 10.3390/e26070544. [5] YANG Yuxiao, XU Chang, ZHAO Xinyue, et al. Joint estimation method for space–time frequency parameters of frequency-hopping network station in the case of low-quality data[J]. Computer Communications, 2025, 241: 108234. doi: 10.1016/j.comcom.2025.108234. [6] 张东伟, 梁晓龙, 王鹏, 等. 多跳频信号参数单通道盲估计算法[J]. 华中科技大学学报: 自然科学版, 2023, 51(6): 152–159,165. doi: 10.13245/j.hust.230624.ZHANG Dongwei, LIANG Xiaolong, WANG Peng, et al. Single channel blind estimation algorithm for parameters of multiple frequency-hopping signals[J]. Journal of Huazhong University of Science and Technology: Natural Science Edition, 2023, 51(6): 152–159,165. doi: 10.13245/j.hust.230624. [7] JIN Yan and LIU Jie. Parameter estimation of frequency hopping signals based on the Robust S-transform algorithms in alpha stable noise environment[J]. AEU-International Journal of Electronics and Communications, 2016, 70(5): 611–616. doi: 10.1016/j.aeue.2016.01.019. [8] ZENG Zhengzhi, JIANG Chunshan, ZHOU Yuanming, et al. A time–frequency domain analysis method for variable frequency hopping signal[J]. Sensors, 2024, 24(19): 6449. doi: 10.3390/s24196449. [9] 王欣怡, 刘满国, 李柯达, 等. 基于图像处理与时频分析的跳频信号频率估计算法[J]. 弹箭与制导学报, 2024, 44(3): 81–86. doi: 10.15892/j.cnki.djzdxb.2024.03.011.WANG Xinyi, LIU Manguo, LI Keda, et al. Frequency estimation algorithm of frequency-hopping signal based on image processing and time-frequency analysis[J]. Journal of Projectiles, Rockets, Missiles and Guidance, 2024, 44(3): 81–86. doi: 10.15892/j.cnki.djzdxb.2024.03.011. [10] ANGELOSANTE D, GIANNAKIS G B, and SIDIROPOULOS N D. Estimating multiple frequency-hopping signal parameters via sparse linear regression[J]. IEEE Transactions on Signal Processing, 2010, 58(10): 5044–5056. doi: 10.1109/TSP.2010.2052614. [11] ZHAO Lifan, WANG Lu, BI Guoan, et al. Robust frequency-hopping spectrum estimation based on sparse Bayesian method[J]. IEEE Transactions on Wireless Communications, 2015, 14(2): 781–793. doi: 10.1109/TWC.2014.2360191. [12] 金艳, 周磊, 姬红兵. 基于稀疏时频分布的跳频信号参数估计[J]. 电子与信息学报, 2018, 40(3): 663–669. doi: 10.11999/JEIT170525.JIN Yan, ZHOU Lei, and JI Hongbing. Parameter estimation of frequency-hopping signals based on sparse time-frequency distribution[J]. Journal of Electronics & Information Technology, 2018, 40(3): 663–669. doi: 10.11999/JEIT170525. [13] KO C C, ZHI Wanjun, and CHIN F. ML-based frequency estimation and synchronization of frequency hopping signals[J]. IEEE Transactions on Signal Processing, 2005, 53(2): 403–410. doi: 10.1109/TSP.2004.840703. [14] FU K C and CHEN Y F. Subspace-based algorithms for blind ML frequency and transition time estimation in frequency hopping systems[J]. Wireless Personal Communications, 2016, 89(2): 303–318. doi: 10.1007/s11277-016-3364-z. [15] LI Yixing and WANG Furong. Parameter estimation of frequency hopping signals based on maximum likelihood and orthogonal matching pursuit[C]. Proceedings of 2022 International Conference on Autonomous Unmanned Systems (ICAUS 2022), Singapore, Singapore, 2023: 3397–3406. doi: 10.1007/978-981-99-0479-2_313. [16] 张盛魁, 姚志成, 何岷, 等. 改进时频脊线的跳频参数盲估计算法[J]. 系统工程与电子技术, 2019, 41(12): 2885–2890. doi: 10.3969/j.issn.1001‐506X.2019.12.30.ZHANG Shengkui, YAO Zhicheng, HE Min, et al. Blind estimation algorithm for frequency hopping parameters of improved time-frequency ridge[J]. Systems Engineering and Electronics, 2019, 41(12): 2885–2890. doi: 10.3969/j.issn.1001‐506X.2019.12.30. [17] 付卫红, 胡展. 一种混合网台跳频参数盲估计算法[J]. 北京邮电大学学报, 2019, 42(4): 57–63. doi: 10.13190/j.jbupt.2018-281.FU Weihong and HU Zhan. Blind parameter estimation of hybrid networking frequency-hopping[J]. Journal of Beijing University of Posts and Telecommunications, 2019, 42(4): 57–63. doi: 10.13190/j.jbupt.2018-281. [18] WANG Yu, ZHANG Chaozhu, and JING Fulong. Frequency-hopping signal parameters estimation based on orthogonal matching pursuit and sparse linear regression[J]. IEEE Access, 2018, 6: 54310–54319. doi: 10.1109/ACCESS.2018.2871723. -
下载:
下载: