Performance Analysis and Rapid Prediction of Long-range Underwater Acoustic Communications in Uncertain Deep-sea Environments
-
摘要: 在复杂且动态变化的海洋环境中,通信性能起伏显著且难以预估,传统依赖反馈链路进行信道状态估计与参数调整的方法难以适用于深海远程水声通信。为此,该文提出一种基于深度学习声场不确定预估的水声通信性能分析与快速预报方法,在无反馈条件下实现通信参数与信道状态的高效匹配。该方法基于深度学习快速预测的传播损失概率分布,构建了从传播损失到信噪比,再到统计信道容量与中断容量的链式映射模型,实现环境不确定性与通信性能的量化映射。进一步结合典型深海单载波通信系统在特定信道条件下的链路性能与传播损失的统计特性,提出通信“速率-可靠性”预报方法,评估不同速率下的可靠通信概率,从而为复杂动态环境下的系统参数匹配提供依据。海上试验结果表明,所提方法在复杂信道环境下对通信“速率-可靠性”的预报与实测结果高度一致:会聚区与影区各速率点上的可靠概率偏差分别为0.9%~4%和1%~9%;以90%可靠通信概率为阈值时,预报的最大可靠速率与实测结果一致,验证了该方法在深海远程水声通信中的准确性和实用性。Abstract:
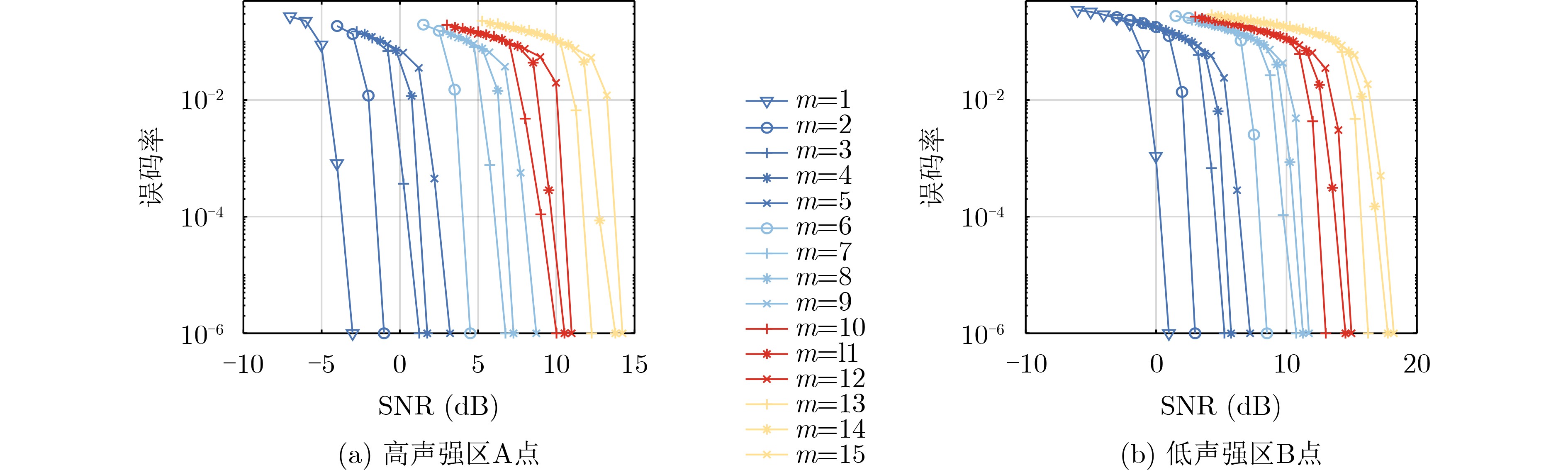
Objective In complex and dynamically changing deep-sea environments, the performance of underwater acoustic communications shows substantial variability. Feedback-based channel estimation and parameter adaptation are impractical in long-range scenarios because platform constraints prevent reliable feedback channels and the slow propagation of sound introduces significant delay. In typical long-range systems, environmental dynamics are often ignored and communication parameters are selected heuristically, which frequently leads to mismatches with actual channel conditions and causes communication failures or reduced efficiency. Predictive methods able to assess performance in advance and support feed-forward parameter adjustment are therefore required. This study proposes a deep-learning-based framework for performance analysis and rapid prediction of long-range underwater acoustic communications under uncertain environmental conditions to enable efficient and reliable parameter–channel matching without feedback. Methods A feed-forward method for underwater acoustic communication performance analysis and rapid prediction is developed using deep-learning-based sound-field uncertainty estimation. A neural network is first used to estimate probability distributions of Transmission Loss (TL PDFs) at the receiver under dynamic environments. TL PDFs are then mapped to probability distributions of the Signal-to-Noise Ratio (SNR PDFs), enabling communication performance evaluation without real-time feedback. Statistical channel capacity and outage capacity are analyzed to characterize the theoretical upper limits of achievable rates in dynamic conditions. Finally, by integrating the SNR distribution with the bit-error-rate characteristics of a representative deep-sea single-carrier communication system under the corresponding channel, a rate–reliability prediction model is constructed. This model estimates the probability of reliable communication at different data rates and serves as a practical tool for forecasting link performance in highly dynamic and feedback-limited underwater acoustic environments. Results and Discussions The method is validated using simulation data and sea trial data. The TL PDFs predicted by the deep learning model show strong consistency with the traditional Monte Carlo (MC) method across multiple receiver locations ( Fig. 6 ). Under identical computational settings, deep-learning-based TL PDF prediction reduces computation time by 2$ \sim $3 orders of magnitude compared with the MC method. The chained mapping from TL PDFs to SNR PDFs and then to channel capacity metrics accurately represents the probabilistic features of communication performance under uncertain conditions (Fig. 7 andFig. 8 ). The rate–reliability curves derived from the deep-learning-based TL PDFs are highly consistent with MC-based results. In the high sound-intensity region, prediction errors for reliable communication probabilities across data rates range from 0.1% to 3%, and in the low sound-intensity region errors are approximately 0.3% to 5% (Fig. 12 ). Sea trial results further indicate that predicted rate–reliability performance agrees well with measured data. In the convergence zone, deviations between predicted and measured reliability probabilities at each rate range from 0.9% to 4%, and in the shadow zone from 1% to 9% (Fig. 18 ). Under a 90% reliability requirement, the maximum achievable rates predicted by the method match the measurements in both the convergence and shadow zones, demonstrating accuracy and practical applicability in complex channel environments.Conclusions A deep-learning-based framework for performance analysis and rapid prediction of long-range underwater acoustic communications in uncertain deep-sea environments is developed and validated. The framework builds a chained mapping from environmental parameters to TL PDFs, SNR PDFs, and communication performance metrics, enabling quantitative capacity assessment under dynamic ocean conditions. Predictive “rate–reliability’’ profiles are obtained by integrating probabilistic propagation characteristics with the performance of a representative deep-sea single-carrier system under the corresponding channel, providing guidance for parameter selection without feedback. Sea trial results confirm strong agreement between predicted and measured performance. The proposed approach offers a technical pathway for feed-forward performance analysis and dynamic adaptation in long-range deep-sea communication systems, and can be extended to other communication scenarios in dynamic ocean environments. -
表 1 通信系统采用的调制编码方案
1 2 3 4 5 6 7 8 9 10 11 12 13 14 15 调制阶数 2 2 2 2 2 4 4 4 4 8 8 8 16 16 16 编码码率 1/4 1/2 2/3 3/4 5/6 1/2 2/3 3/4 5/6 2/3 3/4 5/6 2/3 3/4 5/6 速率(bit/s) 17 34 45 50 56 67 89 100 112 135 150 167 177 200 222 表 2 试验参数
试验
参数接收机采样频率
(kHz)信号带宽
(Hz)中心频率
(Hz)通信距离
(km)符号宽度
(ms)发射声源级
(dB)发射深度
(m)信号长度
(bit)通信速率
(bit/s)取值 4 100 500 72.6 15 190 500 192 20,25,
50,100,200 -
[1] KILFOYLE D B and BAGGEROER A B. The state of the art in underwater acoustic telemetry[J]. IEEE Journal of Oceanic Engineering, 2000, 25(1): 4–27. doi: 10.1109/48.820733. [2] STOJANOVIC M and PREISIG J. Underwater acoustic communication channels: Propagation models and statistical characterization[J]. IEEE Communications Magazine, 2009, 47(1): 84–89. doi: 10.1109/mcom.2009.4752682. [3] PREISIG J C. Performance analysis of adaptive equalization for coherent acoustic communications in the time-varying ocean environment[J]. The Journal of the Acoustical Society of America, 2005, 118(1): 263–278. doi: 10.1121/1.1907106. [4] 杨健敏, 王佳惠, 乔钢, 等. 水声通信及网络技术综述[J]. 电子与信息学报, 2024, 46(1): 1–21. doi: 10.11999/JEIT230424.YANG Jianmin, WANG Jiahui, QIAO Gang, et al. Review of underwater acoustic communication and network technology[J]. Journal of Electronics & Information Technology, 2024, 46(1): 1–21. doi: 10.11999/JEIT230424. [5] 罗亚松, 许江湖, 胡洪宁, 等. 正交频分复用传输速率最大化自适应水声通信算法研究[J]. 电子与信息学报, 2015, 37(12): 2872–2876. doi: 10.11999/JEIT150440.LUO Yasong, XU Jianghu, HU Hongning, et al. Research on self-adjusting OFDM underwater acoustic communication algorithm for transmission rate maximization[J]. Journal of Electronics & Information Technology, 2015, 37(12): 2872–2876. doi: 10.11999/JEIT150440. [6] ZHANG Yonglin, TAI Yupeng, WANG Diya, et al. Online machine learning-based channel estimation for underwater acoustic communications[J]. The Journal of the Acoustical society of American, 2024, 155(S3): A88–A89. doi: 10.1121/10.0026909. [7] HU Yunfeng, TAO Jun, and TONG Feng. Estimation of time-varying underwater acoustic channels via an improved sparse adaptive orthogonal matching pursuit algorithm[J]. Applied Acoustics, 2025, 233: 110624. doi: 10.1016/j.apacoust.2025.110624. [8] 刘志勇, 金子皓, 杨洪娟, 等. 基于深度学习的水声信道联合多分支合并与均衡算法[J]. 电子与信息学报, 2024, 46(5): 2004–2010. doi: 10.11999/JEIT231196.LIU Zhiyong, JIN Zihao, YANG Hongjuan, et al. Deep learning-based joint multi-branch merging and equalization algorithm for underwater acoustic channel[J]. Journal of Electronics & Information Technology, 2024, 46(5): 2004–2010. doi: 10.11999/JEIT231196. [9] 刘凇佐, 韩雪, 马璐, 等. 基于排序码本的水声自适应OFDM通信中信道状态信息反馈研究[J]. 电子与信息学报, 2024, 46(5): 2095–2103. doi: 10.11999/JEIT230878.LIU Songzuo, HAN Xue, MA Lu, et al. Research on channel state information feedback in underwater acoustic adaptive OFDM communication based on sequenced codebook[J]. Journal of Electronics & Information Technology, 2024, 46(5): 2095–2103. doi: 10.11999/JEIT230878. [10] JING Lianyou, DONG Chaofan, HE Chengbing, et al. Adaptive modulation and coding for underwater acoustic OTFS communications based on meta-learning[J]. IEEE Communications Letters, 2024, 28(8): 1845–1849. doi: 10.1109/lcomm.2024.3418192. [11] HUANG Jianchun and DIAMANT R. Adaptive modulation for long-range underwater acoustic communication[J]. IEEE Transactions on Wireless Communications, 2020, 19(10): 6844–6857. doi: 10.1109/twc.2020.3006230. [12] BUSACCA F, GALLUCCIO L, PALAZZO S, et al. Adaptive versus predictive techniques in underwater acoustic communication networks[J]. Computer Networks, 2024, 252: 110679. doi: 10.1016/j.comnet.2024.110679. [13] 笪良龙, 过武宏, 赵建昕, 等. 海洋-声学耦合模式捕捉水声环境不确定性[J]. 声学学报, 2015, 40(3): 477–486. doi: 10.15949/j.cnki.0371-0025.2015.03.016.DA Lianglong, GUO Wuhong, ZHAO Jianxin, et al. Capture uncertainty of underwater environment by ocean-acoustic coupled model[J]. Acta Acustica, 2015, 40(3): 477–486. doi: 10.15949/j.cnki.0371-0025.2015.03.016. [14] LV Zhichao, DU Libin, LI Huming, et al. Influence of temporal and spatial fluctuations of the shallow sea acoustic field on underwater acoustic communication[J]. Sensors, 2022, 22(15): 5795. doi: 10.3390/s22155795. [15] GAO Fei, XU Fanghua, LI Zhenglin, et al. Acoustic propagation uncertainty in internal wave environments using an ocean-acoustic joint model[J]. Chinese Physics B, 2023, 32(3): 034302. doi: 10.1088/1674-1056/ac89dc. [16] FENG Xiao, CHEN Cheng, and YANG Kunde. Fast estimation algorithm of sound field characteristics under the disturbance of sound speed profile in the marine environment[J]. Ocean Engineering, 2024, 297: 117197. doi: 10.1016/j.oceaneng.2024.117197. [17] KHAZAIE S, WANG Xun, KOMATITSCH D, et al. Uncertainty quantification for acoustic wave propagation in a shallow water environment[J]. Wave Motion, 2019, 91: 102390. doi: 10.1016/j.wavemoti.2019.102390. [18] LEE B M, JOHNSON J R, and DOWLING D R. Predicting acoustic transmission loss uncertainty in ocean environments with neural networks[J]. Journal of Marine Science and Engineering, 2022, 10(10): 1548. doi: 10.3390/jmse10101548. [19] CHEN Xiangmei, LI Chao, WANG Haibin, et al. A spatially informed machine learning method for predicting sound field uncertainty[J]. Journal of Marine Science and Engineering, 2025, 13(3): 429. doi: 10.3390/jmse13030429. [20] GIBBS A L and SU F E. On choosing and bounding probability metrics[J]. International Statistical Review, 2002, 70(3): 419–435. doi: 10.2307/1403865. [21] WENZ G M. Acoustic ambient noise in the ocean: Spectra and sources[J]. The Journal of the Acoustical Society of America, 1962, 34(12): 1936–1956. doi: 10.1121/1.1909155. [22] JIANG Dongge, LI Zhenglin, QIN Jixing, et al. Characterization and modeling of wind-dominated ambient noise in South China Sea[J]. Science China Physics, Mechanics & Astronomy, 2017, 60(12): 124321. doi: 10.1007/s11433-017-9088-5. -
下载:
下载: