Autonomous Radar Scan-Mode Recognition Method Based on High-Dimensional Features and Random Forest
-
摘要: 在非协作电子侦察条件(被动截获、无先验/不同步、参数随任务时变且电磁环境拥挤)下,快速、稳健地区分雷达扫描方式是实现威胁评估、资源调度与对抗策略生成的重要环节。因此,面向非协作场景下的雷达扫描方式识别,该文围绕机械扫描(机扫)与相控阵电子扫描(相扫)的物理差异,提出一套时-频-图多域特征体系。时域方面,建立变异系数、总变差、高斯拟合度和主瓣相对宽度,用于度量平滑/跳变和形态规整度;频域方面,采用谱平坦度刻画能量集中与分散;图结构方面,将幅度序列映射为水平可见性图,并计算全局聚类系数与归一化度熵,以捕获由序列形状诱发的全局拓扑模式。结合所提出的7个有效差异性特征,形成7维特征向量,随后结合随机森林算法,完成扫描方式识别。基于包含机扫与相扫、覆盖多信噪比条件、含到达时间抖动的对照数据,实验结果表明,所提方法实现了97.59%的识别准确率,并在低信噪比条件下仍具稳健分辨力,充分验证了方案可行性。Abstract:
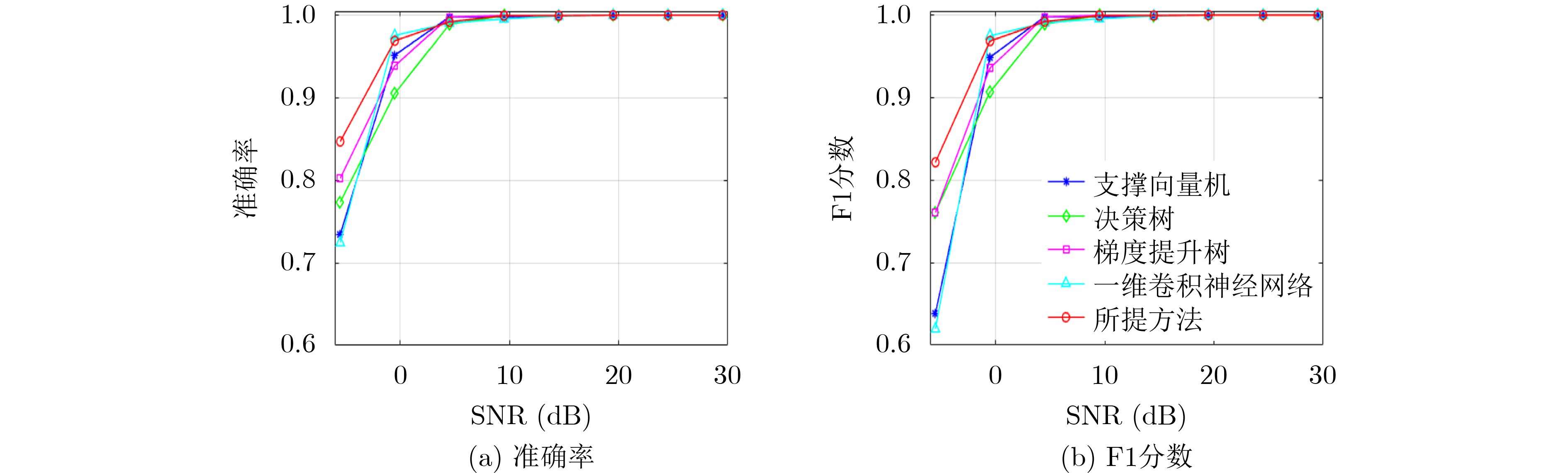
Objective Rapid and robust recognition of radar scanning modes under noncooperative electronic reconnaissance conditions is a prerequisite for threat assessment, resource scheduling, and countermeasure design. Mechanical Scanning (MST) and phased-array Electronic Scanning (EST) leave different physical imprints in the Time-Of-Arrival-Pulse Amplitude (TOA-PA) stream. However, their separability degrades under low Signal-to-Noise Ratio (SNR), nonstationary dwell scheduling, and jittered timing typical of dense electromagnetic environments. In this study, a physics-grounded, multi-domain feature framework coupled with a Random Forest (RF) classifier is developed to discriminate MST from EST using only intercepted TOA-PA sequences, without synchronization or prior emitter knowledge. Methods The reconnaissance reception chain is modeled, and Pulse Amplitude (PA) formation is formalized to clarify the association between antenna-pattern traversal and amplitude texture. From this physical perspective, seven complementary features are extracted across time, frequency, and graph structure: Coefficient of Variation (CV), Total Variation (TV), Gaussian Fitting Degree (GFD), Relative Width (RW), Spectral Flatness Measure (SFM), Global Clustering Coefficient (GCC) on a Horizontal Visibility Graph (HVG), and Normalized Degree Entropy (NDE). HVG construction preserves temporal order and reveals global structure induced by sequence shape. Features are computed per frame and concatenated into a seven-dimensional vector. The RF classifier is trained using bootstrap sampling and random-subspace splits, and inference is performed by majority voting over leaf-level posteriors. The full pipeline is summarized in Fig. 10. Computational complexity remains near linear: CV, TV, and RW scale as O(N); SFM is dominated by a single fast Fourier transform with O(Nlog2N); and HVG-based features scale as O(Nlog2N), satisfying low-latency constraints. Results and Discussions The dataset is constructed using paired MST and EST frames with time-of-arrival jitter of approximately 0.2% of the pulse repetition interval, additive white Gaussian noise across SNR levels, and realistic beam patterns that include sidelobes for both scanning schemes. Training spans 0$ \sim $30 dB, and testing covers –5.5$ \sim $29.5 dB in 5 dB steps. Using the proposed seven-feature vector, the RF classifier achieves an average accuracy of 97.59% across all SNRs and exceeds a support vector machine baseline with identical inputs at 96.01%. The largest margins are observed at low to mid SNR, as shown in Fig. 11. Single-feature analysis shows clear heterogeneity and complementarity. SFM provides the best single-feature performance at 0.916 1, followed by TV and NDE at 0.822 0 and 0.806 5, respectively. CV and GFD show intermediate performance at approximately 0.66, whereas RW and graph-based similarity measures are lower at approximately 0.56$ \sim $0.57. Joint multi-feature inputs increase accuracy to 0.975 9, yielding an absolute gain of 5.98 percentage points over the best single feature and reducing the error rate from 8.39% to 2.41%, corresponding to a relative reduction of approximately 71%. These improvements are summarized in Table 1 andFig. 12 . Runtime evaluation indicates that the dominant computational cost arises from the fast Fourier transform and HVG construction. A per-frame computation time of approximately 0.515 ms keeps the method suitable for on-orbit and embedded processing. The performance gains arise from the joint capture of four factors: smooth versus stepwise amplitude evolution represented by CV and TV; main-lobe morphology and time scale represented by GFD and RW, as illustrated inFig. 4 ; spectral concentration versus dispersion represented by SFM, as illustrated inFig. 5 ; and topology induced by alternating highs and lows under dwell switching represented by HVG clustering and entropy, as detailed inFig. 6 . Together, these factors stabilize the decision boundary against noise and dwell nonstationarity.Conclusions A physics-grounded, multi-domain feature framework combined with an RF discriminator is presented for radar scanning mode recognition under noncooperative conditions. The method is derived from intrinsic contrasts between MST, characterized by continuous, smooth, and quasi-periodic behavior, and phased-array EST, characterized by dwell-based, jumping, and nonstationary behavior. A TOA-PA signal model consistent with engineering practice is constructed, and complementary features are designed across time (CV, TV), main-lobe morphology (GFD, RW), frequency (SFM), and graph structure (GCC, NDE). The RF classifier applies bootstrap sampling and random subspaces to reduce variance and mitigate overfitting, enabling robust decisions. Across detection scenarios from –5 dB to 30 dB, an average accuracy of 97.59% is obtained. Compared with schemes based on single-domain features or a limited feature set, the proposed framework provides higher recognition stability under low-SNR and other challenging disturbance conditions. -
Key words:
- Radar scanning mode /
- Feature extraction /
- Random forest /
- Horizontal visibility graph
-
表 1 单特征识别准确率
特征 CV TV GFD RW SFM GCC NDE 全特征 准确率 0.6617 0.822 0.6695 0.5595 0.9161 0.5723 0.8065 0.9759 -
[1] 何芸倩. 基于机器学习的多功能雷达辐射源识别技术研究[D]. [硕士论文], 电子科技大学, 2025. doi: 10.27005/d.cnki.gdzku.2025.001418.HE Yunqian. Research on multifunction radar emitter identification technology based on machine learning[D]. [Master dissertation], University of Electronic Science and Technology of China, 2025. doi: 10.27005/d.cnki.gdzku.2025.001418. [2] 李燕平. 机械扫描雷达的DBS成像和动目标检测研究[D]. [硕士论文], 西安电子科技大学, 2006. doi: 10.7666/d.Y1137370.LI Yanping. Study of DBS imaging and moving targets detection in mechanical scanning radar[D]. [Master dissertation], Xidian University, 2006. doi: 10.7666/d.Y1137370. [3] 陈舒敏, 郑文文, 杨程, 等. 机扫二维相控阵雷达自适应资源调度算法研究[J]. 舰船电子对抗, 2025, 48(1): 51–58. doi: 10.16426/j.cnki.jcdzdk.2025.01.009.CHEN Shumin, ZHENG Wenwen, YANG Cheng, et al. Research on adaptive resource scheduling algorithm for two-dimensional mechanical scanning phased array radar[J]. Shipboard Electronic Countermeasure, 2025, 48(1): 51–58. doi: 10.16426/j.cnki.jcdzdk.2025.01.009. [4] 李程, 王伟, 施龙飞, 等. 雷达天线扫描方式的自动识别方法[J]. 国防科技大学学报, 2014, 36(3): 156–163. doi: 10.11887/j.cn.201403028.LI Cheng, WANG Wei, SHI Longfei, et al. Automatic recognition method of radar antenna scan type[J]. Journal of National University of Defense Technology, 2014, 36(3): 156–163. doi: 10.11887/j.cn.201403028. [5] 嵇慧明, 于昊, 宋帅, 等. 基于改进粗糙集-云模型理论的空战态势评估[J]. 战术导弹技术, 2019(4): 20–27. doi: 10.16358/j.issn.1009-1300.2019.9.038.JI Huiming, YU Hao, SONG Shuai, et al. Air combat situation assessment based on improved rough set-cloud model theory[J]. Tactical Missile Technology, 2019(4): 20–27. doi: 10.16358/j.issn.1009-1300.2019.9.038. [6] 张文峰, 牟皓, 赵耀东, 等. 基于SVM与DNN的雷达扫描体制识别方法[J]. 电子信息对抗技术, 2022, 37(2): 33–37. doi: 10.3969/j.issn.1674-2230.2022.02.009.ZHANG Wenfeng, MU Hao, ZHAO Yaodong, et al. Intelligent recognition of mechanical scanned radar and electronically scanned array based on support vector machine and deep neural network[J]. Electronic Information Warfare Technology, 2022, 37(2): 33–37. doi: 10.3969/j.issn.1674-2230.2022.02.009. [7] GREER T H. Automatic recognition of radar scan type[P]. US, 6697007B2, 2004. [8] BARSHAN B and ERAVCI B. Automatic radar antenna scan type recognition in electronic warfare[J]. IEEE Transactions on Aerospace and Electronic Systems, 2012, 48(4): 2908–2931 doi: 10.1109/TAES.2012.6324669. [9] QUAN Wei, LI Ping, and XU Fengkai. An algorithm of signal sorting and recognition of phased array radars[C]. The IEEE 10th International Conference on Signal Processing, Beijing, China, 2010: 1877–1880. doi: 10.1109/ICOSP.2010.5657138. [10] 郭国华, 何明浩, 韩俊, 等. 基于脉幅信息的相控阵体制雷达识别技术[J]. 中国电子科学研究院学报, 2009, 4(6): 589–593. doi: 10.3969/j.issn.1673-5692.2009.06.008.GUO Guohua, HE Minghao, HAN Jun, et al. Phased-array radar recognition technology based on pulse amplitude[J]. Journal of China Academy of Electronics and Information Technology, 2009, 4(6): 589–593. doi: 10.3969/j.issn.1673-5692.2009.06.008. [11] 张玉虎, 周正. 基于信号聚集度的相控阵雷达识别技术[J]. 火力与指挥控制, 2018, 43(8): 22–24,30. doi: 10.3969/j.issn.1002-0640.2018.08.005.ZHANG Yuhu and ZHOU Zheng. Recognition of phased-array radar based on analysis of aggregation degree[J]. Fire Control & Command Control, 2018, 43(8): 22–24,30. doi: 10.3969/j.issn.1002-0640.2018.08.005. [12] 叶巍, 牟连云, 李仙茂. 基于脉冲包络的相控阵雷达识别技术研究[J]. 航天电子对抗, 2011, 27(1): 41–44,57. doi: 10.3969/j.issn.1673-2421.2011.01.012.YE Wei, MU Lianyun, and LI Xianmao. Phased-array radar recognition technology study based on the resemble coefficient of pulse amplitude contour[J]. Aerospace Electronic Warfare, 2011, 27(1): 41–44,57. doi: 10.3969/j.issn.1673-2421.2011.01.012. [13] 高刚, 孙盼杰, 刘正彬. 基于脉冲幅度及频率分析的雷达扫描方式识别[J]. 电子信息对抗技术, 2016, 31(6): 12–17. doi: 10.3969/j.issn.1674-2230.2016.06.003.GAO Gang, SUN Panjie, and LIU Zhengbin. Automatic radar antenna scan type recognition based on analysis of pluses amplitude and frequency[J]. Electronic Information Countermeasure Technology, 2016, 31(6): 12–17. doi: 10.3969/j.issn.1674-2230.2016.06.003. [14] ZENG Jie and TANG Jinjun. Modeling dynamic traffic flow as visibility graphs: A network-scale prediction framework for lane-level traffic flow based on LPR data[J]. IEEE Transactions on Intelligent Transportation Systems, 2023, 24(4): 4173–4188. doi: 10.1109/TITS.2022.3231959. [15] 李牛牛, 张云华. 基于可见图和全局相似度的时间序列预测分析[J]. 集成电路应用, 2025, 42(3): 348–351. doi: 10.19339/j.issn.1674-2583.2025.03.148.LI Niuniu and ZHANG Yunhua. Analysis of time series forecasting based on visibility graph and global similarity[J]. Application of IC, 2025, 42(3): 348–351. doi: 10.19339/j.issn.1674-2583.2025.03.148. [16] ROY S S and CHATTERJEE S. Partial discharge detection framework employing spectral analysis of horizontal visibility graph[J]. IEEE Sensors Journal, 2021, 21(4): 4819–4826. doi: 10.1109/JSEN.2020.3028849. [17] LI Jingchen, SHI Haobin, CHEN Wenbai, et al. Semi-supervised detection model based on adaptive ensemble learning for medical images[J]. IEEE Transactions on Neural Networks and Learning Systems, 2025, 36(1): 237–248. doi: 10.1109/TNNLS.2023.3282809. [18] 陈俊英, 席月芸, 徐琳, 等. 基于MLP集成随机子空间决策树的航空发动机剩余使用寿命预测[J]. 航空发动机, 2024, 50(6): 81–87. doi: 10.13477/j.cnki.aeroengine.2024.06.012.CHEN Junying, XI Yueyun, XU Lin, et al. Remaining useful life prediction of aeroengines based on MLP integrated random subspace decision trees[J]. Aeroengine, 2024, 50(6): 81–87. doi: 10.13477/j.cnki.aeroengine.2024.06.012. [19] YANG Yi, SUN Yan, LI Feng, et al. MGCNRF: Prediction of disease-related miRNAs based on multiple graph convolutional networks and random forest[J]. IEEE Transactions on Neural Networks and Learning Systems, 2024, 35(11): 15701–15709 doi: 10.1109/TNNLS.2023.3289182. [20] 王奕森, 夏树涛. 集成学习之随机森林算法综述[J]. 信息通信技术, 2018, 12(1): 49–55. doi: 10.3969/j.issn.1674-1285.2018.01.009.WANG Yisen and XIA Shutao. A survey of random forests algorithms[J]. Information and Communications Technology, 2018, 12(1): 49–55. doi: 10.3969/j.issn.1674-1285.2018.01.009. -
下载:
下载: