Short-packet Covert Communication Design for Minimizing Age of Information under Non-ideal Channel Conditions
-
摘要: 该文针对短包隐蔽通信场景,考虑信道估计误差导致的非理想信道条件,研究了最小化平均隐蔽信息年龄(CAoI)的通信参数优化问题。具体地,首先推导了非理想信道条件下的隐蔽约束和平均CAoI的闭式表达式;其次,推导了最小化平均CAoI的发送功率表达式。在此基础上,进一步基于黄金分割法对导频信号包长和数据信号包长进行优化,以最小化平均CAoI,从而实现通信隐蔽性和时效性之间的最优折中。此外,该文还分析了平均CAoI与收发距离、隐蔽容忍度等参数的变化关系。仿真结果表明,存在最优包长和最优导频信号包长,使得平均CAoI最小,并且与固定包长分配比例的情况相比,所提优化方法可以获得更好的性能。并且当隐蔽性约束更严格时,由于发送功率的降低,最优的导频信号包长随之增大。Abstract:
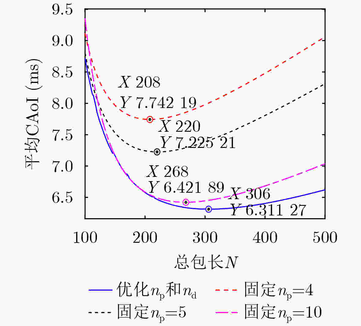
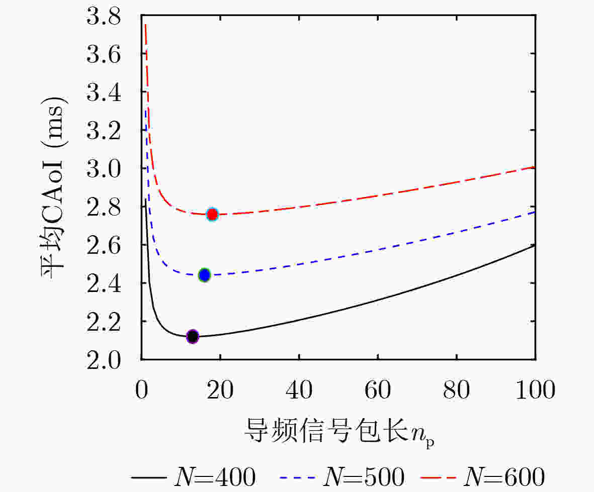
Objective With the rapid development of mobile communication technologies and the widespread adoption of smart devices, the security and timeliness of information transmission are critical. Most existing studies on covert communication assume ideal channel conditions and long packet lengths, which are impractical for delay-sensitive applications. This paper addresses the problem of minimizing the average Covert Age of Information (CAoI) under non-ideal channel conditions caused by limited pilot symbols. The objective is to improve both timeliness and security in short-packet covert communication systems. Methods A system model is considered in which a transmitter sends short packets to a legitimate receiver under the surveillance of a warden. The effects of pilot length and transmit power on channel estimation error are characterized. Based on this analysis, closed-form expressions for the detection error probability and the average CAoI are derived. A joint optimization problem is then formulated to determine the optimal transmit power, total blocklength, and pilot-to-data ratio. This problem is solved using a golden-section search algorithm. Results and Discussions Numerical results show that an optimal total packet length and an optimal pilot-to-data ratio exist for minimizing the average CAoI ( Fig. 3 ). The proposed joint optimization strategy significantly outperforms fixed-ratio schemes (Fig. 4 ). As the covertness constraint becomes stricter, the transmit power decreases, which requires longer pilot sequences to preserve channel estimation accuracy (Fig. 6(a) ). The optimal total packet length is also shown to decrease as the covertness constraint is relaxed (Fig. 6(b) ). Additionally, increasing the distance between Alice and Bob degrades the average CAoI performance due to poorer channel conditions (Fig. 5 ).Conclusions This study optimizes the average CAoI in short-packet covert communication systems with imperfect channel estimation. Closed-form expressions for covertness and CAoI are obtained, and a golden-section search method is applied to dynamically adjust the packet structure to minimize the average CAoI. Numerical results confirm that the optimized design outperforms fixed-allocation methods. The results further show that stricter covertness constraints require longer pilot sequences to compensate for reduced transmit power, providing useful design guidance for latency-sensitive covert wireless systems. -
1 黄金分割包长分配优化算法
1:输入:总包长$ N $,先验传输概率$ {\rho }_{1} $,隐蔽约束容忍度$ \varepsilon $,整数搜索容差$ {\mathrm{tol}} $等; 2:计算该总包长对应的最优发送功率$ P $; 3:初始化搜索区间:分别用$ n_{\mathrm{v}} $(整数)和$ n\mathrm{_u} $(整数)表示搜索区间的下限和上限,初始化$ n\mathrm{_v}=n_{\min} $, $ n_{\mathrm{u}}=n_{\max} $。定义两个中间变量$ {x}_{1} $和
$ {x}_{2} $,表示两个分割点,$ x_1=n\mathrm{_v}+0.382\left(n_{\mathrm{u}}-n\mathrm{_v}\right) $, $ x_2=n_{\mathrm{v}}+0.618\left(n\mathrm{_u}-n\mathrm{_v}\right) $,并进行取整;4:将连续分割点映射到邻近整数,导频信号包长$ n\mathrm{_p} $看作变量,则数据信号包长$ n_{\mathrm{d}}=N-n\mathrm{_p} $。分别代入$ n_{\mathrm{p}}=x_1 $和$ n\mathrm{_p}=x_2 $求解对应的
信息年龄$ {f}_{{\mathrm{CAOI}}}\left({x}_{1}\right) $和$ {f}_{{\mathrm{CAOI}}}\left({x}_{2}\right) $。5:重复进行 6:如果$ {f}_{{\mathrm{CAOI}}}\left({x}_{1}\right) \gt {f}_{{\mathrm{CAOI}}}\left({x}_{2}\right) $,则下一次搜索的搜索区间更新为$ \left[x_1,n_{\mathrm{u}}\right] $,然后令$ n_{\mathrm{v}}=x_1 $, $ {x}_{1}={x}_{2} $, $ x_2=n_{\mathrm{v}}+0.618\left(n_{\mathrm{u}}-n\mathrm{_v}\right) $,
并且更新$ {f}_{{\mathrm{CAOI}}}\left({x}_{1}\right) $和$ {f}_{{\mathrm{CAOI}}}\left({x}_{2}\right) $;7:否则,下一次搜索的搜索区间更新为$ \left[n_{\mathrm{v}},x_2\right] $,然后令$ n_{\mathrm{u}}=x_2 $, $ {x}_{2}={x}_{1} $, $ x_1=n_{\mathrm{v}}+0.382\left(n_{\mathrm{u}}-n\mathrm{_v}\right) $,并且更新$ {f}_{{\mathrm{CAOI}}}\left({x}_{1}\right) $和
$ {f}_{{\mathrm{CAOI}}}\left({x}_{2}\right) $;8:直到$ n_{\mathrm{u}}-n\mathrm{_v} \lt \mathrm{tol} $(即区间内整数点数量足够少); 9:对最后约束区间$ \left[n_{\rm{v}},n_{\mathrm{u}}\right] $内的所有整数进行枚举并比较,找到使得信息年龄更小的包长值作为最优解$ n\mathrm{_p^*} $; 10:输出:$ n_{\mathrm{p}}=n_{\mathrm{p}}^* $(整数),$ n\mathrm{_d}=n_{\mathrm{d}}^*=N-n_{\mathrm{p}}^* $(整数),$ \min \_ {\mathrm{CAoI}} $。 -
[1] CHEN Xinying, AN Jianping, XIONG Zehui, et al. Covert communications: A comprehensive survey[J]. IEEE Communications Surveys & Tutorials, 2023, 25(2): 1173–1198. doi: 10.1109/COMST.2023.3263921. [2] BASH B A, GOECKEL D, and TOWSLEY D. Limits of reliable communication with low probability of detection on AWGN channels[J]. IEEE Journal on Selected Areas in Communications, 2013, 31(9): 1921–1930. doi: 10.1109/JSAC.2013.130923. [3] TA H Q, PHAM Q V, HO-VAN K, et al. Covert communication with noise and channel uncertainties[J]. Wireless Networks, 2022, 28(1): 161–172. doi: 10.1007/s11276-021-02828-3. [4] WANG Jianquan, TANG Wanbin, ZHU Qiangqiang, et al. Covert communication with the help of relay and channel uncertainty[J]. IEEE Wireless Communications Letters, 2019, 8(1): 317–320. doi: 10.1109/LWC.2018.2872058. [5] HU Jinsong, ZHOU Yiting, ZHENG Haifeng, et al. Minimizing vulnerable region for near-field covert communication[J]. IEEE Transactions on Vehicular Technology, 2024, 73(12): 19861–19866. doi: 10.1109/TVT.2024.3443279. [6] SHAHZAD K, ZHOU Xiangyun, and YAN Shihao. Covert communication in fading channels under channel uncertainty[C]. 2017 IEEE 85th Vehicular Technology Conference, Sydney, Australia, 2017. doi: 10.1109/VTCSpring.2017.8108525. [7] XU Mengru, SU Yinjie, LIAN Zhuxian, et al. Covert communication with relay selection based on outdated CSI[C]. 2025 6th International Conference on Electrical, Electronic Information and Communication Engineering (EEICE), Shenzhen, China, 2025: 973–979. doi: 10.1109/EEICE65049.2025.11034079. [8] FU Zhilin, MOON J, HWANG S, et al. Covert communications in multi-antenna two-way relay systems[J]. IEEE Transactions on Vehicular Technology, 2025, 74(9): 14069–14080. doi: 10.1109/TVT.2025.3561872. [9] 吕璐, 郑彭玮, 杨龙, 等. 智能超表面赋能的D2D隐蔽通信策略研究[J]. 电子与信息学报, 2025, 47(7): 2023–2035. doi: 10.11999/JEIT250045.LÜ Lu, ZHENG Pengwei, YANG Long, et al. Reconfigurable intelligent surface-empowered covert communication strategies for D2D systems[J]. Journal of Electronics & Information Technology, 2025, 47(7): 2023–2035. doi: 10.11999/JEIT250045. [10] HUANG Kewen, DENG Hao, and WANG Huiming. Jamming aided covert communication with multiple receivers[J]. IEEE Transactions on Wireless Communications, 2021, 20(7): 4480–4494. doi: 10.1109/TWC.2021.3059306. [11] FOROUZESH M, AZMI P, MOKARI N, et al. Robust power allocation in covert communication: Imperfect CDI[J]. IEEE Transactions on Vehicular Technology, 2021, 70(6): 5789–5802. doi: 10.1109/TVT.2021.3076709. [12] FOROUZESH M, AZMI P, KUHESTANI A, et al. Joint information-theoretic secrecy and covert communication in the presence of an untrusted user and warden[J]. IEEE Internet of Things Journal, 2021, 8(9): 7170–7181. doi: 10.1109/JIOT.2020.3038682. [13] HE Biao, YAN Shihao, ZHOU Xiangyun, et al. On covert communication with noise uncertainty[J]. IEEE Communications Letters, 2017, 21(4): 941–944. doi: 10.1109/LCOMM.2016.2647716. [14] 林钰达, 金梁, 黄开枝, 等. 基于多径信道能量随机动态打散的隐蔽无线通信方案[J]. 电子与信息学报, 2023, 45(2): 505–515. doi: 10.11999/JEIT211396.LIN Yuda, JIN Liang, HUANG Kaizhi, et al. Covert wireless communication scheme based on random dynamic diffusion of energy over multipath channel[J]. Journal of Electronics & Information Technology, 2023, 45(2): 505–515. doi: 10.11999/JEIT211396. [15] YAN Shihao, HE Biao, ZHOU Xiangyun, et al. Delay-intolerant covert communications with either fixed or random transmit power[J]. IEEE Transactions on Information Forensics and Security, 2019, 14(1): 129–140. doi: 10.1109/TIFS.2018.2846257. [16] SHAHZAD K and ZHOU Xiangyun. Covert wireless communications under quasi-static fading with channel uncertainty[J]. IEEE Transactions on Information Forensics and Security, 2021, 16: 1104–1116. doi: 10.1109/TIFS.2020.3029902. [17] 缪晨, 秦雨萱, 马瑞谦, 等. 时间调制阵列感知辅助的无人机隐蔽通信[J]. 电子与信息学报, 2025, 47(4): 1004–1013. doi: 10.11999/JEIT240606.MIAO Chen, QIN Yuxuan, MA Ruiqian, et al. Covert communication of UAV aided by time modulated array perception[J]. Journal of Electronics & Information Technology, 2025, 47(4): 1004–1013. doi: 10.11999/JEIT240606. [18] KAUL S, GRUTESER M, RAI V, et al. Minimizing age of information in vehicular networks[C]. 2011 8th Annual IEEE Communications Society Conference on Sensor, Mesh and Ad Hoc Communications and Networks, Salt Lake City, USA, 2011: 350–358. doi: 10.1109/SAHCN.2011.5984917. [19] ZHAO Zhuoyi and KADOTA I. Optimizing age of information without knowing the age of information[C]. IEEE INFOCOM 2025 - IEEE Conference on Computer Communications, London, United Kingdom, 2025: 1–10. doi: 10.1109/INFOCOM55648.2025.11044597. [20] YANG Weiwei, LU Xingbo, YAN Shihao, et al. Age of information for short-packet covert communication[J]. IEEE Wireless Communications Letters, 2021, 10(9): 1890–1894. doi: 10.1109/LWC.2021.3085025. [21] 马越, 李熙冉, 缪晨, 等. 基于时间调制阵列的隐蔽信息年龄优化方法[P]. 中国, 119341613A, 2025.MA Yue, LI Xiran, MIAO Chen, et al. Time-modulated array-based covert age of information optimization method[P]. CN, 119341613A, 2025. [22] ZENG Wen, FU Shu, and DI Boya. Optimal covert age of information for ARIS-assisted covert communication system[J]. IEEE Wireless Communications Letters, 2025, 14(8): 2277–2281. doi: 10.1109/LWC.2025.3548902. [23] SUN Linlin, XU Tingzhen, YAN Shihao, et al. On resource allocation in covert wireless communication with channel estimation[J]. IEEE Transactions on Communications, 2020, 68(10): 6456–6469. doi: 10.1109/TCOMM.2020.3009651. [24] MA Ruiqian, YANG Weiwei, TAO Liwe, et al. Covert communications with randomly distributed wardens in the finite blocklength regime[J]. IEEE Transactions on Vehicular Technology, 2022, 71(1): 533–544. doi: 10.1109/TVT.2021.3128600. [25] GRADSHTEYN I S and RYZHIK I M. Table of Integrals, Series, and Products[M]. 7th ed. Burlington, USA: Academic, 2007: 21. [26] LIN Yuda, JIN Liang, HUANG Kaizhi, et al. Multiantenna joint covert communication system with finite blocklength[J]. IEEE Systems Journal, 2023, 17(1): 1170–1180. doi: 10.1109/JSYST.2022.3165055. -
下载:
下载: