Research on Snow Depth Measurement Technology Based on Dual-Band Microwave Open Resonant Cavity
-
摘要: 能实时准确测量雪层厚度并进行预警的设备对于保护冬季长时间暴露在外界环境中的供电、通信和雷达等设备具有重要的应用价值。该文研究了基于微波矩形波导开口双腔体的雪层厚度测试方法,设计了对应的测量装置,给出了相关的构造、参数获取和数据反演策略。在此过程中,提出了基于单舱内嵌入金属隔板或频率选择表面(FSS)隔板的双腔双馈电双频段测试方法,通过大腔体低频大动态范围和小腔体高频高精度的策略结合参数相关处理算法,合理解决了大量程和高测试精度之间的矛盾。论文分析了自然降落覆盖在谐振腔开口处的不同雪层厚度对腔体的反射系数谐振频率和S参数的影响,并讨论了雪的密度、湿度对厚度测量精度的影响,比较了不同反演算法的效果,实现了1~30 mm的雪层厚度的分段测量,反演算法精度达到0.16 mm。测试精度优于1 mm。对应的技术和设备可直接或扩展用于以雪厚测试为代表的介质几何参数测试。Abstract:
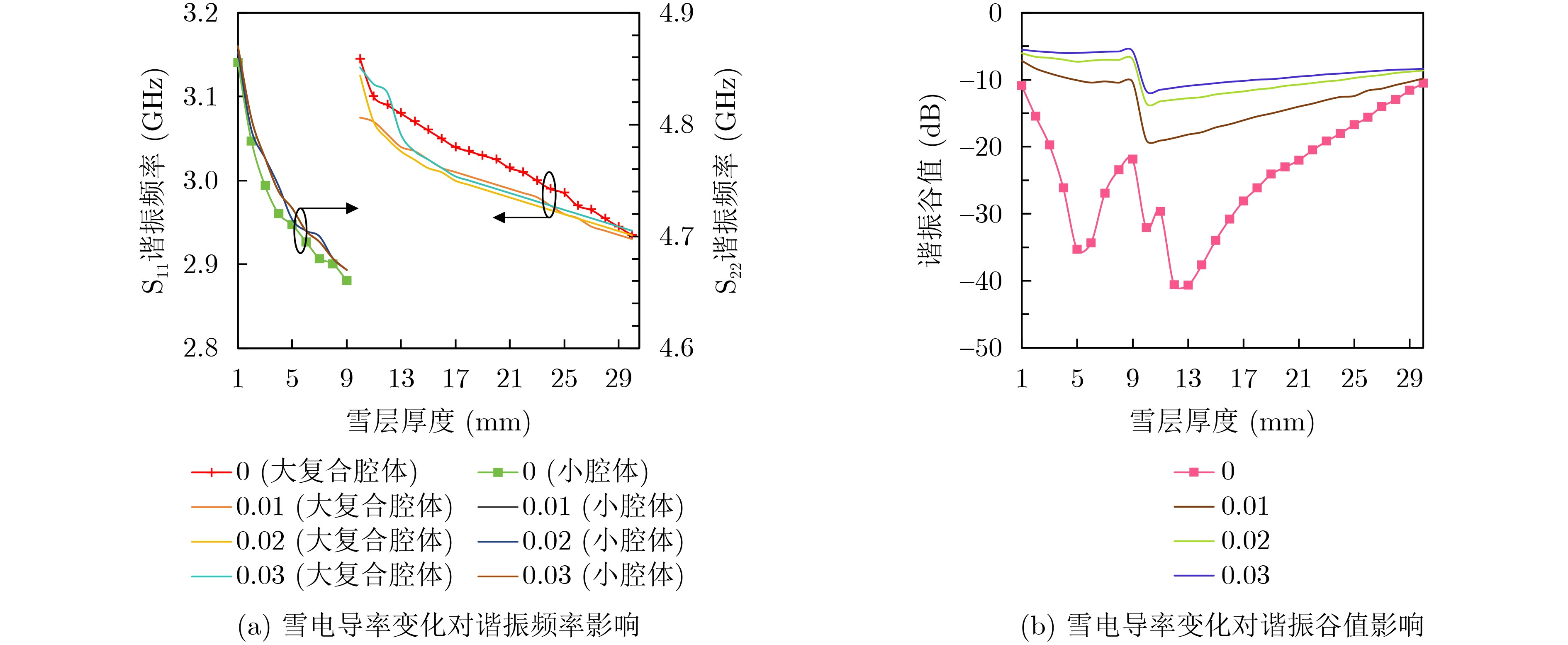
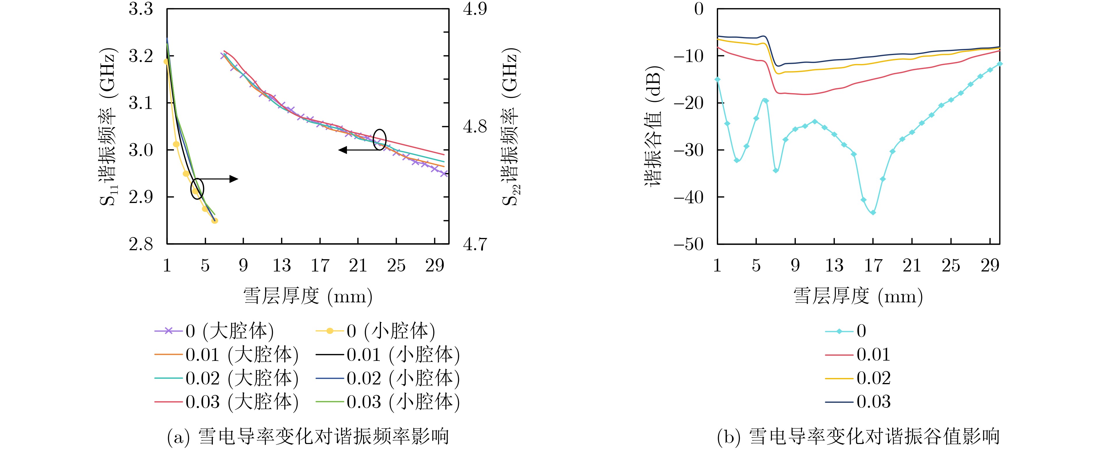
Objective Large-scale winter snowfall poses a significant threat to the safety of outdoor infrastructure, including power transmission and communication systems. Real-time monitoring of snow depth within the range of 1~30 mm is required for accurate early warning and effective snow removal scheduling. Satellite- and radar-based techniques are mainly applied to snow depths exceeding 10 cm, but their large size and limited spatial resolution restrict their applicability to near-surface measurements. Although recently developed planar resonant sensors based on the resonance principle improve measurement accuracy, their effective measurement range remains limited. To resolve the trade-off between measurement range and accuracy, a rectangular microwave open resonant cavity featuring a dual-cavity, dual-feed, and dual-frequency-band configuration is proposed in combination with a data inversion algorithm. This scheme achieves a wide dynamic range of 1~30 mm while maintaining a measurement accuracy of 1 mm. The proposed device meets the monitoring requirements for snow depth corresponding to six snowfall intensity grades, ranging from light snow to heavy snowstorms. Methods The research methodology consists of four main stages. First, the phase-matching condition of the resonator formed by the open-ended waveguide and the snow layer is used to derive an analytical relationship between resonant frequency and snow depth, thereby verifying the feasibility of the measurement principle. Subsequently, a single-cavity model with coaxial feed is designed and simulated to evaluate its sensitivity to snow depths from 1 to 25 mm and to determine the corresponding operating frequency band. To further extend the measurement range, a dual-cavity, dual-feed model is constructed using either a metal plate or a Frequency Selective Surface (FSS) as a separator. A segmented measurement strategy is adopted, in which the large cavity and small cavity are responsible for different snow thickness intervals, enabling stable measurements with a precision of 1 mm over the full 1~30 mm range under different snow conditions. Finally, an optimal data inversion scheme is selected and implemented to further improve measurement accuracy. Results and Discussions A snow depth measurement technique based on a dual-band open-ended microwave resonant cavity is demonstrated. The dynamic measurement range is extended from 1~25 mm ( Fig. 4 ) for the single-cavity configuration to 1~30 mm (Fig. 9 ) for the dual-cavity configuration. Simulation results show that the dual-cavity model maintains stable performance under variations in snow physical properties (Fig. 10 ~13 ). As snow depth increases, the resonant frequency exhibits a regular shift toward lower frequencies (Fig. 9(a) ), whereas the attenuation remains below –10 dB (Fig. 9(b) ), achieving a measurement precision of 1 mm. Experimental results show trends consistent with the simulations (Fig. 15 ). When combined with the data inversion scheme, the inversion error is less than 0.16 mm (Table 5 ), satisfying the requirements for both wide dynamic range and high measurement accuracy.Conclusions A dual-cavity, dual-feed, and dual-frequency snow depth measurement method employing either a metal plate or an FSS plate as a cavity separator is proposed. The limited dynamic range of conventional single-cavity designs is addressed through the constructed dual-cavity architecture. Measurement resolution is improved by assigning different snow thickness ranges to the two frequency bands and applying a data inversion algorithm. Experimental results demonstrate that the proposed method enables segmented measurement of snow depth from 1 to 30 mm, with an inversion accuracy of 0.16 mm and a measured precision better than 1 mm. The effects of variations in snow density and snow moisture content on resonant frequency and attenuation are analyzed. For future research, machine learning methods are suggested to associate measurement parameters with meteorological parameters, thereby improving measurement accuracy and extending the early-warning capability of the system. -
Key words:
- Snow depth measurement /
- Microwave open resonant cavity /
- Data inversion
-
表 1 矩形开口谐振腔尺寸(mm)
A B D1 D2 H H1 L1 P1 P2 79.35 37.44 31.00 1.00 55.00 34.00 19.00 18.00 9.00 表 2 金属板隔离的双腔体尺寸(mm)
A1 A2 B1 B2 D1 D2 H H1 H2 L1 L2 P1 P2 98.744 78.488 37.440 18.532 31.000 1.000 55.000 34.000 18.000 19.000 9.000 18.000 9.000 表 3 FSS单元尺寸(mm)
G1 G2 C1 C2 C3 C4 W1 W2 18.000 0.762 1.000 3.000 8.300 9.200 8.900 11.600 W3 C5 C6 C7 C8 C9 C10 W4 12.000 6.800 7.000 5.000 6.000 7.100 9.500 8.900 表 4 双腔体模型的反演绝对误差(mm)
雪层数据点 金属板隔离模型 FSS隔离模型 算法1 算法2 算法3 算法1 算法2 算法3 1.0 0.00 0.00 0.00 0.00 0.00 0.00 3.7 0.07 –0.14 –0.04 0.50 0.18 0.17 9.2 0.18 0.15 0.02 –0.07 0.15 0.03 15.5 0.01 –0.06 –0.02 0.21 –0.18 –0.11 21.4 –0.40 –0.34 –0.29 0.16 –0.02 –0.05 27.8 0.07 –0.18 0.05 0.08 –0.01 –0.46 30.0 0.00 0.00 0.00 0.00 0.00 0.00 表 5 加工模型的反演结果与绝对误差统计(mm)
雪层数据点 反演结果 绝对误差 1.0 1.00 0.00 5.5 5.35 0.15 15.3 15.43 –0.13 19.9 19.78 0.12 27.8 27.64 0.16 30.0 30.00 0.00 -
[1] KOETSE M J and RIETVELD P. The impact of climate change and weather on transport: An overview of empirical findings[J]. Transportation Research Part D: Transport and Environment, 2009, 14(3): 205–221. doi: 10.1016/j.trd.2008.12.004. [2] LU Huapu, CHEN Mingyu, and KUANG Wenbo. The impacts of abnormal weather and natural disasters on transport and strategies for enhancing ability for disaster prevention and mitigation[J]. Transport Policy, 2020, 98: 2–9. doi: 10.1016/j.tranpol.2019.10.006. [3] 李海, 冯开泓, 杨文恒, 等. 机载双极化气象雷达多种降水粒子回波仿真方法研究[J]. 电子与信息学报, 2023, 45(8): 2945–2954. doi: 10.11999/JEIT220830.LI Hai, FENG Kaihong, YANG Wenheng, et al. Study on simulation method of precipitation particle echo of airborne dual-polarization weather radar[J]. Journal of Electronics & Information Technology, 2023, 45(8): 2945–2954. doi: 10.11999/JEIT220830. [4] GORZELANCZYK P. Impact of weather conditions and road type on traffic safety[J]. European Transport Studies, 2025, 2: 100042. doi: 10.1016/j.ets.2025.100042. [5] SHI H, SOHN B J, DYBKJÆR G, et al. Simultaneous estimation of wintertime sea ice thickness and snow depth from space-borne freeboard measurements[J]. The Cryosphere, 2020, 14(11): 3761–3783. doi: 10.5194/tc-14-3761-2020. [6] 王奉帅, 王华青, 贾贝. 基于北斗系统的雪层厚度测量方法[J]. 信息记录材料, 2023, 24(4): 204–206. doi: 10.16009/j.cnki.cn13-1295/tq.2023.04.061.WANG Fengshuai, WANG Huaqing, and JIA Bei. Snow layer thickness measurement method based on the Beidou system[J]. Information Recording Materials, 2023, 24(4): 204–206. doi: 10.16009/j.cnki.cn13-1295/tq.2023.04.061. [7] JANS J F, BEERNAERT E, DE BREUCK M, et al. Sensitivity of sentinel-1 C-band SAR backscatter, polarimetry and interferometry to snow accumulation in the Alps[J]. Remote Sensing of Environment, 2025, 316: 114477. doi: 10.1016/j.rse.2024.114477. [8] 孙占义, 张江齐, 张鹏. 雷达技术在珠穆朗玛峰冰雪层厚度测定中的应用[J]. 物探与化探, 2006, 30(2): 179–182. doi: 10.3969/j.issn.1000-8918.2006.02.021.SUN Zhanyi, ZHANG Jiangqi, and ZHANG Peng. The application of radar technique to determining niveal bed thickness of Mount Qomolangma[J]. Geophysical and Geochemical Exploration, 2006, 30(2): 179–182. doi: 10.3969/j.issn.1000-8918.2006.02.021. [9] KANAGARATNAM P, MARKUS T, LYTLE V, et al. Ultrawideband radar measurements of thickness of snow over sea ice[J]. IEEE Transactions on Geoscience and Remote Sensing, 2007, 45(9): 2715–2724. doi: 10.1109/TGRS.2007.900673. [10] LIU Hai, TAKAHASHI K, and SATO M. Measurement of dielectric permittivity and thickness of snow and ice on a brackish lagoon using GPR[J]. IEEE Journal of Selected Topics in Applied Earth Observations and Remote Sensing, 2014, 7(3): 820–827. doi: 10.1109/JSTARS.2013.2266792. [11] RYAN W A, DOESKEN N J, and FASSNACHT S R. Evaluation of ultrasonic snow depth sensors for U. S. snow measurements[J]. Journal of Atmospheric and Oceanic Technology, 2008, 25(5): 667–684. doi: 10.1175/2007JTECHA947.1. [12] 王瑞, 秦建敏, 程琦, 等. 基于空气-雪层透光性差异的雪层厚度定点连续检测传感器[C]. 第十四届全国敏感元件与传感器学术会议论文集, 成都, 中国, 2016: 667–670.WANG Rui, QIN Jianmin, CHENG Qi, et al. The snow-thickness detection sensor based on the difference of light transmission properties between air and snow[C]. 14th Sensors and Transducers Conference of China, Chengdu, China, 2016: 667–670. [13] HERMAN K, GUDRA T, OPIELIŃSKI K, et al. A study of a parametric method for the snow reflection coefficient estimation using air-coupled ultrasonic waves[J]. Sensors, 2020, 20(15): 4267. doi: 10.3390/s20154267. [14] GARCÍA-MAROTO D, DURÁN L, and DE PABLO HERNÁNDEZ M Á. New approaches and error assessment to snow cover thickness and density using air temperature data at different heights[J]. Science of the Total Environment, 2024, 926: 171744. doi: 10.1016/j.scitotenv.2024.171744. [15] KINAR N J and POMEROY J W. Measurement of the physical properties of the snowpack[J]. Reviews of Geophysics, 2015, 53(2): 481–544. doi: 10.1002/2015RG000481. [16] PROKOP A, SCHIRMER M, RUB M, et al. A comparison of measurement methods: Terrestrial laser scanning, tachymetry and snow probing for the determination of the spatial snow-depth distribution on slopes[J]. Annals of Glaciology, 2008, 49: 210–216. doi: 10.3189/172756408787814726. [17] RODRIGUEZ-ALVAREZ N, AGUASCA A, VALENCIA E, et al. Snow thickness monitoring using GNSS measurements[J]. IEEE Geoscience and Remote Sensing Letters, 2012, 9(6): 1109–1113. doi: 10.1109/LGRS.2012.2190379. [18] MATZLER C. Microwave permittivity of dry snow[J]. IEEE Transactions on Geoscience and Remote Sensing, 1996, 34(2): 573–581. doi: 10.1109/36.485133. [19] SHAH A, NIKSAN O, and ZARIFI M H. Planar microwave sensor for localized ice and snow sensing[R]. SAE Technical Paper 2023-01-1432, 2023. doi: 10.4271/2023-01-1432. [20] XIE Jianbing, LI Zihan, LU Boshang, et al. A flexible CSRR-based array icing sensor with defective microstrip structure[J]. IEEE Sensors Journal, 2024, 24(12): 19934–19943. doi: 10.1109/JSEN.2024.3395435. [21] PRIYANKA G and RAO N. Simplified formulation for calculation of thickness of a single layered dielectric material using an open-ended rectangular waveguide[C]. 2021 12th International Conference on Computing Communication and Networking Technologies (ICCCNT), Kharagpur, India, 2021: 1–7. doi: 10.1109/ICCCNT51525.2021.9579802. [22] SIMON D S. Introduction to Quantum Science and Technology[M]. Cham: Springer, 2025: 697–713. doi: 10.1007/978-3-031-81315-3. [23] 方正新. 矩形压窄波导天线设计[D]. [硕士论文], 电子科技大学, 2009.FANG Zhengxin. Design of rectangular narrow-waveguide antenna[D]. [Master dissertation], University of Electronic Science and Technology of China, 2009. [24] 胡金花, 李勇, 谭建国, 等. 玻璃纤维增强复合材料局部减薄损伤的微波无损定量检测[J]. 传感器与微系统, 2020, 39(3): 113–116. doi: 10.13873/J.1000-9787(2020)03-0113-04.HU Jinhua, LI Yong, TAN Jianguo, et al. Nondestructive quantitative detection of localized thickness loss in GFRP composites via microwave NDT[J]. Transducer and Microsystem Technologies, 2020, 39(3): 113–116. doi: 10.13873/J.1000-9787(2020)03-0113-04. [25] 鲁戈舞, 张剑, 杨洁颖, 等. 频率选择表面天线罩研究现状与发展趋势[J]. 物理学报, 2013, 62(19): 198401. doi: 10.7498/aps.62.198401.LU Gewu, ZHANG Jian, YANG Jieying, et al. Status and development of frequency selective surface radome[J]. Acta Physica Sinica, 2013, 62(19): 198401. doi: 10.7498/aps.62.198401. [26] NI Junzhe, ZHAO Wenbo, PANG Xiaoyu, et al. A fifth-order X-band frequency-selective surface with high selectivity and angular stability based on 3-D coupling slot[J]. IEEE Transactions on Antennas and Propagation, 2024, 72(7): 5743–5753. doi: 10.1109/TAP.2024.3414601. [27] HALLIKAINEN M, ULABY F, and ABDELRAZIK M. Dielectric properties of snow in the 3 to 37 GHz range[J]. IEEE Transactions on Antennas and Propagation, 1986, 34(11): 1329–1340. doi: 10.1109/TAP.1986.1143757. -
下载:
下载: