高级搜索

留言板

尊敬的读者、作者、审稿人, 关于本刊的投稿、审稿、编辑和出版的任何问题, 您可以本页添加留言。我们将尽快给您答复。谢谢您的支持!

姓名
邮箱
手机号码
标题
留言内容
验证码

高时效短包通信中的智能反射面部署:分布式还是集中式部署?

张洋译 管新荣 杨炜伟 曹阔 王萌 蔡跃明

张洋译, 管新荣, 杨炜伟, 曹阔, 王萌, 蔡跃明. 高时效短包通信中的智能反射面部署:分布式还是集中式部署?[J]. 电子与信息学报, 2026, 48(1): 107-115. doi: 10.11999/JEIT250720
引用本文: 张洋译, 管新荣, 杨炜伟, 曹阔, 王萌, 蔡跃明. 高时效短包通信中的智能反射面部署:分布式还是集中式部署?[J]. 电子与信息学报, 2026, 48(1): 107-115. doi: 10.11999/JEIT250720
ZHANG Yangyi, GUAN Xinrong, YANG Weiwei, CAO Kuo, WANG Meng, CAI Yueming. IRS Deployment for Highly Time Sensitive Short Packet Communications: Distributed or Centralized Deployment?[J]. Journal of Electronics & Information Technology, 2026, 48(1): 107-115. doi: 10.11999/JEIT250720
Citation: ZHANG Yangyi, GUAN Xinrong, YANG Weiwei, CAO Kuo, WANG Meng, CAI Yueming. IRS Deployment for Highly Time Sensitive Short Packet Communications: Distributed or Centralized Deployment?[J]. Journal of Electronics & Information Technology, 2026, 48(1): 107-115. doi: 10.11999/JEIT250720

高时效短包通信中的智能反射面部署:分布式还是集中式部署?

doi: 10.11999/JEIT250720 cstr: 32379.14.JEIT250720
基金项目: 国家自然科学基金(62171461, 62201584, 62171464)
详细信息
    作者简介:

    张洋译:男,博士,助理研究员,研究方向为智能超表面和短包通信

    管新荣:男,博士,副教授,研究方向为智能超表面和短包通信

    杨炜伟:男,博士,教授,研究方向为移动通信、隐蔽通信、协同通信等

    曹阔:男,博士,讲师,研究方向为移动通信、协同通信等

    王萌:男,硕士,副教授,研究方向为无线资源管理

    蔡跃明:男,博士,教授,研究方向为移动通信、协同通信等

    通讯作者:

    管新荣 guanxr@aliyun.com

  • 中图分类号: TN926

IRS Deployment for Highly Time Sensitive Short Packet Communications: Distributed or Centralized Deployment?

Funds: The National Natural Science Foundation of China (62171461, 62201584, 62171464)
  • 摘要: 智能反射面(IRS)的部署能够提升短包通信的传输可靠性,现有研究大多通过优化IRS的反射相位来增强短包通信的性能,而该文则重点研究如何在无线网络中优化IRS的部署策略,以实现更高的通信时效性。该文研究一种IRS辅助的短包通信系统,其中多个终端设备在IRS的协助下向接入节点(AP)传输短包。针对该系统,该文考虑了2种典型IRS部署方案:分布式IRS与集中式IRS。在分布式IRS中,每个设备附近都部署一个配备M个反射单元的IRS,而在集中式IRS中,相同数量和规模的IRS均部署于AP附近。为了比较分布式IRS和集中式IRS辅助短包通信的时效性能,该文采用平均信息年龄(AoI)作为系统的性能指标。然而,复合信道增益的概率分布具有高度复杂性,导致平均AoI的闭式表达式难以直接推导,为此该文采用矩匹配(MM)近似法来获得复合信道增益的近似分布,并在考虑导频开销的情况下,推导出两种部署方案的平均AoI表达式。仿真结果表明:当IRS反射单元数量较大或AP与设备距离较远时,分布式IRS系统展现出更优的AoI性能;而当传输功率较高或系统带宽充足时,集中式IRS系统具有更好的时效性表现。
  • 图  1  IRS辅助的短包通信系统

    图  2  传输协议

    图  3  AoI更新过程

    图  4  平均AoI与IRS反射单元数量的关系

    图  5  平均AoI与信号传输功率的关系

    图  6  平均AoI随AP与设备之间距离的变化关系

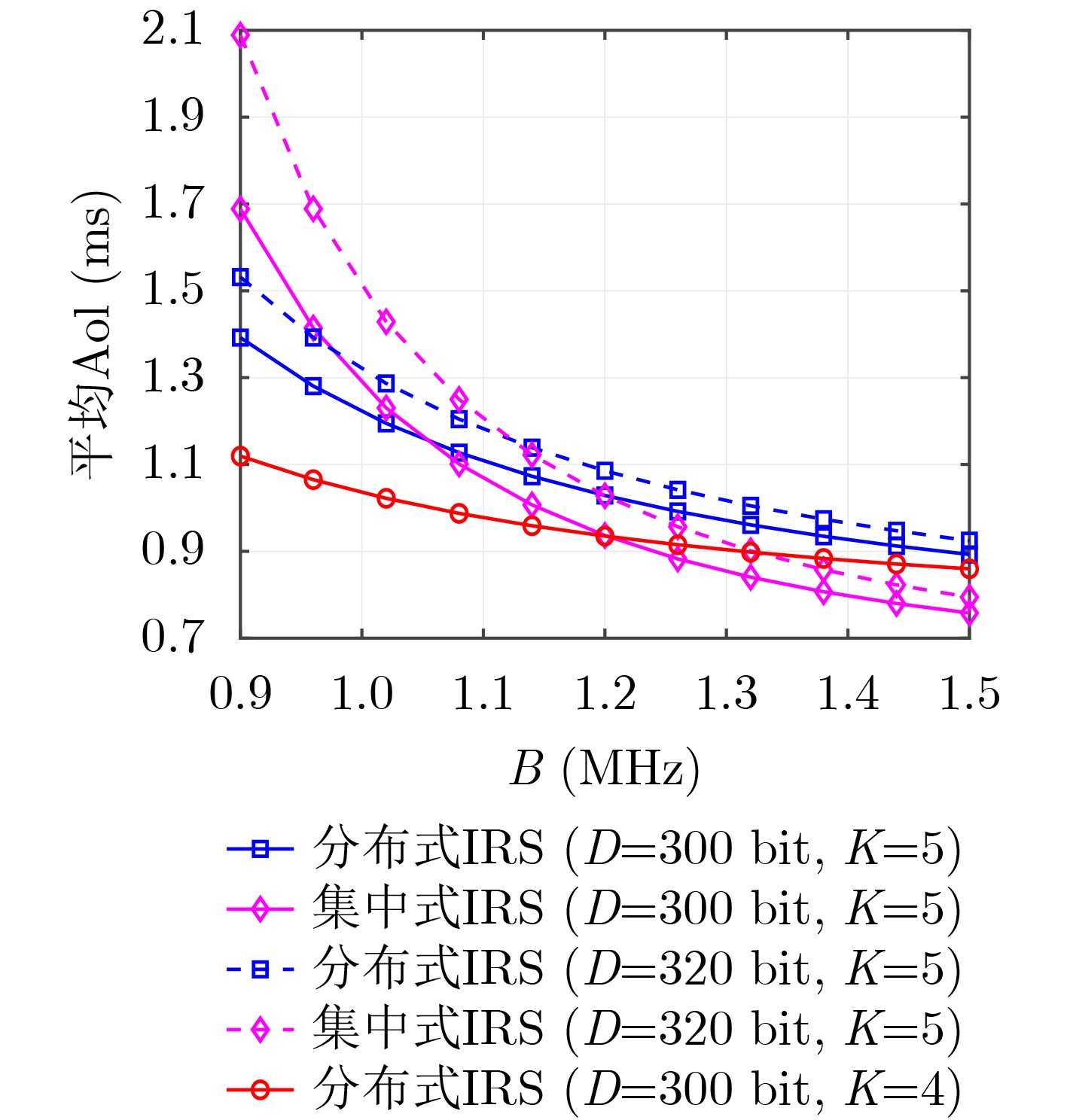
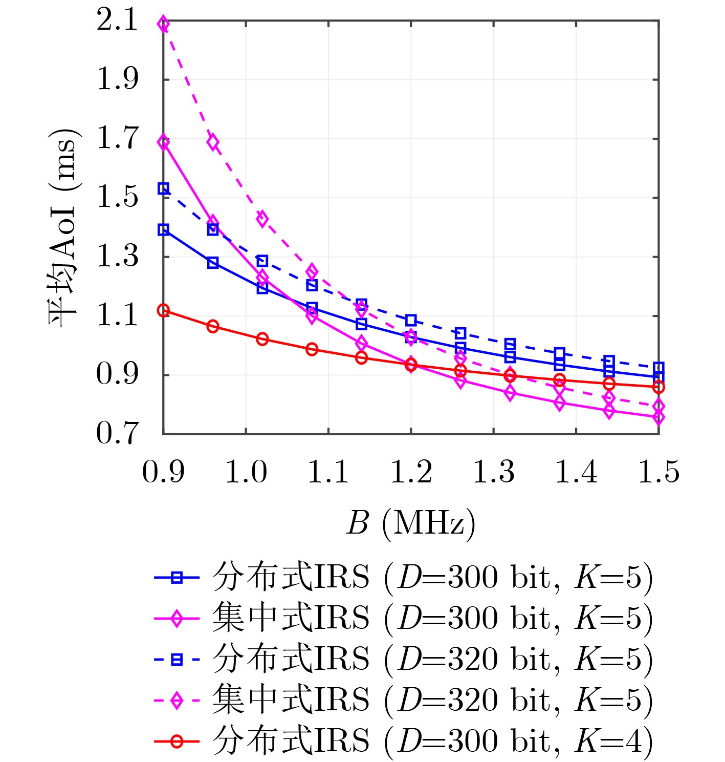
    图  7  平均AoI与系统带宽的关系

  • [1] CAO Jie, ZHU Xu, SUN Sumei, et al. Toward industrial metaverse: Age of information, latency and reliability of short-packet transmission in 6G[J]. IEEE Wireless Communications, 2023, 30(2): 40–47. doi: 10.1109/MWC.2001.2200396.
    [2] XIE Mangang, JIA Xiangdong, YIN Jiaxiang, et al. Age of information for partial earliest relay aided short packet status update with energy harvesting[J]. IEEE Transactions on Wireless Communications, 2024, 23(1): 699–719. doi: 10.1109/TWC.2023.3281736.
    [3] 于宝泉, 杨炜伟, 王权, 等. 无人机辅助通感一体化系统中的信息年龄分析优化[J]. 电子与信息学报, 2024, 46(5): 1996–2003. doi: 10.11999/JEIT231175.

    YU Baoquan, YANG Weiwei, WANG Quan, et al. Age of information analysis and optimization in unmanned aerial vehicles-assisted integrated sensing and communication systems[J]. Journal of Electronics & Information Technology, 2024, 46(5): 1996–2003. doi: 10.11999/JEIT231175.
    [4] KAUL S, YATES R, and GRUTESER M. Real-time status: How often should one update?[C]. 2012 Proceedings IEEE INFOCOM, Orlando, America, 2012: 2731–2735. doi: 10.1109/INFCOM.2012.6195689.
    [5] KAM C, KOMPELLA S, NGUYEN G D, et al. On the age of information with packet deadlines[J]. IEEE Transactions on Information Theory, 2018, 64(9): 6419–6428. doi: 10.1109/TIT.2018.2818739.
    [6] PRADHAN A, DAS S, and PIRAN J. Blocklength optimization and power allocation for energy-efficient and secure URLLC in industrial IoT[J]. IEEE Internet of Things Journal, 2024, 11(6): 9420–9431. doi: 10.1109/JIOT.2023.3324379.
    [7] 陈泳, 蔡跃明, 王萌. 认知物联网短包通信中双向中继系统的信息年龄分析[J]. 电子与信息学报, 2023, 45(12): 4254–4261. doi: 10.11999/JEIT221377.

    CHEN Yong, CAI Yueming, and WANG Meng. Age of information for short-packet two-way relay system in cognitive IoT network[J]. Journal of Electronics & Information Technology, 2023, 45(12): 4254–4261. doi: 10.11999/JEIT221377.
    [8] DURISI G, KOCH T, and POPOVSKI P. Toward massive, ultrareliable, and low-latency wireless communication with short packets[J]. Proceedings of the IEEE, 2016, 104(9): 1711–1726. doi: 10.1109/JPROC.2016.2537298.
    [9] POLYANSKIY Y, POOR H V, and VERDU S. Channel coding rate in the finite blocklength regime[J]. IEEE Transactions on Information Theory, 2010, 56(5): 2307–2359. doi: 10.1109/TIT.2010.2043769.
    [10] CHAN T T, PAN Haoyuan, and LIANG Jiaxin. Age of information with joint packet coding in industrial IoT[J]. IEEE Wireless Communications Letters, 2021, 10(11): 2499–2503. doi: 10.1109/LWC.2021.3105304.
    [11] WANG Zhaorui, LIU Liang, and CUI Shuguang. Channel estimation for intelligent reflecting surface assisted multiuser communications: Framework, algorithms, and analysis[J]. IEEE Transactions on Wireless Communications, 2020, 19(10): 6607–6620. doi: 10.1109/TWC.2020.3004330.
    [12] ZHANG Yangyi, GUAN Xinrong, WU Qingqing, et al. Optimizing age of information in UAV-mounted IRS assisted short packet systems[J]. IEEE Transactions on Vehicular Technology, 2024, 73(11): 17760–17764. doi: 10.1109/TVT.2024.3417701.
    [13] GUAN Xinrong, WU Qingqing, and ZHANG Rui. Intelligent reflecting surface assisted secrecy communication: Is artificial noise helpful or not?[J]. IEEE Wireless Communications Letters, 2020, 9(6): 778–782. doi: 10.1109/LWC.2020.2969629.
    [14] LI Zhicheng, SHEN Hong, XU Wei, et al. Resource allocation for IRS-assisted uplink URLLC systems[J]. IEEE Communications Letters, 2023, 27(6): 1540–1544. doi: 10.1109/LCOMM.2023.3267827.
    [15] LIESEGANG S, ZAPPONE A, MUÑOZ O, et al. Rate optimization for RIS-aided mMTC networks in the finite blocklength regime[J]. IEEE Communications Letters, 2023, 27(3): 921–925. doi: 10.1109/LCOMM.2022.3231717.
    [16] LV Suyu, XU Xiaodong, HAN Shujun, et al. RIS-enhanced secure transmission in MTC networks with finite blocklength[J]. IEEE Transactions on Communications, 2023, 71(6): 3513–3527. doi: 10.1109/TCOMM.2023.3255903.
    [17] YOU Changsheng, ZHENG Beixiong, MEI Weidong, et al. How to deploy intelligent reflecting surfaces in wireless network: BS-side, user-side, or both sides?[J]. Journal of Communications and Information Networks, 2022, 7(1): 1–10. doi: 10.23919/JCIN.2022.9745477.
    [18] ZHANG Shuowen and ZHANG Rui. Intelligent reflecting surface aided multi-user communication: Capacity region and deployment strategy[J]. IEEE Transactions on Communications, 2021, 69(9): 5790–5806. doi: 10.1109/TCOMM.2021.3079128.
    [19] CHEN Guangji, WU Qingqing, CHEN Wen, et al. Intelligent reflecting surface aided MIMO networks: Distributed or centralized architecture?[J]. IEEE Transactions on Wireless Communications, 2024, 23(12): 18969–18986. doi: 10.1109/TWC.2024.3471825.
    [20] ZHANG Yan, ZHANG Jiayi, DI RENZO M, et al. Reconfigurable intelligent surfaces with outdated channel state information: Centralized vs. distributed deployments[J]. IEEE Transactions on Communications, 2022, 70(4): 2742–2756. doi: 10.1109/TCOMM.2022.3146344.
    [21] AL-NAHHAS B, OBEED M, CHAABAN A, et al. Performance of multi-RIS-aided cell-free massive MIMO: Do more RISs always help?[J]. IEEE Transactions on Communications, 2024, 72(7): 4319–4332. doi: 10.1109/TCOMM.2024.3362973.
    [22] REN Hong, WANG Kezhi, and PAN Cunhua. Intelligent reflecting surface-aided URLLC in a factory automation scenario[J]. IEEE Transactions on Communications, 2022, 70(1): 707–723. doi: 10.1109/TCOMM.2021.3125057.
    [23] ZHAKIPOV Z, RABIE K M, LI Xingwang, et al. Accurate approximation to channel distributions of cascaded RIS-aided systems with phase errors over Nakagami-m channels[J]. IEEE Wireless Communications Letters, 2023, 12(5): 922–926. doi: 10.1109/LWC.2023.3251647.
    [24] GUAN Xinrong, WU Qingqing, and ZHANG Rui. Anchor-assisted channel estimation for intelligent reflecting surface aided multiuser communication[J]. IEEE Transactions on Wireless Communications, 2022, 21(6): 3764–3778. doi: 10.1109/TWC.2021.3123674.
  • 加载中
图(7)
计量
  • 文章访问数:  392
  • HTML全文浏览量:  173
  • PDF下载量:  33
  • 被引次数: 0
出版历程
  • 收稿日期:  2025-07-31
  • 修回日期:  2025-11-05
  • 录用日期:  2025-11-05
  • 网络出版日期:  2025-11-13
  • 刊出日期:  2026-01-30

目录

    /

    返回文章
    返回