Band-Limited Signal Compression Enabled Computationally Efficient Software-Defined Radio for Two-Way Satellite Time and Frequency Transfer
-
摘要: 卫星双向时间比对(TWSTFT)技术因其高精度特性在时间同步领域具有重要应用价值,其中实时性是衡量系统性能的关键指标。传统硬件实现的TWSTFT存在显著的周日效应问题,而基于开环架构和高分辨率多相关器的软件定义无线电(SDR)实现方法虽能有效抑制该效应,却因计算复杂度高而面临实时性挑战。为提升SDR接收机的运算效率并改善其短期稳定性,本研究在传统信号压缩法基础上提出了一种基于带限信号压缩的高效SDR实现方法。该方法创新性地采用伪随机噪声(PRN)码整数倍抽取序列与接收信号进行相关运算以获得压缩值,并通过建立抽取序列采样频率与信号带宽的定量关系实现相关结果的高效重构。该机制通过消除传统算法的冗余计算环节,在保证测量精度的同时显著提升了运算效率并降低了系统资源开销。为验证方法有效性,该文设计了不同带宽和基线长度的对比实验,结果表明:相较于TWSTFT SDR中常用的多相关器法,本方法的运算速度提升7-8倍,资源消耗量降低了85~90%,且信号预处理阶段的滤波操作能有效抑制带外噪声干扰。这种效率提升不仅增加了单位拟合周期内的有效测量数据量,通过统计平均效应降低了随机噪声影响,还显著提高了比对结果的短期稳定性,为高精度时间比对提供了新的技术途径。Abstract:
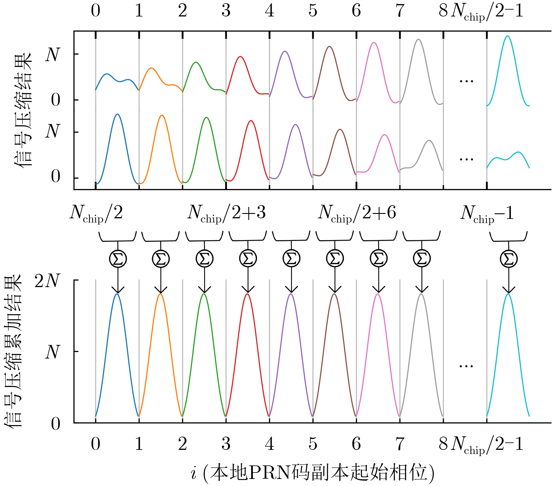
Objective This study addresses the critical challenges in Two-Way Satellite Time and Frequency Transfer (TWSTFT) systems, particularly focusing on the computational inefficiency and excessive resource consumption of Software-Defined Radio (SDR) receivers. Despite TWSTFT's reputation for exceptional long-term stability and precision in time transfer, traditional hardware-based implementations suffer from significant diurnal effects. Current mitigation strategies, such as data fusion with GPS Precise Point Positioning (PPP), are limited by their reliance on auxiliary link performance and lack of standardized algorithms across international networks. While SDR receivers have proven effective in reducing diurnal effects and improving accuracy, their high sampling rates and complex multi-correlator algorithms impose prohibitive computational demands, hindering real-time multi-station operations. To overcome these limitations, this research introduces an innovative band-limited signal compression method specifically designed for TWSTFT signals. The primary objective is to develop a solution that maintains high measurement resolution while dramatically enhancing computational efficiency, thereby enabling scalable and high-performance time transfer across global timing laboratories. This work holds significant potential to advance TWSTFT technology by addressing current bottlenecks and facilitating more robust international time and frequency transfer. Methods The proposed band-limited signal compression method adapts traditional signal compression techniques to TWSTFT by addressing the distortion of pseudo-random noise (PRN) code square-wave characteristics under bandwidth constraints. The method employs the following key technical approach: First, bandwidth-matched filtering is applied to the local PRN code replica to precisely align its spectral characteristics with the effective bandwidth of the received signal, thereby effectively suppressing out-of-band noise interference. For received signals with different bandwidths, the system employs n groups (e.g., n=1, 2, or 20) of phase-diversified, equally-spaced PRN code subsequences. The number of subsequence groups n is strictly determined by the constraint n×Rchip≥ 2×Bandsignal, where Rchip denotes the sampling rate of the subsequences and Bandsignal represents the signal bandwidth. During signal processing, the received signal - after being bandpass-filtered to suppress out-of-band noise - undergoes parallel correlation operations with these phase-diversified PRN code subsequences. The complete correlation function is reconstructed through a linear combination of the n independent correlation results, where each result is scaled by the normalization factor Nchip/n, with Nchip defined as the number of samples per PRN chip. This integrated approach, combined with dynamic optimization through adaptive sampling rate adjustment and efficient resource allocation algorithms, achieves optimal performance while maintaining computational efficiency. Results and Discussions The experimental validation was conducted on an advanced TWSTFT platform at the National Time Service Center (NTSC), utilizing data from TWSTFT links (NTSC-NIM, NTSC-SU, NTSC-PTB) and SATRE local-loop tests. Measurement data from MJD 60742 to MJD60749 were collected following ITU-R TF.1153.4 standards. Results demonstrate significant improvements in both precision and computational efficiency. In local-loop tests, the method achieved the most stable Time of Arrival (TOA) measurements while maintaining high signal-to-noise ratio (Table 2 ), with time deviation (TDEV) outperforming traditional multi-correlator and conventional compression methods across all averaging periods (Fig. 9 ). For TWSTFT links, the proposed method demonstrated superior short-term stability in comparisons across different baseline lengths (Fig. 10 andFig. 11 ). Configurations with PRN subsequence numbers n=1 and n=2 showed remarkable efficiency improvements, increasing processing speed by 795% and 707% respectively while reducing GPU memory usage by 89.77% and 84.65% (Table 4 ). The method supports up to 102 concurrent channels (n=1), significantly exceeding the 11-channel capacity of conventional techniques (Table 5 ). Analysis confirms the optimal balance between performance and efficiency, as increasing the number of PRN subsequences (n) provides no additional precision benefits but increases resource consumption. These advancements are attributed to the parallel processing of short correlations and bandwidth-aware sampling while maintaining measurement accuracy.Conclusions This study presents an innovative band-limited signal compression method designed to overcome the computational limitations of traditional TWSTFT systems. The proposed approach integrates parallel short-correlation processing with adaptive bandwidth-aware sampling, achieving significant improvements in both precision and efficiency. Experimental validation confirms the method's superior performance, demonstrating enhanced short-term stability across various signal bandwidths and baseline lengths compared to conventional multi-correlator techniques. Notably, the solution achieves remarkable computational efficiency, with processing speeds increased by 795% (n=1) and 707% (n=2) while reducing GPU memory requirements by 89.77% and 84.65% respectively. The system’s scalability is substantially improved, supporting up to 102 concurrent channels - a nine-fold increase over traditional implementations. These advancements validate the method's optimized balance between performance and resource utilization. Future research directions include adaptation to more complex operational scenarios to further enhance the technology's applicability in global time and frequency transfer networks. -
表 1 实验参数配置表
接收机通道 有效信号带宽 比对方法 压缩信号组数n 动态范围(码片) 本地PRN码副本
滤波带宽接收信号
是否滤波接收信号滤波带宽/
中心频率R0 1.25 MHz 多相关器法 - ±0.7 1.25 MHz 否 - R0 1.25 MHz 传统信号压缩法 - ±1.0 - 否 - R0 1.25 MHz 带限信号压缩法 20, 2, 1 ±1.0 1.25 MHz 是 1.25 MHz / 70 MHz R1 2.5 MHz 多相关器法 - ±0.7 2.5 MHz 否 - R1 2.5 MHz 传统信号压缩法 - ±1.0 - 否 - R1 2.5 MHz 带限信号压缩法 20, 2 ±1.0 2.5 MHz 是 2.5 MHz / 70.02 MHz 表 2 本地回路中到达时间以及信噪比的统计
方法 到达时间 信噪比 均值(ns) 标准差(ps) 均值(dB) 标准差(dB) 传统信号压缩 1453.37 162.56 9.702 0.0186 多相关器 1441.45 22.57 14.308 0.0229 带限信号压缩(n=20) 1441.44 21.98 14.274 0.0309 带限信号压缩(n=2) 1441.45 22.03 14.276 0.0313 表 3 NTSC-NIM、NTSC-SU和NTSC-PTB链路中传统信号压缩法、多相关器法和带限信号压缩法单向结果统计(ps)
方法 NTSC-NIM NTSC-SU NTSC-PTB 传统信号压缩 14.57 10.66 8.40 多相关器 13.56 10.41 7.98 带限信号压缩(n=20) 12.84 9.89 7.36 带限信号压缩(n=2) 12.84 9.91 7.33 带限信号压缩(n=1) 12.82 9.90 7.36 表 4 SATRE本地回路和TWSTFT链路中多相关器法和带限信号压缩法的时间以及资源消耗统计情况
方法 SATRE本地回路
(ms)NTSC-NIM
(ms)NTSC-SU
(ms)NTSC-PTB
(ms)平均时耗
(ms)加速比 资源占用
(MiB)多相关器 81.99 80.54 81.90 85.32 82.43 1 430 带限信号压缩(n=20) 32.94 28.21 32.82 27.47 30.36 2.72 410 带限信号压缩(n=2) 8.21 8.65 8.07 15.95 10.22 8.07 66 带限信号压缩(n=1) - 14.91 6.37 6.32 9.20 8.95 44 表 5 多相关器法和带限信号压缩法所支持的最大比对通道数的统计结果
方法 时间限制
比对通道数GPU内存限制
比对通道数最大
比对通道数信号未经
滤波操作多相关器 11.8 16.3 11 带限信号压缩(n=20) 31.9 17.1 17 信号经过
滤波操作带限信号压缩(n=20) 30.9 15.3 15 带限信号压缩(n=2) 91.9 95.3 91 带限信号压缩(n=1) 102.2 143.0 102 -
[1] WANG Weixiong, DONG Shaowu, WU Wenjun, et al. Evaluation of Asia-Europe TWSTFT Links using the express-80 satellite[J]. IEEE Instrumentation & Measurement Magazine, 2022, 25(6): 19–24. doi: 10.1109/MIM.2022.9847188. [2] JIANG Zhiheng, KONATÉ H, and LEWANDOWSKI W. Review and preview of two-way time transfer for UTC generation - from TWSTFT to TWOTFT[C]. Joint European Frequency and Time Forum & International Frequency Control Symposium (EFTF/IFC), Prague, Czech Republic, 2013: 501–504. doi: 10.1109/EFTF-IFC.2013.6702103. (查阅网上资料,未找到标黄作者全称信息,请确认). [3] 王威雄, 董绍武, 武文俊, 等. 基于软件接收机和间接链路的卫星双向时间比对性能分析[J]. 仪器仪表学报, 2019, 40(10): 152–160. doi: 10.19650/j.cnki.cjsi.J1905616.WANG Weixiong, DONG Shaowu, WU Wenjun, et al. Performance analysis of two-way satellite time and frequency transfer based on SDR receivers and indirect links[J]. Chinese Journal of Scientific Instrument, 2019, 40(10): 152–160. doi: 10.19650/j.cnki.cjsi.J1905616. [4] WANG Xiang, DONG Shaowu, SONG Huijie, et al. Time Transfer Link fusion algorithm based on wavelet multi-resolution analysis[J]. Measurement, 2024, 232: 114599. doi: 10.1016/j.measurement.2024.114599. [5] 刘强, 孙浩冉, 胡邓华, 等. 基于Vondrak-Cepek组合滤波和注意力机制加权的时间比对融合算法[J]. 系统工程与电子技术, 2025, 47(2): 673–679. doi: 10.12305/j.issn.1001-506X.2025.02.34.LIU Qiang, SUN Haoran, HU Denghua, et al. Time alignment fusion algorithm based on Vondrak-Cepek combined filtering and attention mechanism weighting[J]. Systems Engineering and Electronics, 2025, 47(2): 673–679. doi: 10.12305/j.issn.1001-506X.2025.02.34. [6] PANFILO G and ARIAS F. The coordinated universal time (UTC)[J]. Metrologia, 2019, 56(4): 042001. doi: 10.1088/1681-7575/ab1e68. [7] BIPM. Two-way satellite time and frequency transfer: First use of a software defined radio receiver in UTC calculation[EB/OL]. https://www.bipm.org/en/-/2020-twstft-sdr, 2025. [8] SICCARDI M, THAI T T, ROVERA D G, et al. A TWSTFT transmitter prototype compatible with SDR receivers and SATRE modems[C]. Joint Conference of the IEEE International Frequency Control Symposium and International Symposium on Applications of Ferroelectrics (IFCS-ISAF), Keystone, USA, 2020: 1–3. doi: 10.1109/IFCS-ISAF41089.2020.9234873. [9] FRIEDT J M, LOURS M, GOAVEC-MEROU G, et al. Development of an opensource, Openhardware, software-defined radio platform for two-way satellite time and frequency transfer[C]. 2023 Joint Conference of the European Frequency and Time Forum and IEEE International Frequency Control Symposium (EFTF/IFCS), Toyama, Japan, 2023: 1–4. doi: 10.1109/EFTF/IFCS57587.2023.10272067. [10] ACHKAR J, MEYER É, CHUPIN B, et al. Two-way satellite time and frequency transfer using an opensource, Openhardware software-defined radio platform[C]. 4th URSI Atlantic Radio Science Meeting (AT-RASC), Gran Canaria, Spain, 2024: 1–4. doi: 10.46620/URSIATRASC24/ZXOX6507. [11] LEE J, OH J I, CHOI G W, et al. Truncated M-sequence and BOC modulation based ranging signal design for TWSTFT[C]. Conference on Precision Electromagnetic Measurements (CPEM), Denver, USA, 2024: 1–2. doi: 10.1109/CPEM61406.2024.10646003. [12] WEILL L R. Theory and applications of signal compression in GNSS receivers[C]. Proceedings of the 20th International Technical Meeting of the Satellite Division of The Institute of Navigation, Fort Worth, USA, 2007: 708–719. [13] WANG Xiang, GAO Yang, CUI Xiaowei, et al. A signal quality monitoring algorithm based on chip domain observables for BDS B1C signal[C]. International Technical Meeting of the Institute of Navigation, San Diego, USA, 2021: 149–161. doi: 10.33012/2021.17810. (查阅网上资料,未找到本条文献出版地信息,请确认). [14] WANG Xiang, CUI Xiaowei, LIU Gang, et al. Signal quality monitoring based on chip domain observables: Theory, design, and implementation[J]. NAVIGATION: Journal of the Institute of Navigation, 2022, 69(4): navi. 543. doi: 10.33012/navi.543. [15] WANG Chuanrui, WANG Xiang, CUI Xiaowei, et al. Efficient chip-shape correlator implementation on a GPU-based real-time GNSS SDR receiver[J]. GPS Solutions, 2022, 26(4): 143. doi: 10.1007/s10291-022-01332-1. [16] JIANG Zhiheng, ZHANG V, HUANG Y J, et al. Use of software-defined radio receivers in two-way satellite time and frequency transfers for UTC computation[J]. Metrologia, 2018, 55(5): 685–698. doi: 10.1088/1681-7575/aacbe6. [17] 王威雄, 董绍武, 武文俊, 等. 卫星双向时间传递链路校准及其不确定度分析[J]. 仪器仪表学报, 2018, 39(12): 64–72. doi: 10.19650/j.cnki.cjsi.J1803688.WANG Weixiong, DONG Shaowu, WU Wenjun, et al. Link calibration of two-way satellite time and frequency transfer and its uncertainty analysis[J]. Chinese Journal of Scientific Instrument, 2018, 39(12): 64–72. doi: 10.19650/j.cnki.cjsi.J1803688. [18] HUANG Y J, FUJIEDA M, TAKIGUCHI H, et al. Stability improvement of an operational two-way satellite time and frequency transfer system[J]. Metrologia, 2016, 53(2): 881–890. doi: 10.1088/0026-1394/53/2/881. [19] QI Yunhan, YAO Zheng, and LU Mingquan. General design methodology of code multi-correlator discriminator for GNSS multi-path mitigation[J]. IET Radar, Sonar & Navigation, 2021, 15(9): 969–984. doi: 10.1049/rsn2.12088. [20] SIEBERT C, KONOVALTSEV A, and MEURER M. Development and validation of a multipath mitigation technique using multi-correlator structures[J]. NAVIGATION: Journal of the Institute of Navigation, 2023, 70(4): navi. 609. doi: 10.33012/navi.609. [21] GAO Zhe, WANG Weixiong, WU Wenjun, et al. Experiment of Asia-Europe TWSTFT Link using new satellite express-80[C]. 2024 IEEE Ultrasonics, Ferroelectrics, and Frequency Control Joint Symposium, Taipei, China, 2024: 1–4. doi: 10.1109/UFFC-JS60046.2024.10793506. -
下载:
下载: