高级搜索

留言板

尊敬的读者、作者、审稿人, 关于本刊的投稿、审稿、编辑和出版的任何问题, 您可以本页添加留言。我们将尽快给您答复。谢谢您的支持!

姓名
邮箱
手机号码
标题
留言内容
验证码

无人机辅助物理层安全下的保密性能优化

高远 谭蓉俊 邓志祥

高远, 谭蓉俊, 邓志祥. 无人机辅助物理层安全下的保密性能优化[J]. 电子与信息学报, 2022, 44(8): 2730-2738. doi: 10.11999/JEIT210600
引用本文: 高远, 谭蓉俊, 邓志祥. 无人机辅助物理层安全下的保密性能优化[J]. 电子与信息学报, 2022, 44(8): 2730-2738. doi: 10.11999/JEIT210600
GAO Yuan, TAN Rongjun, DENG Zhixiang. Secrecy Performance Optimization of Unmanned Aerial Vehicle -aided Physical Layer Security[J]. Journal of Electronics & Information Technology, 2022, 44(8): 2730-2738. doi: 10.11999/JEIT210600
Citation: GAO Yuan, TAN Rongjun, DENG Zhixiang. Secrecy Performance Optimization of Unmanned Aerial Vehicle -aided Physical Layer Security[J]. Journal of Electronics & Information Technology, 2022, 44(8): 2730-2738. doi: 10.11999/JEIT210600

无人机辅助物理层安全下的保密性能优化

doi: 10.11999/JEIT210600 cstr: 32379.14.JEIT210600
基金项目: 国家重点研发计划(2018YFC0407101);江苏省高校优秀中青年教师和校长境外研修计划(2019)
详细信息
    作者简介:

    高远:女,1975年生,副教授,研究方向为无线通信系统安全与能效

    谭蓉俊:女,1995年生,硕士生,研究方向为物理层安全

    邓志祥:男,1980年生,副教授,研究方向为物理层安全

    通讯作者:

    邓志祥 dengzhixiang@hhuc.edu.cn

  • 中图分类号: TN918

Secrecy Performance Optimization of Unmanned Aerial Vehicle -aided Physical Layer Security

Funds: The National Key Research and Development Project (2018YFC0407101), Jiangsu Overseas Visiting Scholar Program for University Prominent Young and Mid-aged Teachers and Presidents (2019)
  • 摘要: 信息安全是影响物联网(IoT)应用的关键因素之一,物理层安全是解决物联网信息通信安全问题的有效技术。该文针对物联网中带有主动攻击的全双工窃听者,利用无人机(UAV)辅助发射人工噪声的方法,提升系统物理层安全性能。为了跟踪窃听者位置移动,首先采用贝叶斯测距和最小二乘法迭代估计窃听者位置,然后提出基于Q-learning的无人机轨迹优化算法,以达到在窃听者移动情况下系统保密性能最优。仿真结果表明,该算法能快速收敛,并且无人机能够跟踪窃听者移动来确定自身最佳位置,对窃听信道实施有效干扰,从而保证系统可达安全速率最大。
  • 图  1  系统模型

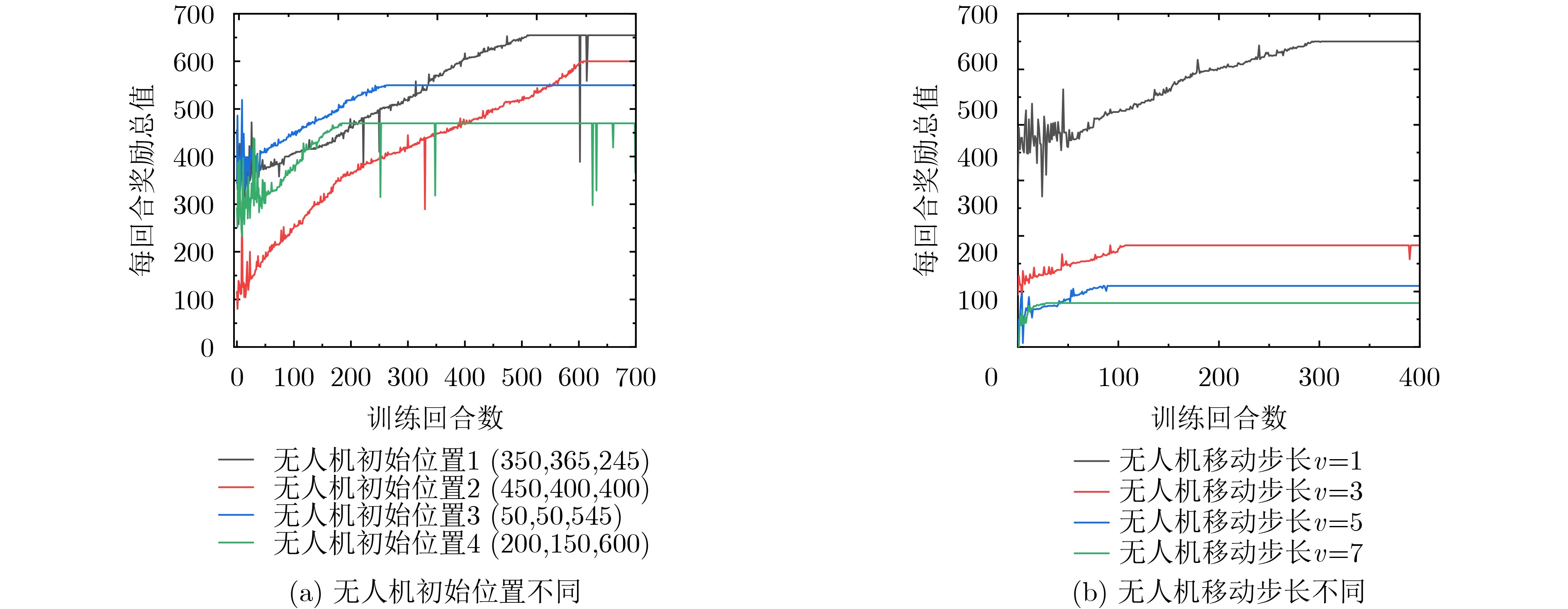
    图  2  回合奖励总值与训练回合数之间关系

    图  3  基于Q-learning的无人机轨迹优化算法和其他算法性能比较

    图  4  Eve静止和移动时无人机轨迹优化结果

    图  5  离线和在线学习在无人机初始能量不同时的性能比较

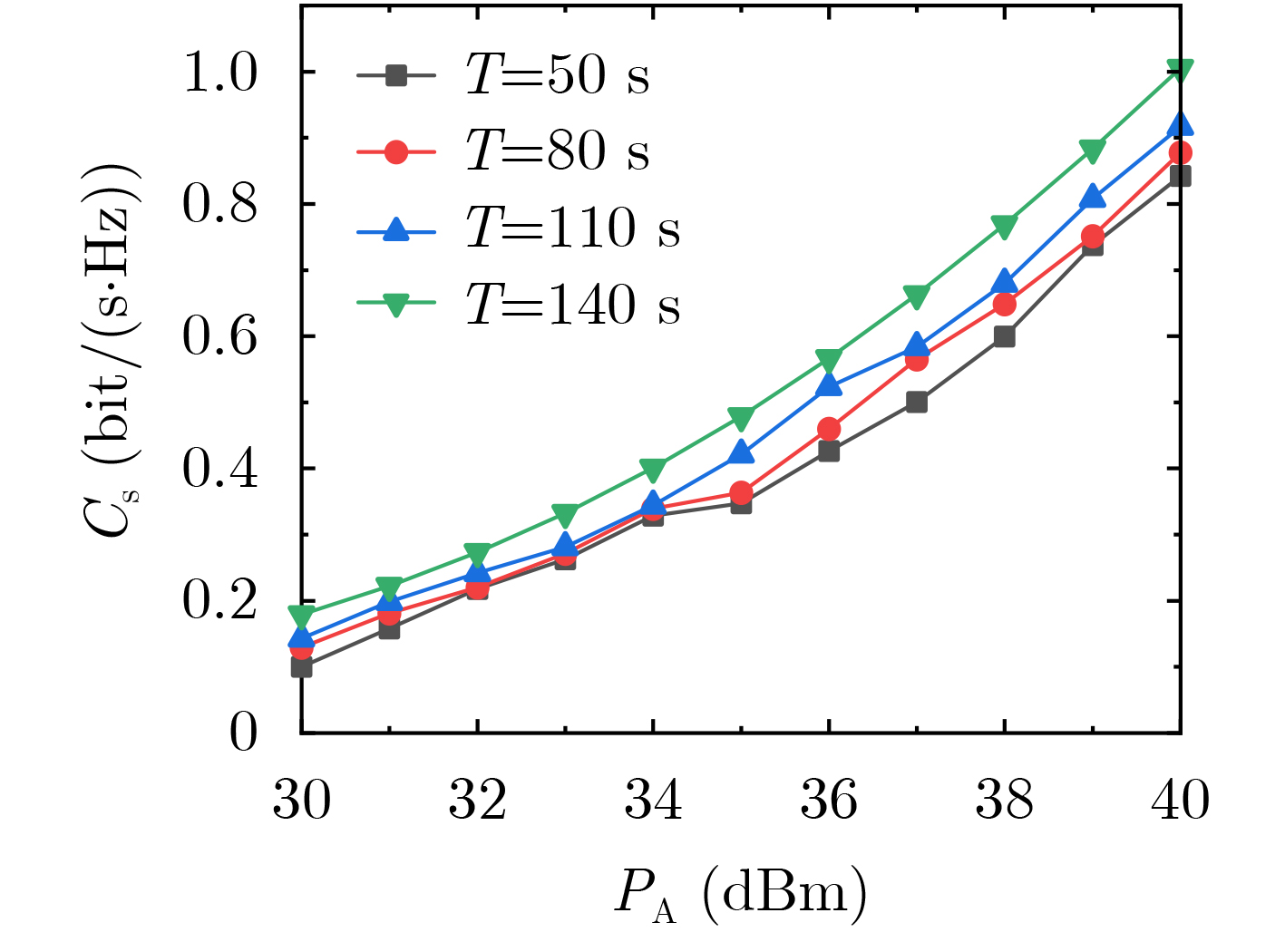
    图  6  Eve位置移动时长对本文所提算法求解的影响

    表  1  基于Q-learning的无人机动态轨迹优化算法

     输入 以Bob为圆心的圆环内,根据随机移动模型产生Eve位置。
     While ${E_{ {\text{J\_remain} } } }(t) \ge {E_{ {\text{J\_min} } } }$ do
       采用贝叶斯测距和最小二乘法迭代估计Eve位置坐标;初始化$Q(s,a)$, $s \in S$,$a \in A$,初始化无人机位置状态${s_t}$。
       重复(每个回合)
         在当前状态${s_t}$下,根据$\varepsilon - {\text{greedy}}$策略从动作空间$A$中选择动作${a_t}$;
         执行动作${a_t}$,获得奖励值${R_t}$,状态${s_t}$转移为下一个状态${s_{t + 1}}$,根据式(17)更新$ Q({s_t},{a_t}) $;
         $ {s_t} \leftarrow {s_{t + 1}} $;
         更新无人机当前能量$ {E_{{\text{J\_remain}}}}(t) $;if $ {E_{{\text{J\_remain}}}}(t) < {E_{{\text{J\_min}}}} $, break;
       until ${s_t}$为终止状态(含边界和超出边界)或 Eve位置移动
       无人机获得当前Eve位置下的最优位置。
     输出 无人机跟踪Eve移动的动态运动轨迹。
     说明:实际中算法程序实时检测无人机空间位置坐标,当发现无人机当前位置等于或超出边界坐标,程序发一个指令给无人机控制系统,
     使控制系统控制飞机飞回到算法给定的初始位置,进而避免无人机在边界之外。
    下载: 导出CSV
  • [1] BHAYO J, HAMEED S, and SHAH S A. An efficient counter-based DDoS attack detection framework leveraging software defined IoT (SD-IoT)[J]. IEEE Access, 2020, 8: 221612–221631. doi: 10.1109/ACCESS.2020.3043082
    [2] WANG Ning, WANG Pu, ALIPOUR-FANID A, et al. Physical-Layer security of 5G wireless networks for IoT: Challenges and opportunities[J]. IEEE Internet of Things Journal, 2019, 6(5): 8169–8181. doi: 10.1109/JIOT.2019.2927379
    [3] 张波, 黄开枝, 林胜斌, 等. MIMO异构网络中一种基于人工噪声的抗主动窃听者的鲁棒安全传输方案[J]. 电子与信息学报, 2020, 42(9): 2186–2193. doi: 10.11999/5EIT190649

    ZHANG Bo, HUANG Kaizhi, LIN Shengbin, et al. A robust secure transmission scheme based on artificial noise for resisting active eavesdropper in MIMO heterogeneous networks[J]. Journal of Electronics &Information Technology, 2020, 42(9): 2186–2193. doi: 10.11999/5EIT190649
    [4] LIU Chenxi, LEE J, and QUEK T Q S. Safeguarding UAV communications against full-duplex active eavesdropper[J]. IEEE Transactions on Wireless Communications, 2019, 18(6): 2919–2931. doi: 10.1109/TWC.2019.2906177
    [5] HUO Yan, TIAN Yuqi, HU Chunqiang, et al. A location prediction-based helper selection scheme for suspicious eavesdroppers[J]. Wireless Communication and Mobile Computing, 2017, 2017: 1832051.
    [6] LIU Chenxi, YANG Nan, MALANEY R, et al. Artificial-Noise-Aided transmission in multi-antenna relay wiretap channels with spatially random eavesdroppers[J]. IEEE Transactions on Wireless Communications, 2016, 15(11): 7444–7456. doi: 10.1109/TWC.2016.2602337
    [7] CAO Kunrui, WANG Buhong, DING Haiyang, et al. Improving physical layer security of uplink NOMA via energy harvesting jammers[J]. IEEE Transactions on Information Forensics and Security, 2021, 16: 786–799. doi: 10.1109/TIFS.2020.3023277
    [8] WANG Huiming, ZHANG Xu, and JIANG Jiacheng. UAV-Involved wireless physical-layer secure communications: overview and research directions[J]. IEEE Wireless Communications, 2019, 26(5): 32–39. doi: 10.1109/MWC.001.1900045
    [9] ZHOU Xiaobo, WU Qingqing, YAN Shihao, et al. UAV-Enabled secure communications: Joint trajectory and transmit power optimization[J]. IEEE Transactions on Vehicular Technology, 2019, 68(4): 4069–4073. doi: 10.1109/TVT.2019.2900157
    [10] LI An, WU Qingqing, and ZHANG Rui. UAV-Enabled cooperative jamming for improving secrecy of ground wiretap channel[J]. IEEE Wireless Communications Letters, 2019, 8(1): 181–184. doi: 10.1109/LWC.2018.2865774
    [11] CUI Jingjing, LIU Yuanwei, and NALLANATHAN A. Multi-Agent reinforcement learning-based resource allocation for UAV networks[J]. IEEE Transactions on Wireless Communications, 2020, 19(2): 729–743. doi: 10.1109/TWC.2019.2935201
    [12] DING Ruijin, GAO Feifei, and SHEN X S. 3D UAV trajectory design and frequency band allocation for energy-efficient and fair communication: A deep reinforcement learning approach[J]. IEEE Transactions on Wireless Communications, 2020, 19(12): 7796–7809. doi: 10.1109/TWC.2020.3016024
    [13] ZHANG Yu, MOU Zhiyu, GAO Feifei, et al. UAV-Enabled secure communications by multi-agent deep reinforcement learning[J]. IEEE Transactions on Vehicular Technology, 2020, 69(10): 11599–11611. doi: 10.1109/TVT.2020.3014788
    [14] CHEN Mingzhe, MOZAFFARI M, SAAD W, et al. Caching in the sky: Proactive deployment of cache-enabled unmanned aerial vehicles for optimized quality-of-experience[J]. IEEE Journal on Selected Areas in Communications, 2017, 35(5): 1046–1061. doi: 10.1109/JSAC.2017.2680898
    [15] TANG Jinchuan, CHEN Gaojie, and COON J P. Secrecy performance analysis of wireless communications in the presence of UAV jammer and randomly located UAV eavesdroppers[J]. IEEE Transactions on Information Forensics and Security, 2019, 14(11): 3026–3041. doi: 10.1109/TIFS.2019.2912074
    [16] LIU Xiao, LIU Yuanwei, and CHEN Yue. Reinforcement learning in multiple-UAV networks: deployment and movement design[J]. IEEE Transactions on Vehicular Technology, 2019, 68(8): 8036–8049. doi: 10.1109/TVT.2019.2922849
    [17] WANG Qian, CHEN Zhi, LI Hang, et al. Joint power and trajectory design for physical-layer secrecy in the UAV-aided mobile relaying system[J]. IEEE Access, 2018, 6: 62849–62855. doi: 10.1109/ACCESS.2018.2877210
    [18] COLUCCIA A and RICCIATO F. RSS-Based localization via Bayesian ranging and iterative least squares positioning[J]. IEEE Communications Letters, 2014, 18(5): 873–876. doi: 10.1109/LCOMM.2014.040214.132781
    [19] LIU Xiao, LIU Yuanwei, CHEN Yue, et al. Trajectory design and power control for multi-UAV assisted wireless networks: A machine learning approach[J]. IEEE Transactions on Vehicular Technology, 2019, 68(8): 7957–7969. doi: 10.1109/TVT.2019.2920284
  • 加载中
图(6) / 表(1)
计量
  • 文章访问数:  1579
  • HTML全文浏览量:  1233
  • PDF下载量:  161
  • 被引次数: 0
出版历程
  • 收稿日期:  2021-06-18
  • 修回日期:  2021-11-14
  • 录用日期:  2021-11-18
  • 网络出版日期:  2021-11-25
  • 刊出日期:  2022-08-17

目录

    /

    返回文章
    返回