高级搜索

留言板

尊敬的读者、作者、审稿人, 关于本刊的投稿、审稿、编辑和出版的任何问题, 您可以本页添加留言。我们将尽快给您答复。谢谢您的支持!

姓名
邮箱
手机号码
标题
留言内容
验证码

基于不完美CSI的D2D通信网络鲁棒能效资源分配算法

徐勇军 谷博文 杨洋 吴翠先 陈前斌 卢光跃

徐勇军, 谷博文, 杨洋, 吴翠先, 陈前斌, 卢光跃. 基于不完美CSI的D2D通信网络鲁棒能效资源分配算法[J]. 电子与信息学报, 2021, 43(8): 2189-2198. doi: 10.11999/JEIT200587
引用本文: 徐勇军, 谷博文, 杨洋, 吴翠先, 陈前斌, 卢光跃. 基于不完美CSI的D2D通信网络鲁棒能效资源分配算法[J]. 电子与信息学报, 2021, 43(8): 2189-2198. doi: 10.11999/JEIT200587
Yongjun XU, Bowen GU, Yang YANG, Cuixian WU, Qianbin CHEN, Guangyue LU. Robust Energy-efficient Resource Allocation Algorithm in D2D Communication Networks with Imperfect CSI[J]. Journal of Electronics & Information Technology, 2021, 43(8): 2189-2198. doi: 10.11999/JEIT200587
Citation: Yongjun XU, Bowen GU, Yang YANG, Cuixian WU, Qianbin CHEN, Guangyue LU. Robust Energy-efficient Resource Allocation Algorithm in D2D Communication Networks with Imperfect CSI[J]. Journal of Electronics & Information Technology, 2021, 43(8): 2189-2198. doi: 10.11999/JEIT200587

基于不完美CSI的D2D通信网络鲁棒能效资源分配算法

doi: 10.11999/JEIT200587 cstr: 32379.14.JEIT200587
基金项目: 国家自然科学基金(61601071),重庆市自然科学基金(cstc2019jcyj-xfkxX0002),陕西省信息通信网络及安全重点实验室开放课题(ICNS201904),重庆市研究生科研创新项目(CYS20251, CYS20253)
详细信息
    作者简介:

    徐勇军:男,1986年生,副教授,硕士生导师,研究方向为D2D通信、异构无线网络资源分配、鲁棒资源分配

    谷博文:男,1996年生,硕士生,研究方向为鲁棒资源分配、D2D通信网络资源分配

    杨洋:男,1994年生,硕士生,研究方向为认知无线电通信、鲁棒资源分配

    吴翠先:女,1965年生,正高级工程师,硕士生导师,研究方向为通信网新技术、信息化行业关键技术

    陈前斌:男,1967年生,教授,博士生导师,研究方向为无线通信、多媒体信息传输与处理

    卢光跃:男,1971年生,教授,博士生导师,研究方向为移动通信信号处理

    通讯作者:

    杨洋 1056395090@qq.com

  • 中图分类号: TN92

Robust Energy-efficient Resource Allocation Algorithm in D2D Communication Networks with Imperfect CSI

Funds: The National Natural Science Foundation of China (61601071), The Natural Science Foundation of Chongqing (cstc2019jcyj-xfkxX0002), The Open Funding of Shaanxi Key Laboratory of Information Communication Network and Security (ICNS201904), The Graduate Scientific Research Innovation Project of Chongqing (CYS20251, CYS20253)
  • 摘要: 针对设备到设备(D2D)直连通信网络传统最优资源分配算法在随机信道时延、信道估计误差影响下鲁棒性弱的问题,该文在考虑参数不确定性影响的条件下,提出D2D用户总能效最大的鲁棒资源分配算法。考虑干扰功率门限、用户最小速率需求、最大传输功率和子信道分配约束,建立了下垫式频谱共享模式下多用户D2D网络资源分配模型。基于有界信道不确定性模型,利用最坏准则方法将原非凸鲁棒资源分配问题转换为确定性的凸优化问题。然后利用拉格朗日对偶理论求得资源分配的解析解。仿真结果表明所提出的算法具有很好的鲁棒性。
  • 图  1  多用户D2D通信网络

    图  2  D2D用户传输功率收敛性能

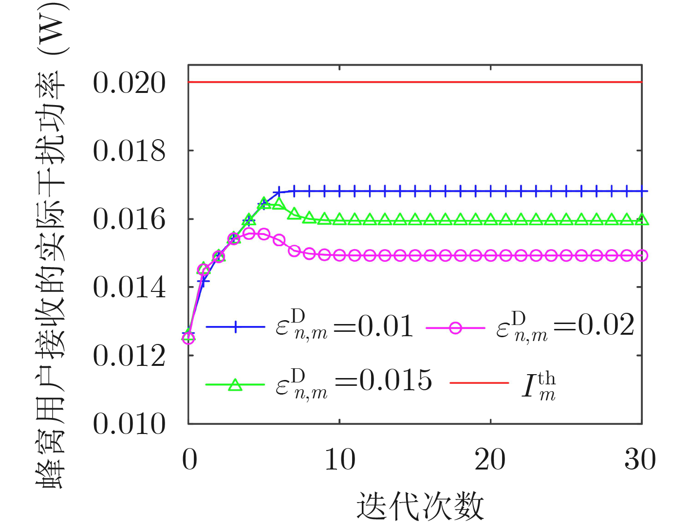
    图  3  不同信道估计误差下,蜂窝用户接收的实际干扰功率

    图  4  D2D用户总速率与D2D用户数量的关系

    图  5  D2D用户总能效与信道不确定性的关系

    图  6  D2D用户总速率与最大传输功率的关系

    图  7  D2D用户总能效与最大传输功率的关系

    图  8  D2D用户最小速率与信道不确定性上界$\Delta {h_{n,m}}$的关系

    图  9  蜂窝用户干扰功率与信道不确定性上界$\Delta g_{n,m}^{\rm{D}}$的关系

     算法1 基于次梯度的鲁棒资源分配算法
     1.  初始化系统参数$M$, $N$, ${P_{\rm{c}}}$, $r_n^{\min }$, $I_m^{{\rm{th}}}$, $p_{n,m}^{\max }$, ${\delta _{n,m}}$, $\upsilon _{n,m}^{\rm{C}}$, $\varepsilon _{n,m}^{\rm{D}}$和$\sigma _{\rm{D}}^2$;
     2.  初始化外层最大迭代次数${L_{\max }}$和收敛精度${\psi _O}$,初始化能效${\theta ^0}$和传输功率$p_{n,m}^0$,外层迭代次数置零:$l \leftarrow 0$;
     3.  while $\quad \Big|\displaystyle\sum\nolimits_{n = 1}^N {\displaystyle\sum\nolimits_{m = 1}^M {\hat r_{n,m}^{ {\rm{D} },l} } } \Big/\left(\displaystyle\sum\nolimits_{n = 1}^N {\displaystyle\sum\nolimits_{m = 1}^M { {\alpha _{n,m} }p_{n,m}^l} } + {P_{\rm{c} } }\right)$$ - {\theta ^{l - 1} }| \le {\psi _O} $ or
    $l \le {L_{\max } }$, do
     4.  初始化内层最大迭代次数${T_{\max }}$和内层收敛精度${\psi _I}$,内层迭代次数置零:$t \leftarrow 0$,初始化拉格朗日乘子$\varpi _m^0$, $\varphi _{n,m}^0$, $\beta _n^0$和$\lambda _m^0$;初始化步长$d_{\rm{1}}^0$, $d_2^0$, $d_3^0$和$d_4^0$;
     5.  while $\left| {{f^{t + 1}} - {f^t}} \right| > {\psi _I}(f = \varpi _m^{},\varphi _{n,m}^{},\beta _n^{},\lambda _m^{})$ or
    $t \le {T_{\max } }$, do
     6.   for $n = 1:1:N$
     7.    for $m = 1:1:M$
     8.     根据式(24)计算最优传输功率${p_{n,m}}$;
     9.     根据式(26)和式(27)更新子载波分配因子${\alpha _{n,m}}$;
     10.     根据式(28)-式(31)更新拉格朗日乘子$\varphi _{n,m}^t$, $\varpi _m^t$, $\beta _n^t$和$\lambda _m^t$;
     11.    end for
     12.   end for
     13.   更新内层迭代次数$t \leftarrow t + 1$;
     14.  end while
     15.  更新外层迭代次数$l \!\leftarrow\! l \!+\! 1$和${\theta ^l} \!=\!\displaystyle\sum\nolimits_{n = 1}^N {\displaystyle\sum\nolimits_{m = 1}^M {\hat r_{n,m}^{ {\rm{D} },l - 1} } } \Big/ $$ \left(\displaystyle\sum\nolimits_{n = 1}^N {\displaystyle\sum\nolimits_{m = 1}^M { {\alpha _{n,m} }p_{n,m}^{l - 1} } } + {P_{\rm{c} } }\right)$;
     16. end while
     17. output $p_{n,m}^*$, $\alpha _{n,m}^*$和${\theta ^*}$.
    下载: 导出CSV
  • [1] WAQAS M, NIU Yong, LI Yong, et al. A comprehensive survey on mobility-aware D2D communications: Principles, practice and challenges[J]. IEEE Communications Surveys & Tutorials, 2020, 22(3): 1863–1886. doi: 10.1109/COMST.2019.2923708
    [2] AHMED M, LI Yong, WAQAS M, et al. A Survey on socially aware device-to-device communications[J]. IEEE Communications Surveys & Tutorials, 2018, 20(3): 2169–2197. doi: 10.1109/COMST.2018.2820069
    [3] LIU Xiaonan, LI Zan, ZHAO Nan, et al. Transceiver design and multihop D2D for UAV IoT coverage in disasters[J]. IEEE Internet of Things Journal, 2019, 6(2): 1803–1815. doi: 10.1109/JIOT.2018.2877504
    [4] 钱志鸿, 王雪. 面向5G通信网的D2D技术综述[J]. 通信学报, 2016, 37(7): 1–14. doi: 10.11959/j.issn.1000-436x.2016129

    QIAN Zhihong and WANG Xue. Reviews of D2D technology for 5G communication networks[J]. Journal on Communications, 2016, 37(7): 1–14. doi: 10.11959/j.issn.1000-436x.2016129
    [5] LAI Weikuang, WANG Youchiun, LIN H C, et al. Efficient resource allocation and power control for LTE-A D2D communication with pure D2D model[J]. IEEE Transactions on Vehicular Technology, 2020, 69(3): 3202–3216. doi: 10.1109/TVT.2020.2964286
    [6] AMJAD M, REHMANI M H, and MAO Shiwen. Wireless multimedia cognitive radio networks: A comprehensive survey[J]. IEEE Communications Surveys & Tutorials, 2018, 20(2): 1056–1103. doi: 10.1109/COMST.2018.2794358
    [7] AWIN F, ABDEL-RAHEEM E, and TEPE K. Blind spectrum sensing approaches for interweaved cognitive radio system: A tutorial and short course[J]. IEEE Communications Surveys & Tutorials, 2019, 21(1): 238–259. doi: 10.1109/COMST.2018.2863681
    [8] 钱志鸿, 蒙武杰, 王雪, 等. 全负载蜂窝网络下多复用D2D通信功率分配算法研究[J]. 电子与信息学报, 2020, 42(12): 2939–2945. doi: 10.11999/JEIT190974

    QIAN Zhihong, MENG Wujie, WANG Xue, et al. Research on power allocation algorithm of multi-to-one multiplexing D2D communication underlaying full load cellular networks[J]. Journal of Electronics &Information Technology, 2020, 42(12): 2939–2945. doi: 10.11999/JEIT190974
    [9] SULTANA A, ZHAO Lian, and FERNANDO X. Efficient resource allocation in device-to-device communication using cognitive radio technology[J]. IEEE Transactions on Vehicular Technology, 2017, 66(11): 10024–10034. doi: 10.1109/TVT.2017.2743058
    [10] WAQAS M, ASLAM S, ALI Z, et al. Resource optimization for cognitive radio based device to device communication under an energy harvesting scenario[J]. IEEE Access, 2020, 8: 24862–24872. doi: 10.1109/ACCESS.2020.2970464
    [11] WU Xiaolu, CHEN Yueyun, YUAN Xiaopan, et al. Joint resource allocation and power control for cellular and device-to-device multicast based on cognitive radio[J]. IET Communications, 2014, 8(16): 2805–2813. doi: 10.1049/iet-com.2013.1041
    [12] CHENG Peng, DENG Lei, YU Hui, et al. Resource allocation for cognitive networks with D2D communication: An evolutionary approach[C]. 2012 IEEE Wireless Communications and Networking Conference (WCNC), Paris, France, 2012: 2671–2676.
    [13] 谢显中, 田瑜, 姚鑫凌, 等. 认知网络中D2D全双工通信的速率最大化功率分配算法[J]. 电子与信息学报, 2017, 39(4): 1002–1006. doi: 10.11999/JEIT160593

    XIE Xianzhong, TIAN Yu, YAO Xinling, et al. Power allocation algorithm of maximizing rate for D2D full-duplex communication in cognitive networks[J]. Journal of Electronics &Information Technology, 2017, 39(4): 1002–1006. doi: 10.11999/JEIT160593
    [14] ZAPPONE A, MATTHIESEN B, and JORSWIECK E A. Energy efficiency in MIMO underlay and overlay device-to-device communications and cognitive radio systems[J]. IEEE Transactions on Signal Processing, 2017, 65(4): 1026–1041. doi: 10.1109/TSP.2016.2626249
    [15] ZHOU Zhenyu, MA Guifang, XU Chen, et al. Energy-efficient resource allocation in cognitive D2D communications: A game-theoretical and matching approach[C]. 2016 IEEE International Conference on Communications (ICC), Kuala Lumpur, Malaysia, 2016: 814–819.
    [16] XU Yongjun, ZHAO Xiaohui, and LIANG Yingchang. Robust power control and beamforming in cognitive radio networks: A survey[J]. IEEE Communications Surveys & Tutorials, 2015, 17(4): 1834–1857. doi: 10.1109/COMST.2015.2425040
    [17] BEN-TAL A and NEMIROVSKI A. Robust convex optimization[J]. Mathematics of Operations Research, 1998, 23(4): 769–805. doi: 10.1287/moor.23.4.769
    [18] PARK M J and KWON O M. Stability and stabilization of discrete-time T-S fuzzy systems with time-varying delay via Cauchy-Schwartz-based summation inequality[J]. IEEE Transactions on Fuzzy Systems, 2017, 25(1): 128–140. doi: 10.1109/TFUZZ.2016.2551290
    [19] FANG Fang, CHENG Julian, and DING Zhiguo. Joint energy efficient subchannel and power optimization for a downlink NOMA heterogeneous network[J]. IEEE Transactions on Vehicular Technology, 2019, 68(2): 1351–1364. doi: 10.1109/TVT.2018.2881314
    [20] DINKELBACH W. On nonlinear fractional programming[J]. Management Science, 1967, 13(7): 492–498. doi: 10.1287/mnsc.13.7.492
    [21] BOYD S and VANDENBERGHE L. Convex Optimization[M]. Cambridge: Cambridge University Press, 2004.
    [22] ZHANG Haijun, JIANG Chunxiao, BEAULIEU N C, et al. Resource allocation in spectrum-sharing OFDMA femtocells with heterogeneous services[J]. IEEE Transactions on Communications, 2014, 62(7): 2366–2377. doi: 10.1109/TCOMM.2014.2328574
    [23] BAI Zhiquan, LI Mengqi, DONG Yanan, et al. Joint fair resource allocation of D2D communication underlaying downlink cellular system with imperfect CSI[J]. IEEE Access, 2018, 6: 63131–63142. doi: 10.1109/ACCESS.2018.2873364
    [24] HU Jinming, HENG Wei, LI Xiang, et al. Energy-efficient resource reuse scheme for D2D communications underlaying cellular networks[J]. IEEE Communications Letters, 2017, 21(9): 2097–2100. doi: 10.1109/LCOMM.2017.2711490
  • 加载中
图(9) / 表(1)
计量
  • 文章访问数:  1639
  • HTML全文浏览量:  736
  • PDF下载量:  115
  • 被引次数: 0
出版历程
  • 收稿日期:  2020-07-16
  • 修回日期:  2021-03-11
  • 网络出版日期:  2021-04-12
  • 刊出日期:  2021-08-10

目录

    /

    返回文章
    返回