Photosensing model and circuit Design of rod cells Based on memristors
-
摘要: 人类视觉系统通过多层神经元相互配合,实现了具备自适应性、灵敏度高、响应速度快的光感知功能。本文通过研究人类视觉系统中感光细胞的工作原理,提出了一种基于忆阻器的视杆细胞光感电路,并应用于脉冲相机。首先,通过总结视杆细胞感光过程中离子变化机制提出了视杆细胞数学模型。其次,提出两种忆阻器模型以模拟感光细胞中钠离子和钙离子通道的特性。之后,构建了视杆细胞光感电路,实现光电转换,电路具备自适应性,同时具有速度高、功耗低、动态范围广等优势。最后将视杆细胞光感电路应用于脉冲相机,电路仿真结果表明,与采用简化神经元光感电路和传统CMOS方案的脉冲相机相比,基于视杆细胞光感电路的脉冲相机转换速度提升了20%和150%,系统功耗相比于传统CMOS电路降低了30%。Abstract:
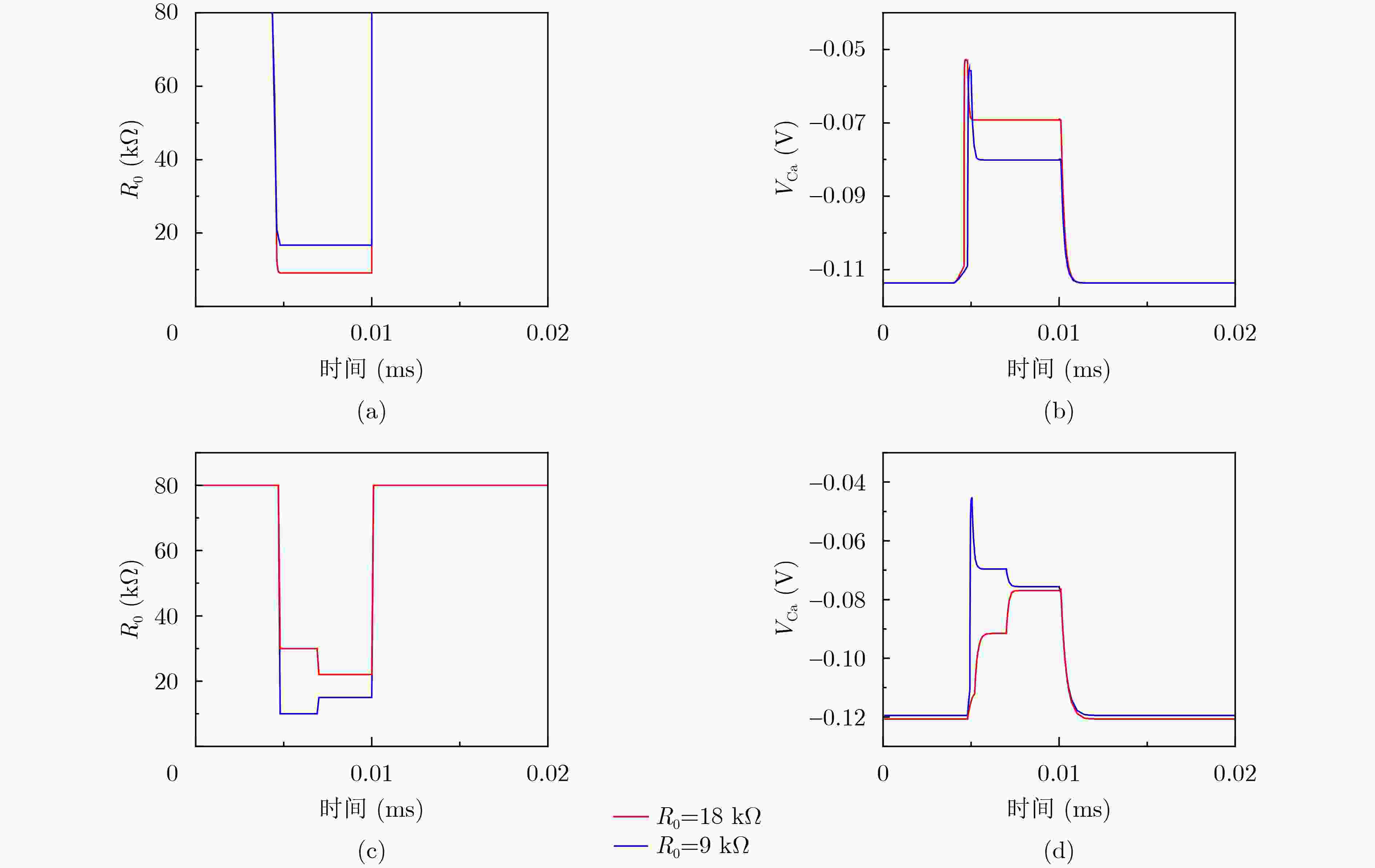
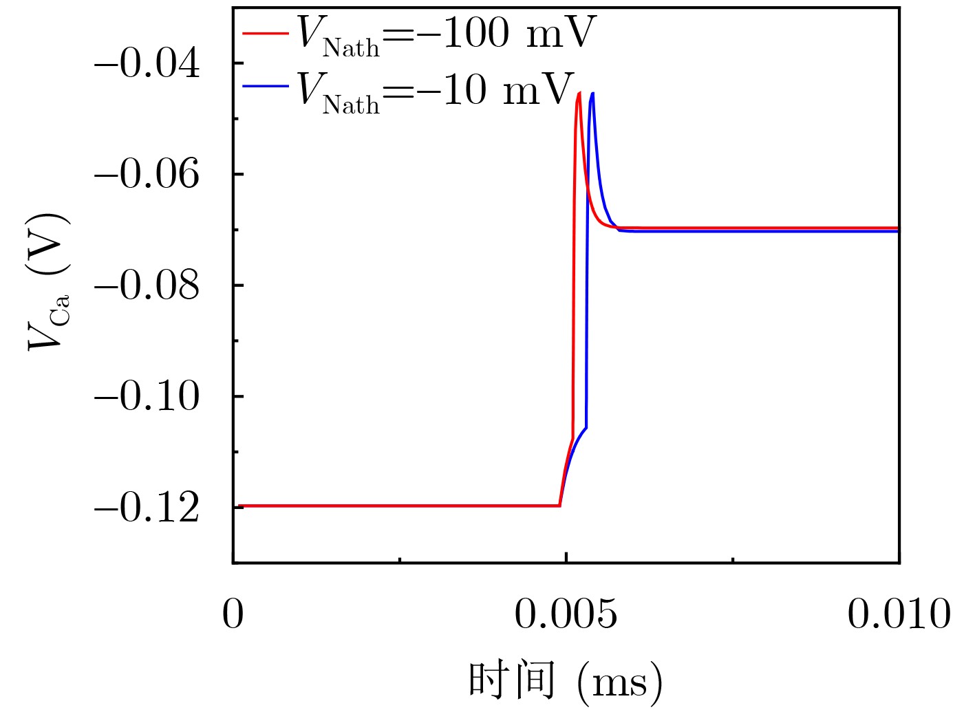
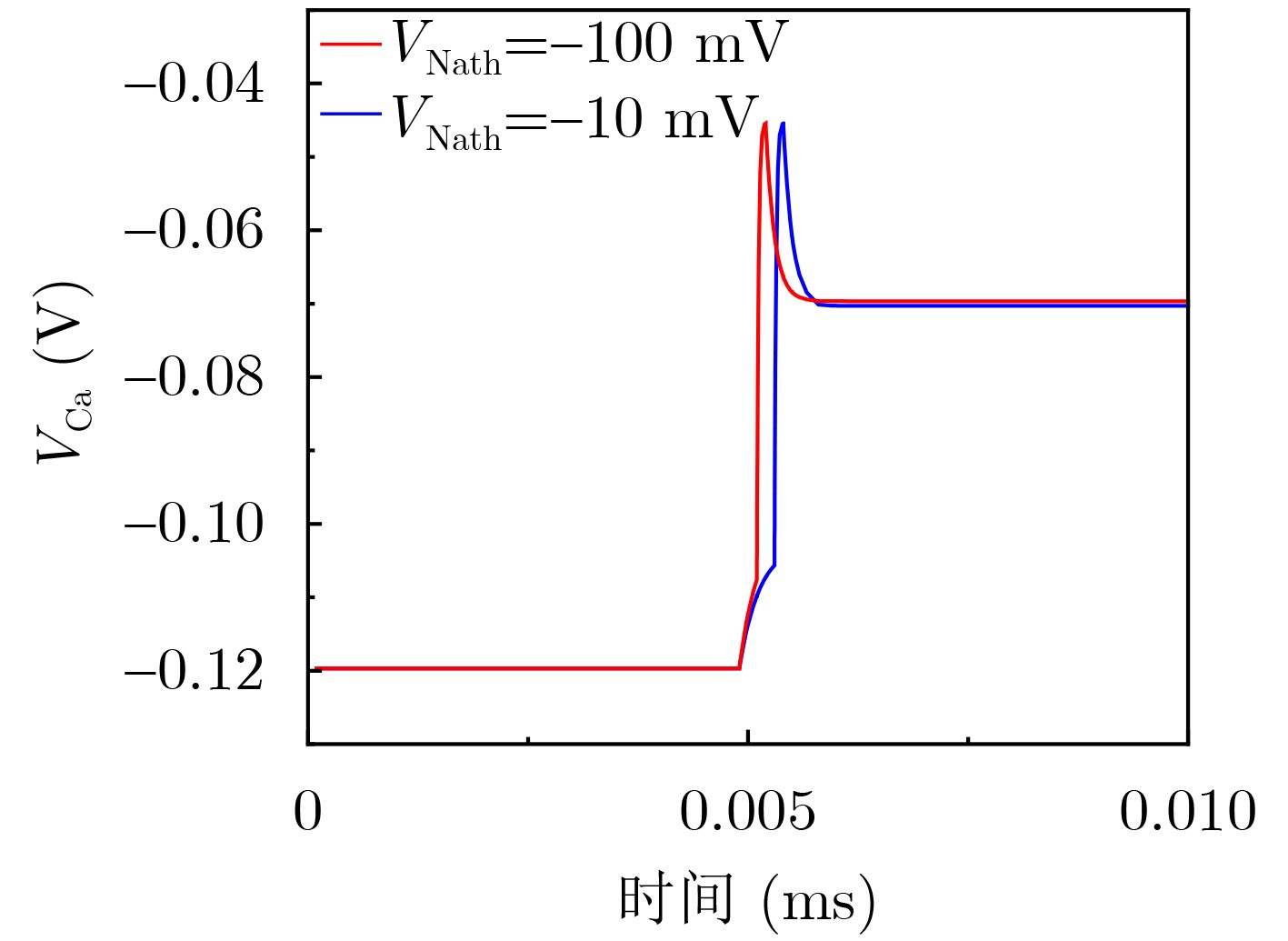
Objective Visual perception plays an important role in fields such as artificial intelligence, robotics and the Internet of Things. Although the existing visual perception devices have made remarkable progress, due to the widespread adoption of traditional CMOS circuit structures, they still face problems such as slow sensing speed, complex structure and high power consumption. In contrast, the biological visual perception system demonstrates advantages such as high-speed response, low power consumption and high stability. Therefore, constructing optical perception circuits based on the biological visual system has become a hot research direction in current visual perception studies. In the existing research, the optical perception circuit constructed based on the biological vision system mainly adopts the LIF neuron model. This scheme realizes the conversion of light intensity signals to spike signals at a faster speed and lower cost. However, the LIF model can only achieve the basic signal conversion function and is unable to fully simulate the working mechanism and computational characteristics of biological visual neurons. In practical applications, it has the drawbacks of poor imaging quality, slow response speed and lack of adaptive ability. In response to the above problems, this paper studies the structure and working mechanism of human visual perception cells. Based on this, the corresponding light perception circuit is designed, and the spiking camera design schemes are proposed, achieving high-speed, low-power consumption and high-stability imaging effects. Methods The biological vision system has the advantages of fast light sensing speed, low power consumption, strong stability and strong adaptive ability, which is of great reference significance for the creation of bionic light sensing circuits. This paper studies the biological mechanism of photoreceptor cells in the human visual system from the perspective of ion flow and summarizes the mathematical model of rod cell photosensitivity by imitating the creation method of the HH model. Subsequently, a memristor model was designed based on the closed state of ion channels in rod cells. The photosensing circuit of rod cells was designed using the proposed memristor model and the mathematical model of photoreceptor cells. To verify the effectiveness, high performance and bionic effect of the circuit, its adaptability, conversion speed, stability and dynamic range were simulated and analyzed. Meanwhile, Compare it with the light sensing circuit based on the LIF model. To further illustrate the practicability of the rod cell photosensing circuit, it is applied to the spiking camera, and the adaptability, speed, power consumption, error and dynamic range of the spiking camera are analyzed. Meanwhile, a performance comparison is made with the spiking camera based on the simplified neuron photosensing circuit. Results and Discussions Firstly, based on the working principle of photoreceptor cells in the human visual system, this paper proposes a photoreceptor cell model and presents sodium ion memristors and calcium ion memristors to simulate the sodium ion channels and calcium ion channels in photoreceptor cells, among which the sodium ion memristor is a trivalued memristor. Secondly, based on the proposed memristor model, a photosensing circuit for rod cells was designed. Under strong light conditions, this circuit can adapt to the light intensity through the resistance value transformation of the sodium ion memristor, weaken the sensitivity, reduce the influence of extreme light on normal light, and has the advantages of fast conversion speed and wide dynamic range. Finally, the rod cell photosensing circuit was combined with the signal conversion circuit proposed in this paper to implement the spiking camera. The simulation results show that, compared with the spiking camera based on the simplified neuron photosensing circuit and CMOS circuit, the imaging speed has increased by 20% and 150% respectively, and it has the advantages of automatic adaptation to extreme illumination, low power consumption, high accuracy and high stability. Conclusions Inspired by the working mechanism of photoreceptor cells in the visual system, this paper proposes a mathematical model of rod cells and a memristor model, and designs a photosensing circuit of rod cells based on memristors. This circuit simulates the hyperpolarization and adaptive processes in the photosensing process of the rod cell photosensing circuit. Through the charge and discharge characteristics of the capacitor and the resistance conversion characteristics of the memristor, the optical signal is converted into a voltage signal whose amplitude varies with the light intensity. The stronger the light, the higher the amplitude of the voltage signal. Moreover, it realizes the automatic adjustment of the amplitude of the output voltage under high light intensity. So as to reduce the perception of the surrounding environment by extreme light intensity. Compared with the simplified neuronal photosensing circuit, the photosensing circuit of rod cells proposed in this paper has a faster conversion speed, and the conversion speed can reach. It has a wide dynamic range and can receive light between 50 and 5000 lx. It is self-adaptive and has stronger stability. Finally, an intelligent optical sensor array based on the photosensing circuit of rod cells was constructed, and the design of the spiking camera was realized by combining the conversion circuit and the time window function. It has been verified that the imaging results of the spiking camera are clearer under strong background lighting conditions. Through the imaging analysis of stationary and high-speed moving objects, it has been verified that the spiking camera can be used for high-speed imaging. Compared with the spiking camera based on the simplified neuron light-sensing circuit and CMOS circuit, the imaging speed has increased by 20% and 150% respectively. The simulation results show that the spiking camera based on the photosensing circuit of rod cells can achieve imaging with high speed, low power consumption, small error and strong anti-interference ability. -
Key words:
- Light sensing circuit /
- Biological vision /
- Memristor /
- Spiking camera
-
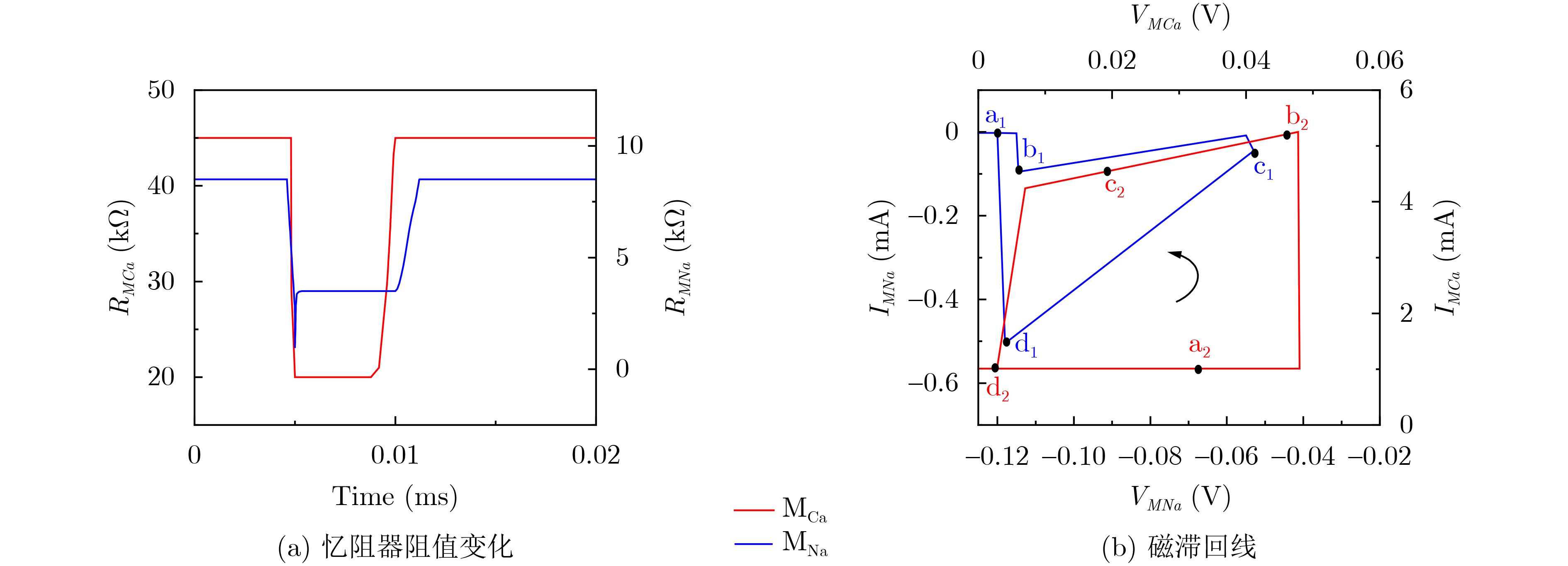
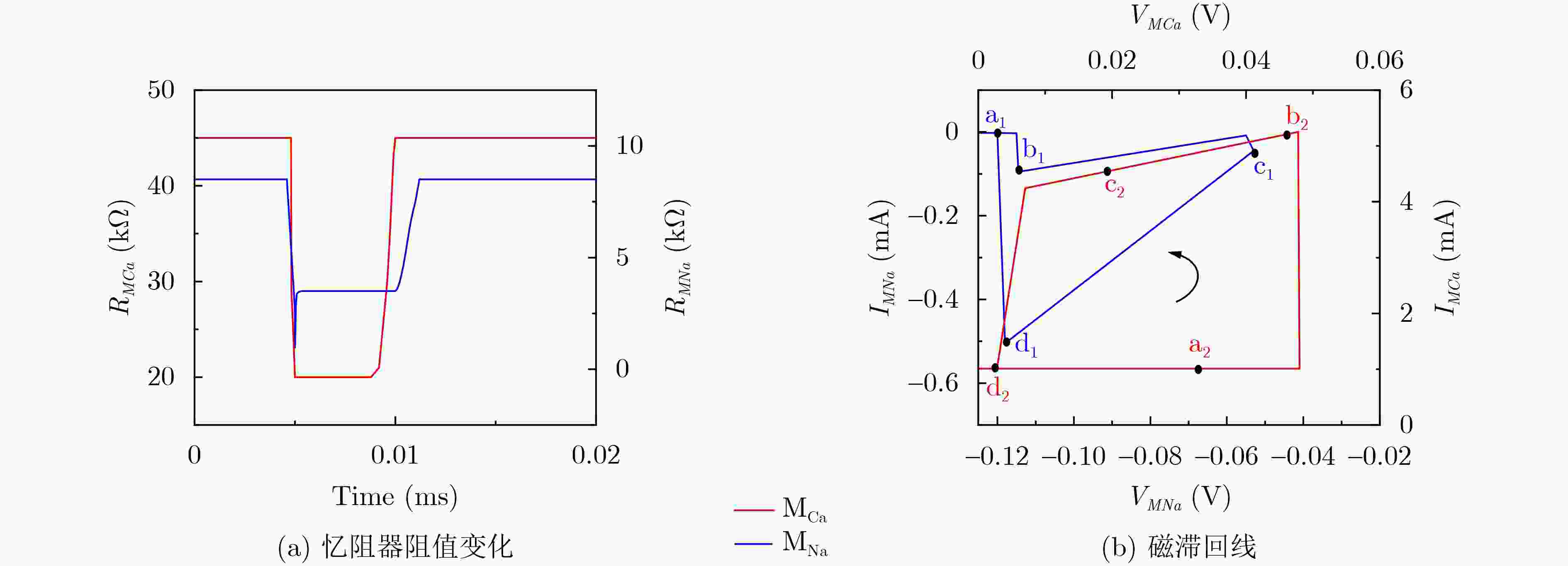
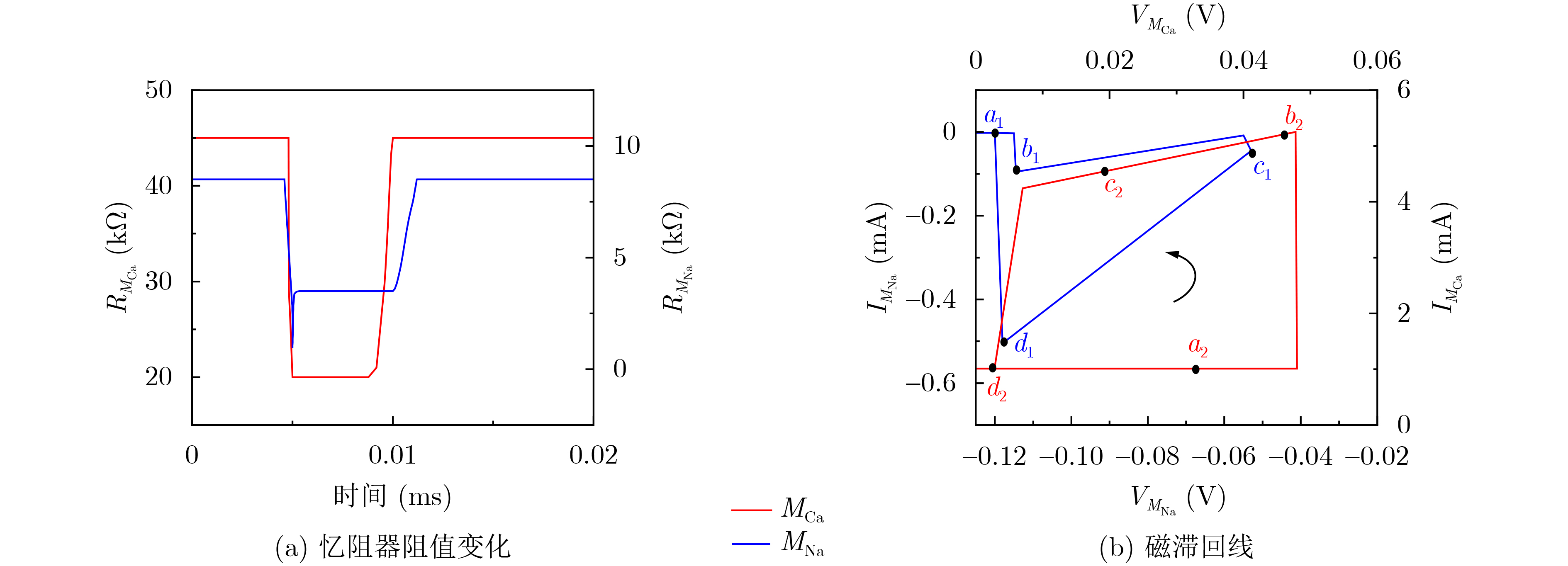
表 1 离子忆阻器参数设置
离子通道 $ {R}_{off} $ $ {R}_{on} $ $ {V}_{th} $ $ {V}_{h} $ $ {b}_{1} $ $ {b}_{2} $ $ {q}_{1} $ $ {q}_{2} $ Na+ 1MΩ - –110 mV –119.5 mV 15 2 - - Ca2+ 1 MΩ 30 kΩ 50 mV 7 mV 18 –9.8 –0.51 –0.51 -
[1] HE Bin, MIAO Qihang, ZHOU Yanmin, et al. Review of bioinspired vision-tactile fusion perception (VTFP): From humans to humanoids[J]. IEEE Transactions on Medical Robotics and Bionics, 2022, 4(4): 875–888. doi: 10.1109/TMRB.2022.3215749. [2] 宋爱国, 田磊, 倪得晶, 等. 多模态力触觉交互技术及应用[J]. 中国科学: 信息科学, 2017, 47(9): 1183–1197. doi: 10.1360/N112017-00081.SONG Aiguo, TIAN Lei, NI Dejing, et al. Multi-mode haptic interaction technique and its application[J]. Scientia Sinica Informationis, 2017, 47(9): 1183–1197. doi: 10.1360/N112017-00081. [3] 王若萱, 吴建平, 徐辉. 自动驾驶汽车感知系统仿真的研究及应用综述[J]. 系统仿真学报, 2022, 34(12): 2507–2521. doi: 10.16182/j.issn1004731x.joss.22-FZ0921.WANG Ruoxuan, WU Jianping, and XU Hui. Overview of research and application on autonomous vehicle oriented perception system simulation[J]. Journal of System Simulation, 2022, 34(12): 2507–2521. doi: 10.16182/j.issn1004731x.joss.22-FZ0921. [4] HUANG Yongjun, MA Liang, HUANG Zihan, et al. High-precision temperature sensor system with mercury-based electromagnetic resonant unit[J]. IEEE Internet of Things Journal, 2024, 11(8): 14671–14681. doi: 10.1109/JIOT.2023.3343568. [5] 付强, 陈向阳, 郑子亮, 等. 仿生扑翼飞行器的视觉感知系统研究进展[J]. 工程科学学报, 2019, 41(12): 1512–1519. doi: 10.13374/j.issn2095-9389.2019.03.08.001.FU Qiang, CHEN Xiangyang, ZHENG Ziliang, et al. Research progress on visual perception system of bionic flapping-wing aerial vehicles[J]. Chinese Journal of Engineering, 2019, 41(12): 1512–1519. doi: 10.13374/j.issn2095-9389.2019.03.08.001. [6] KABILAN R and MUTHUKUMARAN N. A neuromorphic model for image recognition using SNN[C]. 2021 6th International Conference on Inventive Computation Technologies (ICICT), Coimbatore, India, 2021: 720–725. doi: 10.1109/ICICT50816.2021.9358663. [7] WANG Dashuai, LI Wei, LIU Xiaoguang, et al. UAV environmental perception and autonomous obstacle avoidance: A deep learning and depth camera combined solution[J]. Computers and Electronics in Agriculture, 2020, 175: 105523. doi: 10.1016/j.compag.2020.105523. [8] LIAO Fuyou, ZHOU Feichi, and CHAI Yang. Neuromorphic vision sensors: Principle, progress and perspectives[J]. Journal of Semiconductors, 2021, 42(1): 013105. doi: 10.1088/1674-4926/42/1/013105. [9] THEUWISSEN A J P. Solid-State Imaging with Charge-Coupled Devices[M]. Dordrecht: Springer, 1995. doi: 10.1007/0-306-47119-1. . [10] BIGAS M, CABRUJA E, FOREST J, et al. Review of CMOS image sensors[J]. Microelectronics Journal, 2006, 37(5): 433–451. doi: 10.1016/j.mejo.2005.07.002. [11] 吴南健. 半导体智能视觉系统芯片[J]. 中兴通讯技术, 2020, 26(2): 38–42. doi: 10.12142/ZTETJ.202002006.WU Nanjian. Semiconductor smart vision system chips[J]. ZTE Technology Journal, 2020, 26(2): 38–42. doi: 10.12142/ZTETJ.202002006. [12] SCHNAPF J L and BAYLOR D A. How photoreceptor cells respond to light[J]. Scientific American, 1987, 256(4): 40–47. doi: 10.1038/scientificamerican0487-40. [13] YOUNG R W. The renewal of photoreceptor cell outer segments[J]. Journal of Cell Biology, 1967, 33(1): 61–72. doi: 10.1083/jcb.33.1.61. [14] MEAD C A and MAHOWALD M A. A silicon model of early visual processing[J]. Neural Networks, 1988, 1(1): 91–97. doi: 10.1016/0893-6080(88)90024-X. [15] MEAD C and ISMAIL M. Analog VLSI Implementation of Neural Systems[M]. New York: Springer, 1989. doi: 10.1007/978-1-4613-1639-8. . [16] YANG Chuan, SUN Bai, ZHOU Guangdong, et al. Photoelectric memristor-based machine vision for artificial intelligence applications[J]. ACS Materials Letters, 2023, 5(2): 504–526. doi: 10.1021/acsmaterialslett.2c00911. [17] BRUNEL N and VAN ROSSUM M C W. Lapicque's 1907 paper: From frogs to integrate-and-fire[J]. Biological Cybernetics, 2007, 97(5/6): 337–339. doi: 10.1007/s00422-007-0190-0. [18] ZHU Shirui, XIE Tao, LV Ziyu, et al. Hierarchies in visual pathway: Functions and inspired artificial vision[J]. Advanced Materials, 2024, 36(6): 2301986. doi: 10.1002/adma.202301986. [19] HODGKIN A L and HUXLEY A F. A quantitative description of membrane current and its application to conduction and excitation in nerve[J]. The Journal of Physiology, 1952, 117(4): 500–544. doi: 10.1113/jphysiol.1952.sp004764. [20] HUBBARD R and KROPF A. The action of light on rhodopsin[J]. Proceedings of the National Academy of Sciences of the United States of America, 1958, 44(2): 130–139. doi: 10.1073/pnas.44.2.130. [21] PALCZEWSKI K. G protein–coupled receptor rhodopsin[J]. Annual Review of Biochemistry, 2006, 75(1): 743–767. doi: 10.1146/annurev.biochem.75.103004.142743. [22] CARNEVALE N T and HINES M L. The NEURON Book[M]. Cambridge: Cambridge University Press, 2006. doi: 10.1017/CBO9780511541612. . [23] 黄培元, 宋禹桐, 张宁, 等. 基于光控蛋白质相互作用的光遗传学技术及其应用[J]. 中国激光, 2020, 47(2): 0207010. doi: 10.3788/CJL202047.0207010.HUANG Peiyuan, SONG Yutong, ZHANG Ning, et al. Optogenetics based on light-gated protein-protein interactions and its applications[J]. Chinese Journal of Lasers, 2020, 47(2): 0207010. doi: 10.3788/CJL202047.0207010. [24] HUANG Tiejun, ZHENG Yajing, YU Zhaofei, et al. 1000× faster camera and machine vision with ordinary devices[J]. Engineering, 2023, 25: 110–119. doi: 10.1016/j.eng.2022.01.012. -
下载:
下载: