A one-dimensional 5G millimeter-wave wide-angle Scanning Array Antenna Using AMC Structure
-
摘要: 随着5G毫米波技术的快速发展,对天线的高增益、宽波束覆盖和小尺寸提出了更高要求。该文基于人工磁导体(AMC)结构,设计了一种毫米波频段的具有大角域扫描能力的单极化一维阵列天线。通过利用AMC结构的同相反射特性,天线阵列在提升带宽和增益的同时,实现了显著的宽角扫描能力。天线单元采用单极化设计,通过堆叠式结构优化电流分布,改善了带宽和端口隔离度。阵列以4.6 mm(26 GHz时的0.4波长)间距组阵,加载AMC结构后,阵中天线单元的增益提升至5 dBi,且相邻单元的方形贴片参与辐射,进一步展宽了辐射方向图。仿真结果表明,天线阵列覆盖23.7~28 GHz频段,最大增益达13.8 dBi,在26 GHz时实现了±80°的宽角扫描性能。此外,加工测试验证了设计的可行性,实测结果与仿真吻合良好,隔离度优于$ - $15 dB。该文的创新点在于通过AMC结构优化天线单元的辐射特性,结合独特的阵列设计,实现了宽频带、高增益和宽角扫描的平衡,为5G毫米波终端天线的设计提供了新的思路。Abstract:
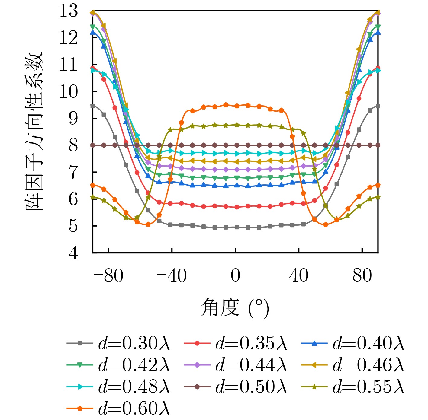
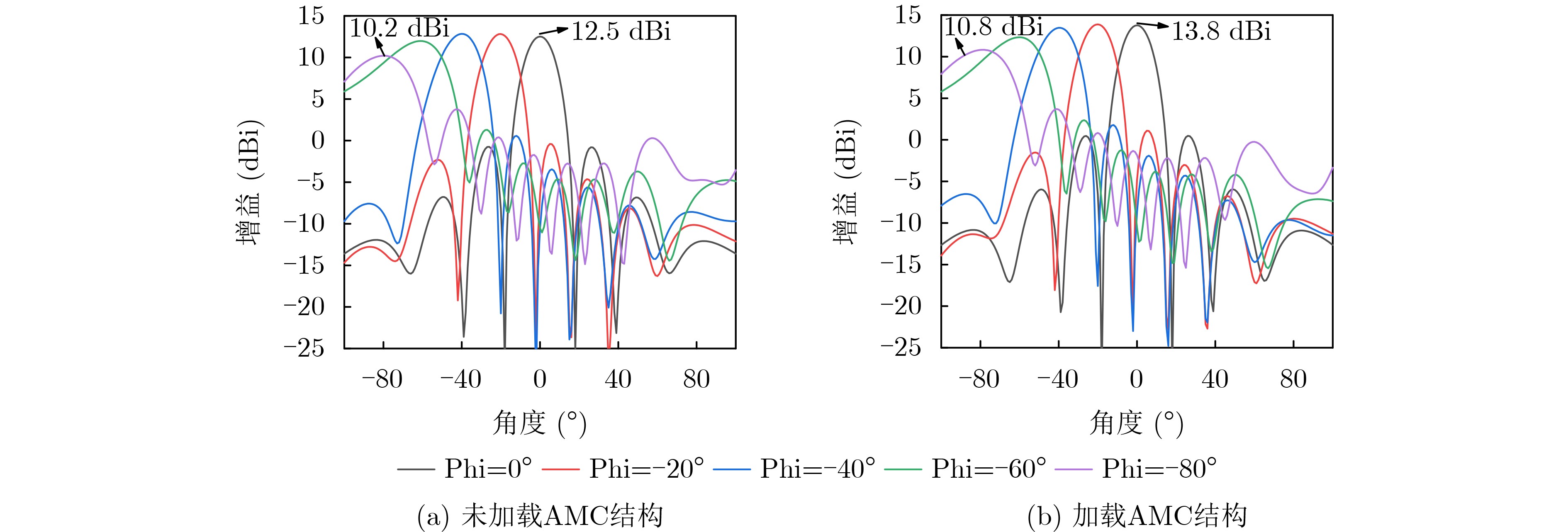
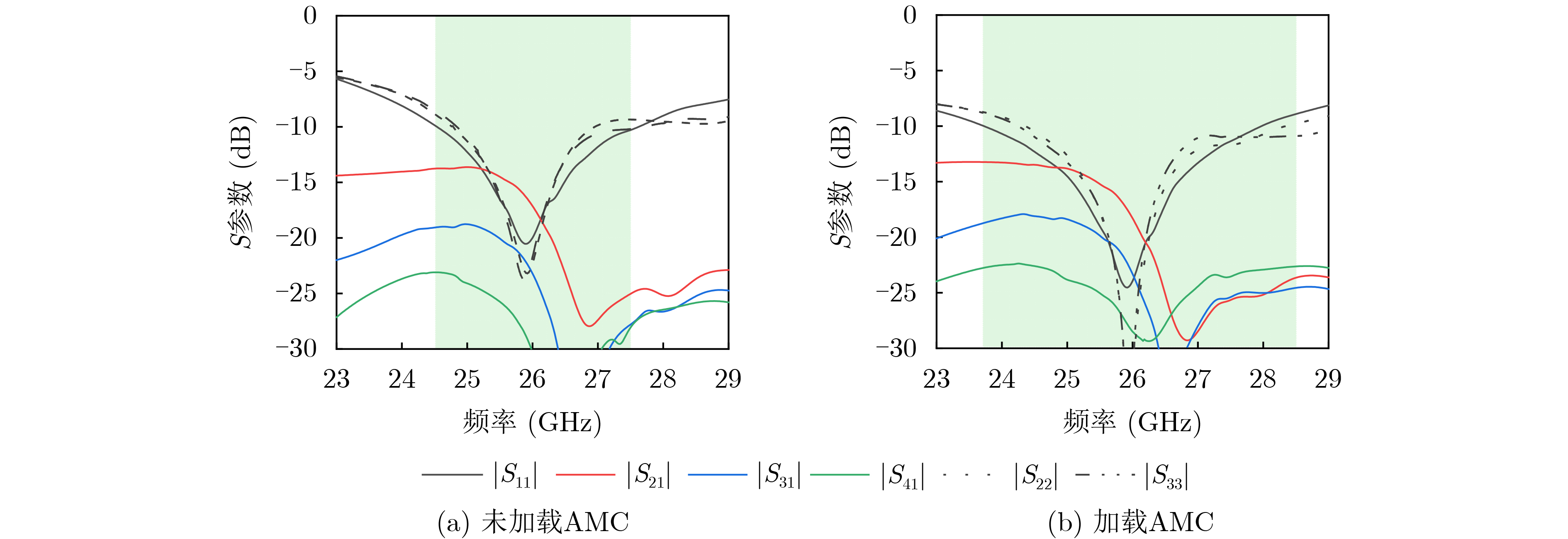
Objective With the rapid advancement of 5G millimeter-wave technology, antennas are required to achieve high gain, wide beam coverage, and compact size, particularly in environments characterized by strong propagation loss and blockage. Conventional millimeter-wave arrays often face difficulties in reconciling wide-angle scanning with high gain and broadband operation due to element coupling and narrow beamwidths. To overcome these challenges, this study proposes a one-dimensional linear array antenna incorporating an Artificial Magnetic Conductor (AMC) structure. The AMC’s in-phase reflection is exploited to improve bandwidth and gain while enabling wide-angle scanning of ±80° at 26 GHz. By adopting a 0.4-wavelength element spacing and stacked topology, the design provides an effective solution for 5G millimeter-wave terminals where spatial constraints and performance trade-offs are critical. The findings highlight the potential of AMC-based arrays to advance antenna technology for future high-speed, low-latency 5G applications by combining broadband operation, high directivity, and broad coverage within compact form factors. Methods This study develops a high-performance single-polarized one-dimensional linear millimeter-wave array antenna through a multi-layered structural design integrated with AMC technology. The design process begins with theoretical analysis of the pattern multiplication principle and array factor characteristics, which identify 0.4-wavelength element spacing as an optimal balance between wide-angle scanning and directivity. A stacked three-layer antenna unit is then constructed, consisting of square patch radiators on the top layer, a cross-shaped coupling feed structure in the middle layer, and an AMC-loaded substrate at the bottom. The AMC provides in-phase reflection in the 21–30 GHz band, enhancing bandwidth and suppressing surface wave coupling. Full-wave simulations (HFSS) are performed to optimize AMC dimensions, feed networks, and array layout, confirming bandwidth of 23.7–28 GHz, peak gain of 13.9 dBi, and scanning capability of ±80°. A prototype is fabricated using printed circuit board technology and evaluated with a vector network analyzer and anechoic chamber measurements. Experimental results agree closely with simulations, demonstrating an operational bandwidth of 23.3–27.7 GHz, isolation better than −15 dB, and scanning coverage up to ±80°. These results indicate that the synergistic interaction between AMC-modulated radiation fields and the array coupling mechanism enables a favorable balance among wide bandwidth, high gain, and wide-angle scanning. Results and Discussions The influence of array factor on directional performance is analyzed, and the maximum array factor is observed when the element spacing is between 0.4λ and 0.46λ ( Fig. 2 ). The in-phase reflection of the AMC structure in the 21–30 GHz range significantly enhances antenna characteristics, broadening the bandwidth by 50% compared with designs without AMC and increasing the gain at 26 GHz by 1.5 dBi (Fig. 10 ,Fig. 13 ). The operational bandwidth of 23.3–27.7 GHz is confirmed by measurements (Fig. 17a ). When the element spacing is optimized to 4.6 mm (0.4λ) and the coupling radiation mechanisms are adjusted, the H-plane half-power beamwidth (HPBW) of the array elements is extended to 180° (Fig. 8 ,Fig. 9 ), with a further gain improvement of 0.6 dBi at the scanning edges (Fig. 11b ). The three-layer stacked structure—comprising the radiation, isolation, and AMC layers—achieves isolation better than –15 dB (Fig. 17a ). Experimental validation demonstrates wide-angle scanning capability up to ±80°, showing close agreement between simulated and measured results (Fig. 11 ,Fig. 17b ). The proposed antenna is therefore established as a compact, high-performance solution for 5G millimeter-wave terminals, offering wide bandwidth, high gain, and broad scanning coverage.Conclusions A one-dimensional linear wide-angle scanning array antenna based on an AMC structure is presented for 5G millimeter-wave applications. Through theoretical analysis, simulation optimization, and experimental validation, balanced improvement in broadband operation, high gain, and wide-angle scanning is achieved. Pattern multiplication theory and array factor analysis are applied to determine 0.4-wavelength element spacing as the optimal compromise between scanning angle and directivity. A stacked three-layer configuration is adopted, and the AMC’s in-phase reflection extends the bandwidth to 23.7–28.5 GHz, representing a 50% increase. Simulation and measurement confirm ±80° scanning at 26 GHz with a peak gain of 13.8 dBi, which is 1.3 dBi higher than that of non-AMC designs. The close consistency between experimental and simulated results verifies the feasibility of the design, providing a compact and high-performance solution for millimeter-wave antennas in mobile communication and vehicular systems. Future research is expected to explore dual-polarization integration and adaptation to complex environments. -
Key words:
- 5G millimeter-wave /
- AMC structure /
- wide-angle scanning /
- high gain /
- array antenna
-
表 1 AMC结构的阵列天线结构参数(mm)
L1 L2 L3 L4 H1 H2 H3 37.600 4.600 2.300 1.500 0.254 0.508 0.254 D1 W1 W2 W3 W4 X1 0.200 12.100 3.140 2.500 0.200 1.700 -
[1] LI Yujian and LUK K M. A multibeam end-fire magnetoelectric dipole antenna array for millimeter-wave applications[J]. IEEE Transactions on Antennas and Propagation, 2016, 64(7): 2894–2904. doi: 10.1109/TAP.2016.2554601. [2] DENG Changjiang, LIU Di, YEKTAKHAH B, et al. Series-fed beam-steerable millimeter-wave antenna design with wide spatial coverage for 5G mobile terminals[J]. IEEE Transactions on Antennas and Propagation, 2020, 68(5): 3366–3376. doi: 10.1109/TAP.2019.2963583. [3] OZPINAR H, AKSIMSEK S, and TOKAN N T. A novel compact, broadband, high gain millimeter-wave antenna for 5G beam steering applications[J]. IEEE Transactions on Vehicular Technology, 2020, 69(3): 2389–2397. doi: 10.1109/TVT.2020.2966009. [4] LUO Yong, XU Jiayou, CHEN Yuanqing, et al. A zero-mode induced mmWave patch antenna with low-profile, wide-bandwidth and large-angle scanning for 5G mobile terminals[J]. IEEE Access, 2019, 7: 177607–177615. doi: 10.1109/ACCESS.2019.2958120. [5] GU Lizheng, YANG Wanchen, LIAO Shaowei, et al. Novel coupling cancellation method by loading planar path for wideband high-isolation wide-scanning millimeter-wave phased array[J]. IEEE Transactions on Antennas and Propagation, 2022, 70(11): 10520–10530. doi: 10.1109/TAP.2022.3195456. [6] 何宇奇. 5G毫米波高性能天线阵列[D]. [硕士论文], 西安电子科技大学, 2022. doi: 10.27389/d.cnki.gxadu.2022.001839.HE Yuqi. 5G millimeter wave high-performance antenna array[D]. [Master dissertation], Xidian University, 2022. doi: 10.27389/d.cnki.gxadu.2022.001839. [7] 魏文元, 宫德明, 陈必森. 天线原理[M]. 北京: 国防工业出版社, 1985: 64–78.WEI Wenyuan, GONG Deming, and CHEN Bisen. Antenna Principle[M]. Beijing: National Defense Industry Press, 1985: 64–78. [8] 翟孟云. 阵列天线理论导引[M]. 北京: 国防工业出版社, 1980: 175–236.ZHAI Mengyun. Array Antenna Theory Guidance[M]. Beijing: National Defense Industry Press, 1980: 175–236. [9] NI Shucheng, LI Xiangqiang, QIAO Xiaobin, et al. A compact dual-wideband magnetoelectric dipole antenna for 5G millimeter-wave applications[J]. IEEE Transactions on Antennas and Propagation, 2022, 70(10): 9112–9119. doi: 10.1109/TAP.2022.3184550. [10] LIU Chunmei, XIAO Shaoqiu, and ZHANG Xiaolin. A compact, low-profile wire antenna applied to wide-angle scanning phased array[J]. IEEE Antennas and Wireless Propagation Letters, 2018, 17(3): 389–392. doi: 10.1109/LAWP.2018.2791286. [11] 张璇. 人工磁导体结构在天线设计及RCS缩减中的应用研究[D]. [硕士论文], 长安大学, 2023. doi: 10.26976/d.cnki.gchau.2023.000314.ZHANG Xuan. Research on the application of artificial magnetic conductor structure in antenna design and RCS reduction[D]. [Master dissertation], Chang’an University, 2023. doi: 10.26976/d.cnki.gchau.2023.000314. [12] 苏小珂. 基于人工磁导体的阵列天线低散射技术研究[D]. [硕士论文], 电子科技大学, 2024. doi: 10.27005/d.cnki.gdzku.2024.003635.SU Xiaoke. Research on low scattering technology of array antenna based on artificial magnetic conductor[D]. [Master dissertation], University of Electronic Science and Technology of China, 2024. doi: 10.27005/d.cnki.gdzku.2024.003635. [13] 王新庄. 加载人工磁导体的WLAN圆极化天线研究[D]. [硕士论文], 西安理工大学, 2024. doi: 10.27398/d.cnki.gxalu.2024.000368.WANG Xinzhuang. Research on WLAN circular polarized antennas loaded with artificial magnetic conductors[D]. [Master dissertation], Xi’an University of Technology, 2024. doi: 10.27398/d.cnki.gxalu.2024.000368. [14] HONG Wei, JIANG Zhihao, YU Chao, et al. Multibeam antenna technologies for 5G wireless communications[J]. IEEE Transactions on Antennas and Propagation, 2017, 65(12): 6231–6249. doi: 10.1109/TAP.2017.2712819. [15] MA Wenyu, CAO Wenquan, HONG Rentang, et al. Planar broadband higher-order mode millimeter-wave microstrip patch antenna array with low sidelobe level[J]. IEEE Antennas and Wireless Propagation Letters, 2021, 20(12): 2225–2229. doi: 10.1109/LAWP.2021.3103532. [16] 周路捷. 基于人工磁导体结构的LTCC毫米波阵列天线[D]. [硕士论文], 电子科技大学, 2023. doi: 10.27005/d.cnki.gdzku.2023.003105.ZHOU Lujie. Millimeter wave antenna array using artificial magnetic conductor structures Based on LTCC technology[D]. [Master dissertation], University of Electronic Science and Technology of China, 2023. doi: 10.27005/d.cnki.gdzku.2023.003105. [17] SHEN Xiumei, LIU Yujia, ZHAO Luyu, et al. A miniaturized microstrip antenna array at 5G millimeter-wave band[J]. IEEE Antennas and Wireless Propagation Letters, 2019, 18(8): 1671–1675. doi: 10.1109/LAWP.2019.2927460. -
下载:
下载: