高级搜索

留言板

尊敬的读者、作者、审稿人, 关于本刊的投稿、审稿、编辑和出版的任何问题, 您可以本页添加留言。我们将尽快给您答复。谢谢您的支持!

姓名
邮箱
手机号码
标题
留言内容
验证码

一种低压差线性稳压器的单粒子瞬态失效分析和加固设计

沈凡 陈建军 池雅庆 梁斌 王珣 文溢 郭昊

沈凡, 陈建军, 池雅庆, 梁斌, 王珣, 文溢, 郭昊. 一种低压差线性稳压器的单粒子瞬态失效分析和加固设计[J]. 电子与信息学报, 2023, 45(11): 3965-3972. doi: 10.11999/JEIT230438
引用本文: 沈凡, 陈建军, 池雅庆, 梁斌, 王珣, 文溢, 郭昊. 一种低压差线性稳压器的单粒子瞬态失效分析和加固设计[J]. 电子与信息学报, 2023, 45(11): 3965-3972. doi: 10.11999/JEIT230438
SHEN Fan, CHEN Jianjun, CHI Yaqing, LIANG Bin, WANG Xun, WEN Yi, GUO Hao. Single Event Transient Analysis and Hardening in a Low-Dropout Regulator[J]. Journal of Electronics & Information Technology, 2023, 45(11): 3965-3972. doi: 10.11999/JEIT230438
Citation: SHEN Fan, CHEN Jianjun, CHI Yaqing, LIANG Bin, WANG Xun, WEN Yi, GUO Hao. Single Event Transient Analysis and Hardening in a Low-Dropout Regulator[J]. Journal of Electronics & Information Technology, 2023, 45(11): 3965-3972. doi: 10.11999/JEIT230438

一种低压差线性稳压器的单粒子瞬态失效分析和加固设计

doi: 10.11999/JEIT230438 cstr: 32379.14.JEIT230438
基金项目: 国家自然科学基金(61974163, 62174180)
详细信息
    作者简介:

    沈凡:男,硕士,研究方向为高速通信系统和集成电路设计的抗辐照加固技术

    陈建军:男,副研究员,研究方向为高速通信系统和集成电路设计的抗辐照加固技术

    池雅庆:男,副研究员,研究方向为高速通信系统和集成电路设计的抗辐照加固技术

    梁斌:男,研究员,研究方向为高速通信系统和集成电路设计的抗辐照加固技术

    王珣:男,硕士生,研究方向为高速通信系统和集成电路设计的抗辐照加固技术

    文溢:男,博士生,研究方向为高速通信系统和集成电路设计的抗辐照加固技术

    郭昊:男,硕士生,研究方向为高速通信系统和集成电路设计的抗辐照加固技术

    通讯作者:

    陈建军  cjj192000@163.com

  • 中图分类号: TN406

Single Event Transient Analysis and Hardening in a Low-Dropout Regulator

Funds: The National Natural Science Foundation of China (61974163, 62174180)
  • 摘要: 随着集成电路特征尺寸的不断缩减,CMOS集成电路的单粒子效应问题越来越严重。为了提高低压差线性稳压器(LDO)的单粒子瞬态(SET)效应加固效果,该文通过SPICE电路仿真和重离子实验研究了一种28 nm CMOS工艺LDO的SET失效机制,并研究了关键器件尺寸大小对SET脉冲的影响,提出一种有效的LDO加固方法。SPICE电路仿真发现这种LDO的敏感节点主要位于误差放大器(EA)内部。功率管(MOSFET)栅极节点的环路滤波电容会明显地影响单粒子瞬态脉冲的幅度,也会轻微地影响单粒子瞬态脉冲的宽度。误差放大器内部关键节点的器件尺寸会影响稳压器输出的单粒子瞬态脉冲的幅度和宽度。通过增加功率管(MOSFET)栅极节点电容和调整误差放大器内部相关节点器件尺寸的方法对LDO进行了SET加固设计。电路仿真和重离子实验结果表明这种加固方法能够有效地降低LDO输出的单粒子瞬态脉冲的幅度和宽度。
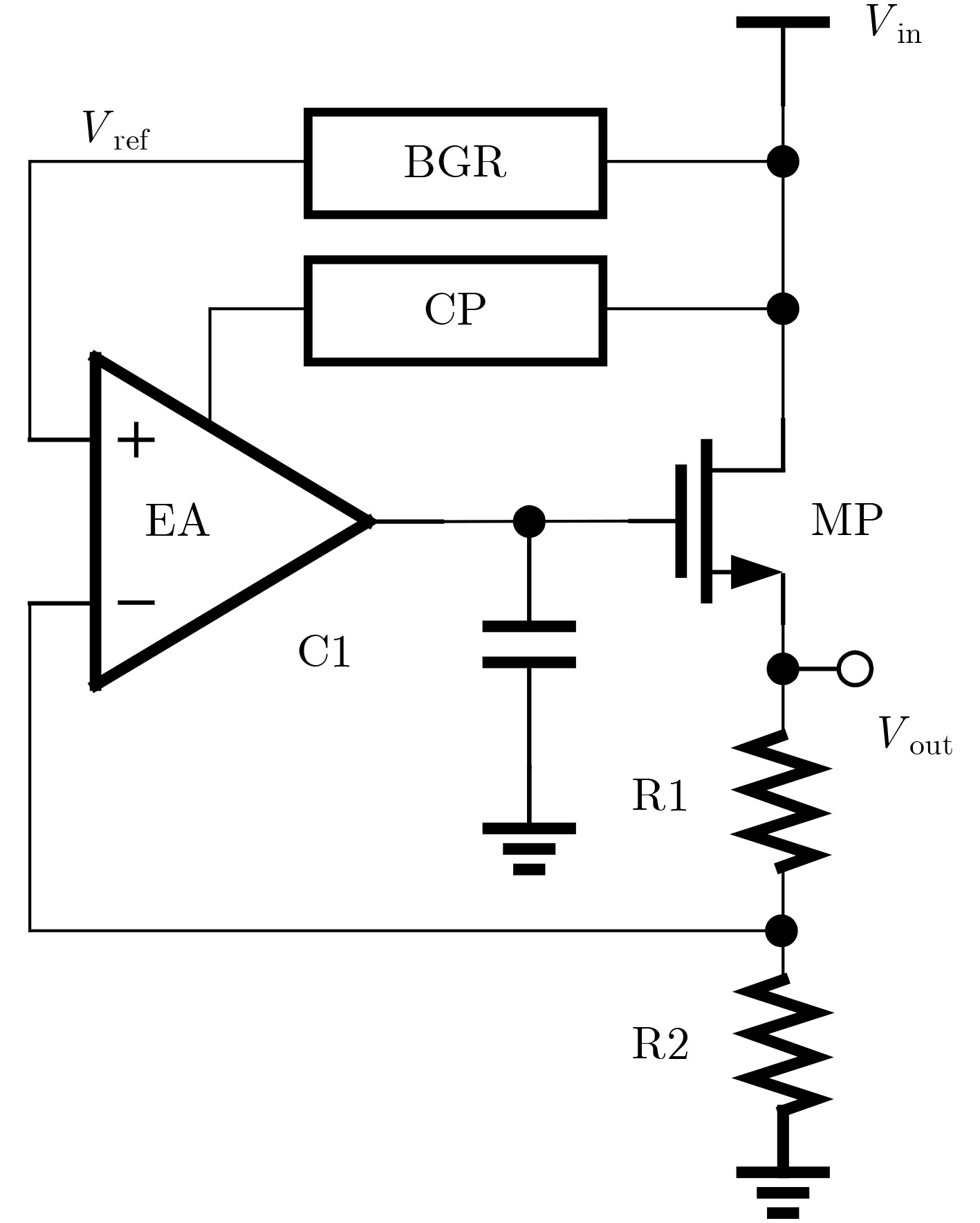
  • 图  1  线性稳压器的结构

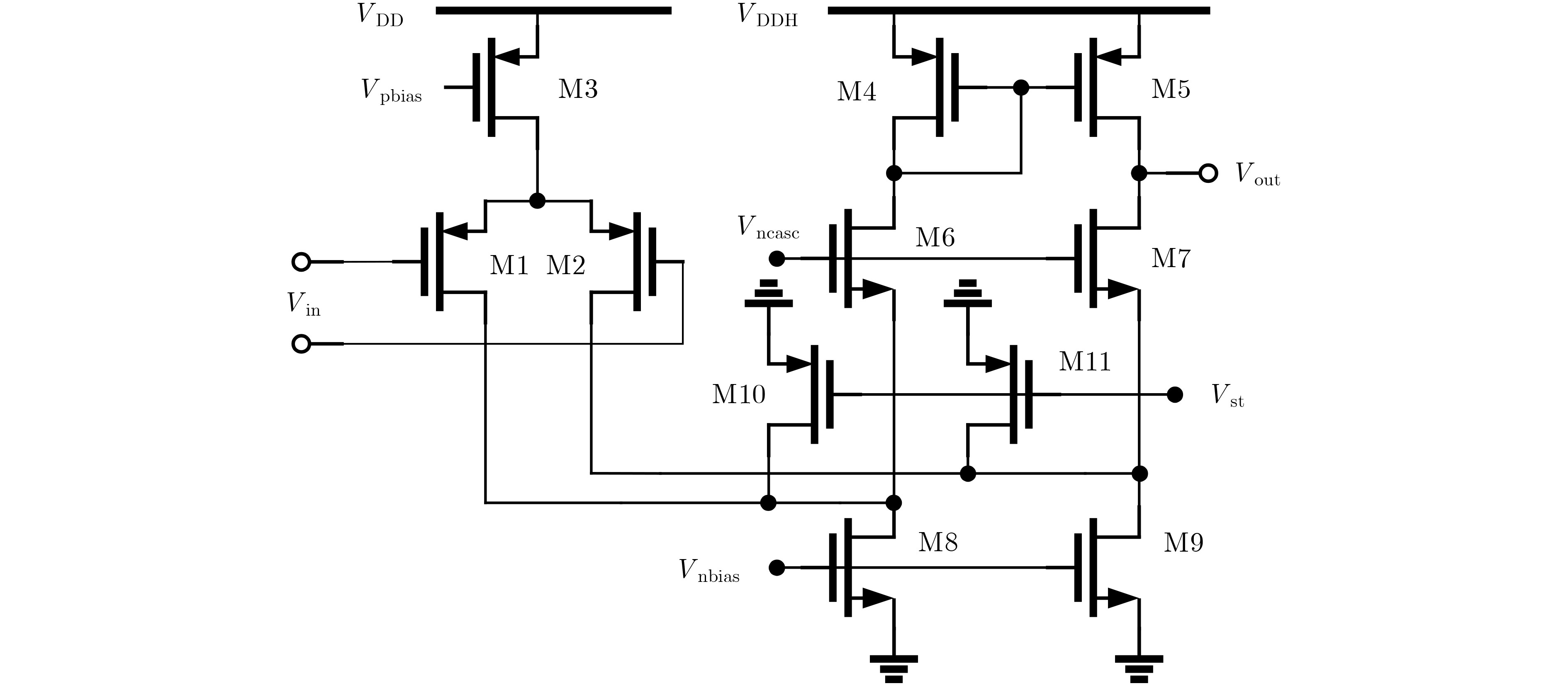
    图  2  误差放大器的结构

    图  3  轰击功率管源极后稳压管输出波形

    图  4  轰击误差放大器内部敏感节点后的输出脉冲

    图  5  轰击M6时误差放大器输出的SET脉冲产生过程

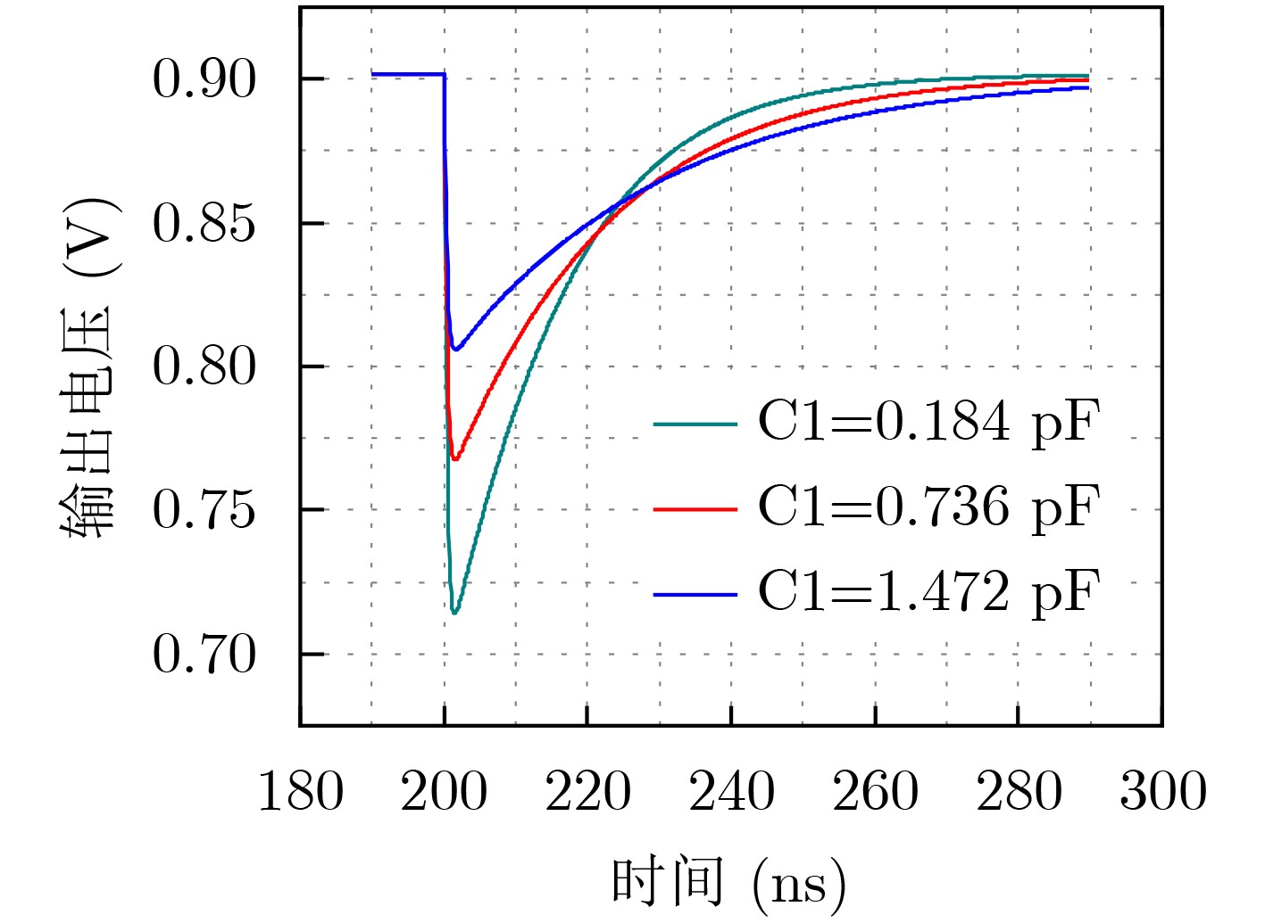
    图  6  环路滤波电容C1对稳压器输出脉冲电压的影响

    图  7  改变M5的宽长比对M5漏极电流和误差放大器输出脉冲电压幅度的影响

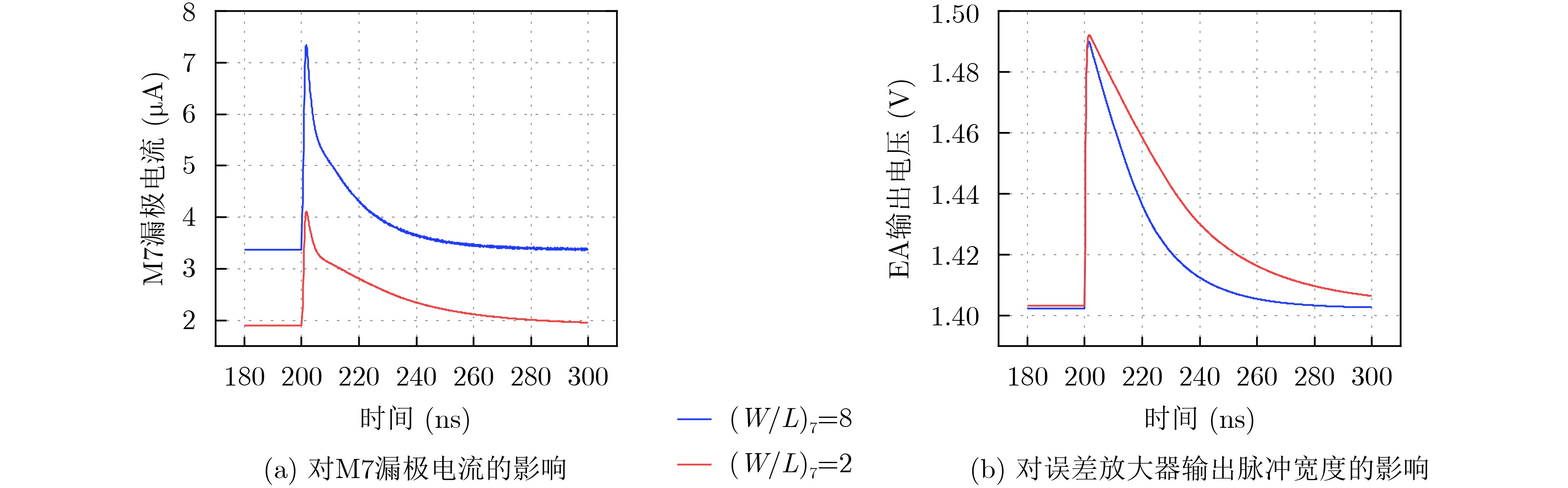
    图  8  改变M7的宽长比对M7的漏极电流和误差放大器的输出脉冲宽度的影响

    图  9  重离子实验获得的典型SET脉冲波形

    图  10  SET电压变化幅度和持续时间分布图

    图  11  C1的值对LDO负载瞬态响应的影响

    图  12  C1的值和器件长宽比对LDO电源抑制比的影响

    图  13  C1的值和器件长宽比对LDO相位裕度的影响

    表  1  重离子参数

    粒子种类 能量(MeV) 射程(μm) LET(MeV·cm2/mg)
    Cl 150 42.8 13.4
    Ti 165 33.9 22.0
    Ge 208 30.3 37.3
    U 700 41.0 45.0
    下载: 导出CSV

    表  2  C1的值和器件长宽比对LDO功耗的影响

    器件宽度 SET宽
    度(ns)
    SET幅
    度(mV)
    EA电源
    电流(µA)
    (W/L)5=2, (W/L)7=2 160 174 49.1
    (W/L)5=8, (W/L)7=2 170 272 49.1
    (W/L)5=2, (W/L)7=8 100 172 51.6
    (W/L)5=8, (W/L)7=8 100 264 51.6
    下载: 导出CSV
  • [1] ADELL P, SCHRIMPF R D, BARNABY H J, et al. Analysis of single-event transients in analog circuits[J]. IEEE Transactions on Nuclear Science, 2000, 47(6): 2616–2623. doi: 10.1109/23.903817
    [2] LI Zheyi, BERTI L, WOUTERS J, et al. Characterization of the total charge and time duration for single-event transient voltage pulses in a 65-nm CMOS technology[J]. IEEE Transactions on Nuclear Science, 2022, 69(7): 1593–1601. doi: 10.1109/TNS.2022.3141070
    [3] CHI Yaqing, WU Zhenyu, HUANG Pengcheng, et al. Characterization of single-event transients induced by high LET heavy ions in 16 nm bulk FinFET inverter chains[J]. Microelectronics Reliability, 2022, 130: 114490. doi: 10.1016/j.microrel.2022.114490
    [4] SHAH A P and WALTL M. Impact of negative bias temperature instability on single event transients in scaled logic circuits[J]. International Journal of Numerical Modelling:Electronic Networks,Devices and Fields, 2021, 34(3): e2854. doi: 10.1002/jnm.2854
    [5] MASSENGILL L W, BHUVA B L, HOLMAN W T, et al. Technology scaling and soft error reliability[C]. 2012 IEEE International Reliability Physics Symposium (IRPS), Anaheim, USA, 2012: 3C. 1.1–3C. 1.7.
    [6] JOHNSTON A H, MIYAHIRA T F, IROM F, et al. Single-event transients in voltage regulators[J]. IEEE Transactions on Nuclear Science, 2006, 53(6): 3455–3461. doi: 10.1109/TNS.2006.886215
    [7] KELLY A T, ADELL P C, WITULSKI A F, et al. Total dose and single event transients in linear voltage regulators[J]. IEEE Transactions on Nuclear Science, 2007, 54(4): 1327–1334. doi: 10.1109/TNS.2007.903243
    [8] YAO Ruxue, LU Hongliang, ZHANG Yuming, et al. Radiation-hardened high current low-dropout voltage regulator for space applications[C]. 2022 IEEE 16th International Conference on Solid-State & Integrated Circuit Technology (ICSICT), Nangjing, China, 2022: 1–3.
    [9] CHEN Xi, GUO Qiancheng, YUAN Hengzhou, et al. A single-event transient radiation hardened low-dropout regulator for LC voltage-controlled oscillator[J]. Symmetry, 2022, 14(4): 788. doi: 10.3390/sym14040788
    [10] ADELL P C and SCHEICK L Z. Radiation effects in power systems: A review[J]. IEEE Transactions on Nuclear Science, 2013, 60(3): 1929–1952. doi: 10.1109/TNS.2013.2262235
    [11] 赵起锋. 线性稳压器电路结构及其抗SET技术研究[D]. [硕士论文], 国防科技大学, 2017.

    ZHAO Q F. Research on the circuit structure and radiation-hardened design of linear regulator[D]. [Master dissertation], National University of Defense Technology, 2017.
    [12] 夏鹏. 电源芯片LDO器件的单粒子效应研究[D]. [硕士论文], 广东工业大学, 2019.

    XIA P. Study on single-event effect of low dropout regulator[D]. [Master dissertation], Guangdong University of Technology, 2019.
    [13] WANG Liang, HAN Xupeng, ZHAO Yuanfu, et al. Single-event transient analysis and hardening in a 180 nm CMOS embedded low-dropout regulator[C]. 2017 17th European Conference on Radiation and Its Effects on Components and Systems (RADECS), Geneva, Switzerland, 2017: 1–4.
    [14] ZHAO Qifeng, YANG Guoqing, SUN Yongjie, et al. Research on the effect of single-event transient of an on-chip linear voltage regulator fabricated on 130 nm commercial CMOS technology[J]. Microelectronics Reliability, 2017, 73: 116–121. doi: 10.1016/j.microrel.2017.04.030
    [15] DUAN Zhikui, DING Yi, LU Chong, et al. A single-event transient hardened LDO regulator with built-in filter[J]. IEICE Electronics Express, 2015, 12(22): 20150850. doi: 10.1587/elex.12.20150850
    [16] VAN VONNO N W, PEARCE L W, KNUDSEN K C, et al. Total dose and single event testing of the Intersil ISL75051SRH low dropout regulator[C]. 2012 IEEE Radiation Effects Data Workshop, Miami, USA, 2012: 1–6.
    [17] VAN VONNO N W, GILL J S, PEARCE L G, et al. Total dose and SEE testing of the Intersil ISL75052SEH low dropout regulator[C]. 2015 15th European Conference on Radiation and its Effects on Components and Systems (RADECS), Moscow, Russia, 2015: 1–6.
    [18] VAN VONNO N W, MANSILLA O, GILL J S, et al. Single-event effects testing of the Renesas ISL70005SEH dual output point-of-load regulator[C]. 2020 IEEE Radiation Effects Data Workshop (in conjunction with 2020 NSREC), Santa Fe, USA, 2020: 1–7.
    [19] MESSENGER G C. Collection of charge on junction nodes from ion tracks[J]. IEEE Transactions on Nuclear Science, 1982, 29(6): 2024–2031. doi: 10.1109/TNS.1982.4336490
    [20] XU Changqing, LIU Yi, LIAO Xinfang, et al. Machine learning regression-based single-event transient modeling method for circuit-level simulation[J]. IEEE Transactions on Electron Devices, 2021, 68(11): 5758–5764. doi: 10.1109/TED.2021.3113884
    [21] BLACK D A, ROBINSON W H, WILCOX I Z, et al. Modeling of single event transients with dual double-exponential current sources: Implications for logic cell characterization[J]. IEEE Transactions on Nuclear Science, 2015, 62(4): 1540–1549. doi: 10.1109/TNS.2015.2449073
    [22] RAZAVI B. Design of Analog CMOS Integrated Circuits[M]. 2nd ed. New York: McGraw-Hill Education, 2017: 19–20.
  • 加载中
图(13) / 表(2)
计量
  • 文章访问数:  780
  • HTML全文浏览量:  824
  • PDF下载量:  66
  • 被引次数: 0
出版历程
  • 收稿日期:  2023-05-17
  • 修回日期:  2023-09-08
  • 网络出版日期:  2023-09-13
  • 刊出日期:  2023-11-28

目录

    /

    返回文章
    返回