高级搜索

留言板

尊敬的读者、作者、审稿人, 关于本刊的投稿、审稿、编辑和出版的任何问题, 您可以本页添加留言。我们将尽快给您答复。谢谢您的支持!

姓名
邮箱
手机号码
标题
留言内容
验证码

基于关键翻转集合的极化码Fast-SSC-Flip译码算法

郭锐 孙荷 杨沛

郭锐, 孙荷, 杨沛. 基于关键翻转集合的极化码Fast-SSC-Flip译码算法[J]. 电子与信息学报, 2023, 45(10): 3594-3602. doi: 10.11999/JEIT221392
引用本文: 郭锐, 孙荷, 杨沛. 基于关键翻转集合的极化码Fast-SSC-Flip译码算法[J]. 电子与信息学报, 2023, 45(10): 3594-3602. doi: 10.11999/JEIT221392
GUO Rui, SUN He, YANG Pei. Fast-SSC-Flip Decoding Algorithm Based on Critical Flip Set for Polar Code[J]. Journal of Electronics & Information Technology, 2023, 45(10): 3594-3602. doi: 10.11999/JEIT221392
Citation: GUO Rui, SUN He, YANG Pei. Fast-SSC-Flip Decoding Algorithm Based on Critical Flip Set for Polar Code[J]. Journal of Electronics & Information Technology, 2023, 45(10): 3594-3602. doi: 10.11999/JEIT221392

基于关键翻转集合的极化码Fast-SSC-Flip译码算法

doi: 10.11999/JEIT221392 cstr: 32379.14.JEIT221392
详细信息
    作者简介:

    郭锐:男,博士,副教授,研究方向为无线通信、信道编码技术

    孙荷:女,硕士生,研究方向为信道编码技术

    杨沛:男,硕士生,研究方向为信道编码技术

    通讯作者:

    郭锐 guorui@hdu.edu.cn

  • 中图分类号: TN914

Fast-SSC-Flip Decoding Algorithm Based on Critical Flip Set for Polar Code

  • 摘要: 为了降低极化码快速简化串行抵消翻转(Fast-SSC-Flip)译码算法的候选翻转比特集合大小,减小搜索复杂度,该文提出一种基于关键翻转集合的极化码Fast-SSC-Flip译码算法。基于快速简化串行抵消(Fast-SSC)译码过程中首位译码错误信息比特有极大的概率落于关键集合(CS)中,以及Fast-SSC-Flip译码算法的候选比特均为码字比特,所提算法利用极化码的生成矩阵得到与CS中信息比特相应的码字比特,并用这些码字比特构建关键翻转集合(CFS)作为候选翻转比特集合。实验结果表明,在使用相同候选比特可靠性度量准则的前提下,在码长$N = 1\;024$及码率$R = 0.5$时,该文所提基于关键翻转集合的Fast-SSC-Flip译码算法相较于传统Fast-SSC-Flip算法在不损失译码性能的情况下,候选翻转集合大小显著降低;相较于新的快速简化串行抵消翻转(N-Fast-SSC-Flip)算法有相近的译码性能,但候选翻转集合至少缩小了77.93%。
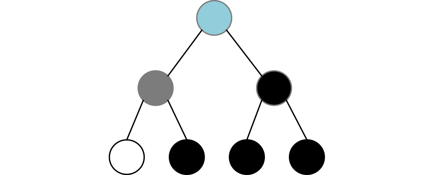
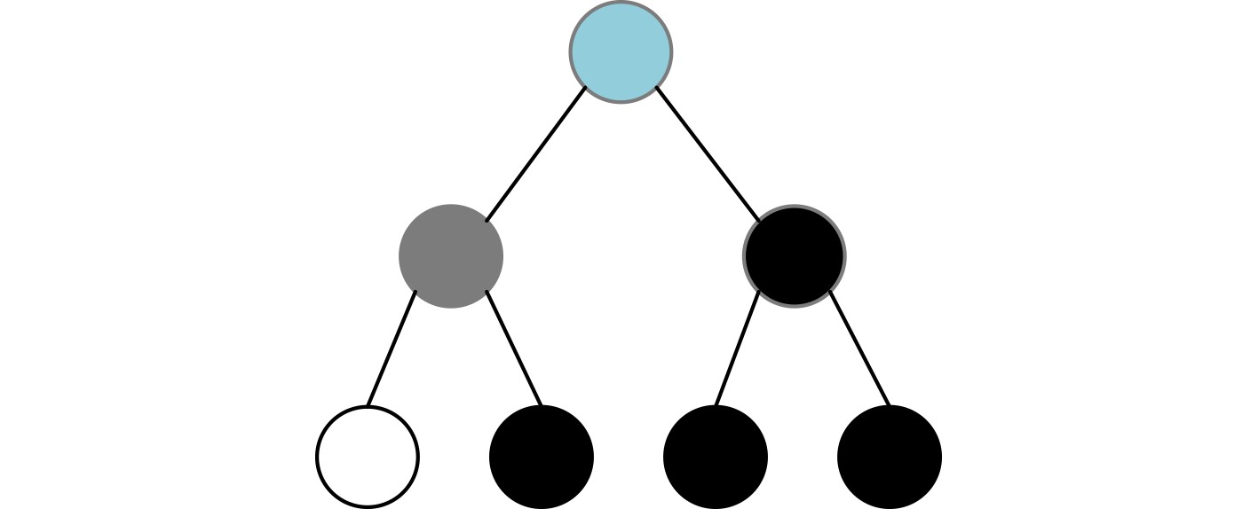
  • 图  1  $(N,K) = (8,4)$的极化码SC译码树

    图  2  $(N,K) = (8,4)$的极化码Fast-SSC译码树

    图  3  极化码SC译码树以及Fast-SSC译码树

    图  4  译码树SPC节点对应子树结构

    图  5  CFS-Fast-SSC-Flip译码算法与各种译码算法在$R = 0.5$时BER性能比较图

    图  6  CFS-Fast-SSC-Flip译码算法与各种译码算法在$R = 0.5$时FER性能比较图

    算法1 关键集合CS构建
     输入:信息比特索引集合${\boldsymbol{I}}$
     输出:关键集合CS
     (1) 根据集合${\boldsymbol{I}}$构建裁剪后的SSC译码树,并初始化CS为空集
     (2) 将每个子块的首位比特放入到CS中
    下载: 导出CSV

    表  1  ${\boldsymbol{N}} = {\boldsymbol{1\;024}}$, ${\boldsymbol{K}} = {\boldsymbol{512}}$, ${\boldsymbol{{T_{{\rm{sim}}}} = {10^6}}}$时CS的有效性验证

    SNR (dB)
    0.51.01.52.02.53.0
    译码错误帧数947 225708 607320 93581 66612 4621 057
    首错在CS中942 203707 058320 71781 65212 4621 057
    准确性0.994 70.997 80.999 30.999 81.01.0
    CS的维度107110111116124129
    下载: 导出CSV
    算法2 CFS构造算法
     输入:信息比特索引集合${\boldsymbol{I}}$,Fast-SSC译码树结构tree_struct,
     码字决策LLR向量${\boldsymbol{\lambda}} _1^N$
     输出:关键翻转集合CFS
     (1) ${\text{CS}}$ $\leftarrow $ Construct Critical Set (${\boldsymbol{I}}$)
     (2) for $i = 1:|{\rm{CS}}|$ do
     (3)   根据tree_struct,找到CS($i$)相应的${\boldsymbol{\varOmega}}$
     (4)   根据${\boldsymbol{\lambda}} _1^N$选择${\boldsymbol{\varOmega}}$中最不可靠的码字比特放入到CFS集合中
     (5) end for
    下载: 导出CSV
    算法3 CFS-Fast-SSC-Flip译码算法
     输入:信道接收序列$y$,信息比特索引集合${\boldsymbol{I}}$,最大可翻转次数
     ${T_{\max }}$
     输出:译码输出比特序列${\boldsymbol{u}}_1^N$
     (1) $[\hat {\boldsymbol{u} }_1^N,{\boldsymbol{\lambda}} _1^N] \leftarrow$Fast-SSC$(y,{\boldsymbol{I}})$
     (2) if 译码码字$\hat {\boldsymbol{u}}_1^N$未通过CRC校验,then
     (3)   CFS$ \leftarrow $Construct CFS$(\lambda _1^N,{{{\rm{tree}}_{-}{\rm{struct}}} },{\boldsymbol{I} })$
     (4)   根据度量准则对所有${x_i} \in {\text{CFS}}$进行升序排序
     (5)     for $i = {\text{1} }:{T_{{\rm{max}}} }$ do
     (6)       $[\hat {\boldsymbol{u}}_1^N] \leftarrow$Fast-SSC-Flip$(y,{\boldsymbol{I}},{\text{CFS} }(i))$
     (7)       if 译码码字$\hat {\boldsymbol{u}}_1^N$通过CRC校验,then
     (8)        return $\hat {\boldsymbol{u}}_1^N$
     (9)       end if
     (10)     end for
     (11) end if
     (12) return $\hat {\boldsymbol{u}}_1^N$
    下载: 导出CSV

    表  2  各种译码算法的平均迭代次数

    极化码参数
    N = 512, R = 0.5N = 1 024, R = 0.5
    SNR (dB)1.02.03.01.02.03.0
    Fast-SSC-Flip5.2561.5971.0186.1531.4281.004
    N-Fast-SSC-Flip5.0391.4821.0135.9581.3691.003
    Fast-SSC-Flip-CS6.118 51.625 11.095 96.263 71.887 31.013 8
    CFS-Fast-SSC-Flip5.0411.4861.0135.9631.3701.003
    下载: 导出CSV

    表  3  CFS与传统Fast-SSC-Flip译码算法的候选翻转比特集合大小比较

    极化码参数
    N = 512, R = 0.5N = 1 024, R = 0.5
    SNR (dB)1.02.03.01.02.03.0
    CFS平均大小5258628796113
    传统翻转比特集合大小256512
    缩小比例 (%)79.6977.3475.7883.0181.2577.93
    下载: 导出CSV
  • [1] ARIKAN E. Channel polarization: A method for constructing capacity-achieving codes for symmetric binary-input memoryless channels[J]. IEEE Transactions on Information Theory, 2009, 55(7): 3051–3073. doi: 10.1109/TIT.2009.2021379
    [2] AFISIADIS O, BALATSOUKAS-STIMMING A, and BURG A. A low-complexity improved successive cancellation decoder for polar codes[C]. The 48th Asilomar Conference on Signals, Systems and Computers, Pacific Grove, USA, 2014: 2116–2120.
    [3] CHANDESRIS L, SAVIN V, and DECLERCQ D. Dynamic-SCFlip decoding of polar codes[J]. IEEE Transactions on Communications, 2018, 66(6): 2333–2345. doi: 10.1109/TCOMM.2018.2793887
    [4] ZHANG Xueting, LIU Yingzhuang, and CHEN Shaoping. BER evaluation based SCFlip algorithm for polar codes decoding[J]. IEEE Access, 2020, 8: 3042–3054. doi: 10.1109/ACCESS.2019.2962003
    [5] QIAO Xinyuan, CUI Hangxuan, LIN Jun, et al. Reducing search complexity of dynamic SC-Flip decoding for polar codes[C]. The 7th International Conference on Computer and Communications (ICCC), Chengdu, China, 2021: 27–31.
    [6] ERCAN F and GROSS W J. Fast thresholded SC-flip decoding of polar codes[C]. 2020 IEEE International Conference on Communications, Dublin, Ireland, 2020: 1–7.
    [7] DAI Bin, GAO Chenyu, YAN Zhiyuan, et al. Parity check aided SC-flip decoding algorithms for polar codes[J]. IEEE Transactions on Vehicular Technology, 2021, 70(10): 10359–10368. doi: 10.1109/TVT.2021.3106349
    [8] ALAMDAR-YAZDI A and KSCHISCHANG F R. A simplified successive-cancellation decoder for polar codes[J]. IEEE Communications Letters, 2011, 15(12): 1378–1380. doi: 10.1109/LCOMM.2011.101811.111480
    [9] SARKIS G, GIARD P, VARDY A, et al. Fast polar decoders: Algorithm and implementation[J]. IEEE Journal on Selected Areas in Communications, 2014, 32(5): 946–957. doi: 10.1109/JSAC.2014.140514
    [10] HANIF M and ARDAKANI M. Fast successive-cancellation decoding of polar codes: Identification and decoding of new nodes[J]. IEEE Communications Letters, 2017, 21(11): 2360–2363. doi: 10.1109/LCOMM.2017.2740305
    [11] GIARD P and BURG A. Fast-SSC-flip decoding of polar codes[C]. IEEE Wireless Communications and Networking Conference Workshops (WCNCW), Barcelona, Spain, 2018: 73–77.
    [12] ZHOU Yangcan, LIN Jun, and WANG Zhongfeng. A new fast-SSC-flip decoding of polar codes[C]. IEEE International Conference on Communications (ICC), Shanghai, China, 2019: 1–6.
    [13] ZHOU Yangcan, LIN Jun, and WANG Zhongfeng. Improved fast-SSC-flip decoding of polar codes[J]. IEEE Communications Letters, 2019, 23(6): 950–953. doi: 10.1109/LCOMM.2019.2910059
    [14] JAN Q, HUSSAIN S, LIU Zechen, et al. Improved partitioned fast-SSC-flip decoding for polar coded[C]. The 7th International Conference on Computer and Communication Systems (ICCCS), Wuhan, China, 2022: 382–386.
    [15] WANG Xiumin, WANG Ting, LI Jun, et al. Improved multiple bit-flipping fast-SSC decoding of polar codes[J]. IEEE Access, 2020, 8: 27851–27860. doi: 10.1109/ACCESS.2020.2964904
    [16] JAN Q, HUSSAIN S, FURQAN M, et al. Parity-check-CRC concatenated polar codes SSCFlip decoder[J]. Electronics, 2022, 11(23): 3839. doi: 10.3390/electronics11233839
    [17] GUO Rui, YANG Pei, YING Na, et al. Multiple node flip fast-SSC decoding algorithm for polar codes based on node reliability[J]. KSII Transactions on Internet and Information Systems, 2022, 16(2): 658–675. doi: 10.3837/TIIS.2022.02.015
    [18] MONDELLI M, HASHEMI S A, CIOFFI J M, et al. Sublinear latency for simplified successive cancellation decoding of polar codes[J]. IEEE Transactions on Wireless Communications, 2021, 20(1): 18–27. doi: 10.1109/TWC.2020.3022922
  • 加载中
图(6) / 表(6)
计量
  • 文章访问数:  955
  • HTML全文浏览量:  785
  • PDF下载量:  45
  • 被引次数: 0
出版历程
  • 收稿日期:  2022-11-07
  • 修回日期:  2023-08-14
  • 网络出版日期:  2023-08-18
  • 刊出日期:  2023-10-31

目录

    /

    返回文章
    返回