高级搜索

留言板

尊敬的读者、作者、审稿人, 关于本刊的投稿、审稿、编辑和出版的任何问题, 您可以本页添加留言。我们将尽快给您答复。谢谢您的支持!

姓名
邮箱
手机号码
标题
留言内容
验证码

可重构智能表面辅助的毫米波信道估计算法

郭甜 张旭辉 吴雨佳 王悦

郭甜, 张旭辉, 吴雨佳, 王悦. 可重构智能表面辅助的毫米波信道估计算法[J]. 电子与信息学报, 2023, 45(10): 3612-3621. doi: 10.11999/JEIT221232
引用本文: 郭甜, 张旭辉, 吴雨佳, 王悦. 可重构智能表面辅助的毫米波信道估计算法[J]. 电子与信息学报, 2023, 45(10): 3612-3621. doi: 10.11999/JEIT221232
GUO Tian, ZHANG Xuhui, WU Yujia, WANG Yue. Channel Estimation Algorithm for Reconfigurable Intelligent Surface Aided Millimeter Wave Systems[J]. Journal of Electronics & Information Technology, 2023, 45(10): 3612-3621. doi: 10.11999/JEIT221232
Citation: GUO Tian, ZHANG Xuhui, WU Yujia, WANG Yue. Channel Estimation Algorithm for Reconfigurable Intelligent Surface Aided Millimeter Wave Systems[J]. Journal of Electronics & Information Technology, 2023, 45(10): 3612-3621. doi: 10.11999/JEIT221232

可重构智能表面辅助的毫米波信道估计算法

doi: 10.11999/JEIT221232 cstr: 32379.14.JEIT221232
基金项目: 国家自然科学基金(52104166),陕西省创新人才计划(2018TD-032)
详细信息
    作者简介:

    郭甜:女,博士生,研究方向为智能反射面、大规模MIMO通信

    张旭辉:男,教授,博士生导师,研究方向为矿山设备智能检测与控制

    吴雨佳:男,硕士生,研究方向为煤矿设备智能检测与控制

    王悦:女,硕士生,研究方向为智能掘进、人员定位

    通讯作者:

    郭甜 2109570554@qq.com

  • 中图分类号: TN929.5

Channel Estimation Algorithm for Reconfigurable Intelligent Surface Aided Millimeter Wave Systems

Funds: The National Natural Science Foundation of China (52104166), The Innovative Talents Program of Shaanxi Province (2018TD-032)
  • 摘要: 针对可重构智能表面(RIS)辅助的毫米波通信中信道状态信息难以获取问题,该文给RIS的部分器件配备射频链,以分开估计基站(BS)/用户(UE)到RIS之间的信道。根据该结构,提出一种低复杂度的信道估计算法。该算法首先采用解耦原子范数最小化(ANM)方法将信道的离开角和到达角的2维角度估计问题转化为两个1维的角度估计的半正定规划(SDP)问题;其次,利用交替方向乘子算法(ADMM)对该SDP问题进行求解,采用动量梯度下降法对信道矩阵参数进行更新以避免矩阵求逆运算,并通过对迭代步长和信道矩阵参数的联合优化以获得更加精准的信道估计值;最后利用信号的2维角度和信道矩阵参数得到路径增益估计。仿真结果表明,该算法达到了优良的信道估计性能,且在确保信道估计性能的系统参数设置下,该算法的复杂度较低。
  • 图  1  RIS辅助的毫米波上行通信系统模型

    图  2  ${{{\boldsymbol{H}}}_1}$信道矩阵参数的估计过程

    图  3  不同算法求解RIS的角度均方根误差性能对比

    图  4  信道${{{\boldsymbol{H}}}_1}$与信道${{{\boldsymbol{H}}}_2}$估计性能对比

    图  5  本文算法与CVX算法的运行时间对比

    图  6  RIS射频链数目对频谱效率性能的影响

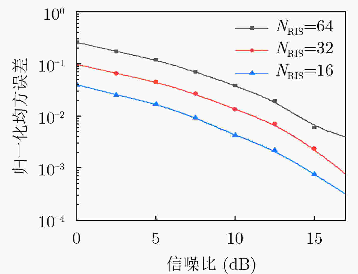
    图  7  RIS元件数对信道${{\boldsymbol{H}}}$归一化均方误差性能的影响

    图  8  本文算法与其他文献算法的归一化均方误差系统性能对比

    图  9  本文算法与其他算法频谱效率性能对比

    算法1 联合优化迭代步长和信道参数算法
     输入:初始化$ {{\boldsymbol{H}}}_1^x $, $\beta = 0.5$, $\xi = 0.2$,容许误差$\varepsilon $, $t = 1$;
     (1)计算${ {\boldsymbol{g} } }_t^{} = {{\text{∇}} _{ { {({ {\boldsymbol{H} } }_{ {\rm{1} } }^x{ {\rm{)} } } }^t} } }{ {\boldsymbol{L} } }$,如果$ \left\| {{{{\boldsymbol{g}}}_t}} \right\| \le \varepsilon $,输出$ {({{\boldsymbol{H}}}_1^x)^t} $作为最优解;
     (2)令${{{\boldsymbol{d}}}_t}{{\boldsymbol{ = }}} - {{{\boldsymbol{g}}}_t}$;
     (3)根据式(14)确定迭代步长$ {\beta ^{{m_t}}} $;
     (4)计算式(15),$t = t + 1$,转步骤(1)。
     输出:$ {({{\boldsymbol{H}}}_1^x)^t} $, $ {\beta ^{{m_t}}} $。
    下载: 导出CSV
    算法2 D-ANM+改进ADMM信道估计算法
     输入:BS, RIS, UE处的天线数目、导频信号、RIS射频链接收
     的信号、噪声的功率,最大迭代次数${s_{\max }}$;
     计算UE-RIS的信道矩阵$ {{\boldsymbol{H}}}_1^{} $:
     (1)根据式(11)求解得到RIS水平射频链路接收信号的协方差矩阵;
     (2)根据解耦原子范数最小化方法,并采用改进的ADMM算法求
     解式(17),其信道参数的迭代过程如下:
      While $s \lt {s_{\max }}$
       (a)根据算法1更新$ {({{\boldsymbol{H}}}_1^x)^t} $, $ {\beta ^{{m_t}}} $;
       (d)根据式(16)更新$({{{\boldsymbol{u}}}_x}, {{{\boldsymbol{u}}}_y})$;
       (e)根据式(17)更新${{\boldsymbol{U}}}$;
       (f)根据式(12c)更新${{\boldsymbol{\varLambda }}}$;
       (g)$s = s + 1$
      End while
     (3)根据步骤(2)求解得到信道的估计值$ {{\boldsymbol{\tilde H}}}_1^x $, $ {{\boldsymbol{\tilde T}}}({{{\boldsymbol{u}}}_x}) $, $ {{\boldsymbol{\tilde T}}}({{{\boldsymbol{u}}}_y}) $;
     (4)采用Root-MUSIC算法求解角度和matrix pencil进行角度匹配
     求解信道矩阵$ {{\boldsymbol{H}}}_1^{} $的UE端的离开角估计值$\tilde {{\boldsymbol{\varphi}}} $和RIS端的水平射频
     链的AOA的方位角估计值$ {\boldsymbol{\tilde \theta}} $;并以相同的思路估计得到RIS端垂
     直射频链的AOA的仰角估计值${{\boldsymbol{\tilde \phi}}} $;
     (5)根据式(19),求解信道矩阵$ {{\boldsymbol{H}}}_1^{} $的路径增益${{\boldsymbol{\tilde \alpha}}} $;
     (6)根据以上得到的信道参数值$ ({\boldsymbol{\tilde \theta}} , {{\boldsymbol{\tilde \phi}}} , {{\boldsymbol{\tilde \varphi}}} , {{\boldsymbol{\tilde \alpha}}} ) $,得到估计的信道矩
     阵$ {{\boldsymbol{\tilde H}}}_1^{} $;
     RIS-BS的信道矩阵${{{\boldsymbol{H}}}_2}$的估计参照步骤(1)~(6)的思路。
     输出:UE-RIS估计的信道矩阵$ {{\boldsymbol{\tilde H}}}_1^{} $,RIS-BS估计的信道矩阵
     ${{{\boldsymbol{\tilde H}}}_2}$。
    下载: 导出CSV

    表  1  本文算法与相关文献算法的复杂度对比

    算法信道估计类别算法复杂度
    D-ANM+改进ADMM分离信道估计$O({n_x}{({n_x} + K)^2})$
    ALS[8]级联信道估计$O(2{N^3} + 4{N^2}P(M + K) - NP(M + K))$
    2D-MUSIC[12]分离信道估计$O(n_x^2(T + {D_1}{D_2}) + {N^3})$
    ROOT-MUSIC[13]分离信道估计$O(n_x^2T + {N^3})$
    2D-FFT[14]分离信道估计$O(n_x^2(M + K))$
    下载: 导出CSV
  • [1] LI Lianming, WANG Dongming, NIU Xiaokang, et al. mmWave communications for 5G: Implementation challenges and advances[J]. Science China Information Sciences, 2018, 61(2): 021301. doi: 10.1007/s11432-017-9262-8
    [2] WU Qingqing, ZHANG Shuowen, ZHENG Beixiong, et al. Intelligent reflecting surface-aided wireless communications: A tutorial[J]. IEEE Transactions on Communications, 2021, 69(5): 3313–3351. doi: 10.1109/TCOMM.2021.3051897
    [3] YANG Liang, MENG Fanxu, ZHANG Jiayi, et al. On the performance of RIS-assisted dual-hop UAV communication systems[J]. IEEE Transactions on Vehicular Technology, 2020, 69(9): 10385–10390. doi: 10.1109/TVT.2020.3004598
    [4] HUANG Chongwen, ZAPPONE A, ALEXANDROPOULOS G C, et al. Reconfigurable intelligent surfaces for energy efficiency in wireless communication[J]. IEEE Transactions on Wireless Communications, 2019, 18(8): 4157–4170. doi: 10.1109/TWC.2019.2922609
    [5] HUANG Chongwen, HU Sha, ALEXANDROPOULOS G C, et al. Holographic MIMO surfaces for 6G wireless networks: Opportunities, challenges, and trends[J]. IEEE Wireless Communications, 2020, 27(5): 118–125. doi: 10.1109/MWC.001.1900534
    [6] YU Xianghao, XU Dongfang, SUN Ying, et al. Robust and secure wireless communications via intelligent reflecting surfaces[J]. IEEE Journal on Selected Areas in Communications, 2020, 38(11): 2637–2652. doi: 10.1109/JSAC.2020.3007043
    [7] WANG Xinyi, FEI Zesong, ZHENG Zhong, et al. Joint waveform design and passive beamforming for RIS-assisted dual-functional radar-communication system[J]. IEEE Transactions on Vehicular Technology, 2021, 70(5): 5131–5136. doi: 10.1109/TVT.2021.3075497
    [8] WEI Li, HUANG Chongwen, ALEXANDROPOULOS G C, et al. Channel estimation for RIS-empowered multi-user MISO wireless communications[J]. IEEE Transactions on Communications, 2021, 69(6): 4144–4157. doi: 10.1109/TCOMM.2021.3063236
    [9] WANG Peilan, FANG Jun, DUAN Huiping, et al. Compressed channel estimation for intelligent reflecting surface-assisted millimeter wave systems[J]. IEEE Signal Processing Letters, 2020, 27: 905–909. doi: 10.1109/LSP.2020.2998357
    [10] HU Chen, DAI Linglong, HAN Shuangfeng, et al. Two-timescale channel estimation for reconfigurable intelligent surface aided wireless communications[J]. IEEE Transactions on Communications, 2021, 69(11): 7736–7747. doi: 10.1109/TCOMM.2021.3072729
    [11] HE Jiguang, WYMEERSCH H, and JUNTTI M. Channel estimation for RIS-aided mmWave MIMO systems via atomic norm minimization[J]. IEEE Transactions on Wireless Communications, 2021, 20(9): 5786–5797. doi: 10.1109/TWC.2021.3070064
    [12] 傅友华, 陈栋. 混合智能反射表面结构辅助的毫米波通信信道估计[J]. 通信学报, 2021, 42(10): 189–196. doi: 10.11959/j.issn.1000-436x.2021197

    FU Youhua and CHEN Dong. Channel estimation for hybrid intelligent reflecting surface structure assisted mmWave communications[J]. Journal on Communications, 2021, 42(10): 189–196. doi: 10.11959/j.issn.1000-436x.2021197
    [13] CHEN Xiao, SHI Jianfeng, YANG Zhaohui, et al. Low-complexity channel estimation for intelligent reflecting surface-enhanced massive MIMO[J]. IEEE Wireless Communications Letters, 2021, 10(5): 996–1000. doi: 10.1109/LWC.2021.3054004
    [14] 蒲旭敏, 孙致南, 李静洁, 等. 可重构智能表面中低复杂度毫米波信道估计算法[J]. 电子与信息学报, 2022, 44(7): 2281–2288. doi: 10.11999/JEIT211602

    PU Xumin, SUN Zhinan, LI Jingjie, et al. A low complexity millimeter wave channel estimation algorithm in reconfigurable intelligent surface[J]. Journal of Electronics &Information Technology, 2022, 44(7): 2281–2288. doi: 10.11999/JEIT211602
    [15] BHASKAR B N, TANG Gongguo, and RECHT B. Atomic norm denoising with applications to line spectral estimation[J]. IEEE Transactions on Signal Processing, 2013, 61(23): 5987–5999. doi: 10.1109/TSP.2013.2273443
    [16] GRANT M and BOYD S. CVX: MATLAB software for disciplined convex programming[EB/OL]. http://cvxr.com/cvx, 2020.
    [17] WANG Qianli, ZHAO Zhiqin, and CHEN Zhuming. Fast compressive sensing DOA estimation via ADMM solver[C]. 2017 IEEE International Conference on Information and Automation (ICIA), Macao, China, 2017: 53–57.
    [18] WANG Yue, XU Ping, and TIAN Zhi. Efficient channel estimation for massive MIMO systems via truncated two-dimensional atomic norm minimization[C]. 2017 IEEE International Conference on Communications (ICC), Paris, France, 2017: 1–6.
    [19] CHEN Zhimin, CHEN Peng, GUO Ziyu, et al. A RIS-based passive DOA estimation method for integrated sensing and communication system[EB/OL]. https://doi.org/10.48550/arXiv.2204.11626, 2022.
  • 加载中
图(9) / 表(3)
计量
  • 文章访问数:  1377
  • HTML全文浏览量:  754
  • PDF下载量:  209
  • 被引次数: 0
出版历程
  • 收稿日期:  2022-09-22
  • 修回日期:  2023-02-03
  • 网络出版日期:  2023-02-09
  • 刊出日期:  2023-10-31

目录

    /

    返回文章
    返回