高级搜索

留言板

尊敬的读者、作者、审稿人, 关于本刊的投稿、审稿、编辑和出版的任何问题, 您可以本页添加留言。我们将尽快给您答复。谢谢您的支持!

姓名
邮箱
手机号码
标题
留言内容
验证码

一种行-列分离控制的可重构传输阵列设计

田修稳 宋立众

田修稳, 宋立众. 一种行-列分离控制的可重构传输阵列设计[J]. 电子与信息学报, 2022, 44(12): 4104-4110. doi: 10.11999/JEIT211057
引用本文: 田修稳, 宋立众. 一种行-列分离控制的可重构传输阵列设计[J]. 电子与信息学报, 2022, 44(12): 4104-4110. doi: 10.11999/JEIT211057
TIAN Xiuwen, SONG Lizhong. A Reconfgurable Transmitarray Based on Row-column Beamsteering Method[J]. Journal of Electronics & Information Technology, 2022, 44(12): 4104-4110. doi: 10.11999/JEIT211057
Citation: TIAN Xiuwen, SONG Lizhong. A Reconfgurable Transmitarray Based on Row-column Beamsteering Method[J]. Journal of Electronics & Information Technology, 2022, 44(12): 4104-4110. doi: 10.11999/JEIT211057

一种行-列分离控制的可重构传输阵列设计

doi: 10.11999/JEIT211057 cstr: 32379.14.JEIT211057
基金项目: 国家自然科学基金(61971157),国防科技重点实验室基金(6142401200401),航空科学基金(201901077005),民用航天技术预先研究项目(D040301)
详细信息
    作者简介:

    田修稳:男,博士生,研究方向为可重构传输/反射阵列、低成本相控阵天线

    宋立众:男,博士,教授,研究方向为天线技术、极化雷达技术、电子对抗、微波电路与器件

    通讯作者:

    宋立众 songlz@hit.edu.cn

  • 中图分类号: TN82

A Reconfgurable Transmitarray Based on Row-column Beamsteering Method

Funds: The National Natural Science Foundation of China (61971157), The Foundation of the Key Laboratory of Science and Technology for National Defense (6142401200401), The Science Foundation of Aeronautics of China (201901077005), The Research Project on Civil Aerospace Technology in Advance(D040301)
  • 摘要: 为了简化可重构传输阵列(RTA)的控制电路,该文提出一种行-列分离控制的可重构传输阵列。该传输阵列由双层频率选择表面(FSS)组成。将变容二极管加载到FSS单元中,采用一种行-列分离的波束控制方法来调控RTA单元两侧直流电压(DC),每一条线路能够控制每一行或每一列单元。由于RTA单元调控相位能力有限,该文采用了一种相位修正的方法来减少RTA单元的相位误差。仿真结果表明:在方向图E面上,伴随着–1.7 dB增益波动,该RTA的最大扫描波束角度为39°,同时,在方向图H面上,伴随着–3 dB增益波动,该RTA的最大扫描波束角度达到了33°。所设计的RTA具有简单的控制电路和低成本等优点,可以应用于雷达系统和现代通信系统中。
  • 图  1  RTA单元结构和等效电路示意图

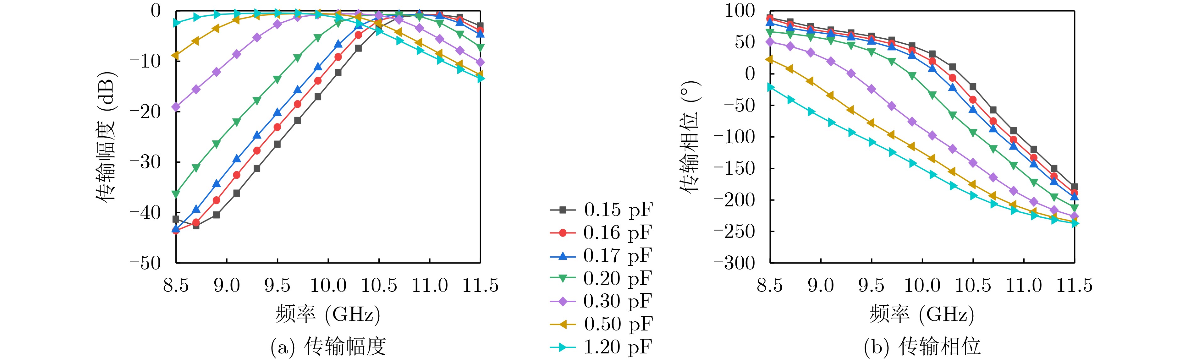
    图  2  RTA单元传输幅度与传输相位

    图  3  在不同入射角度上RTA单元传输特性

    图  4  RTA波束控制原理示意图

    图  5  RTA结构与控制电路示意图

    图  6  RTA和喇叭天线结构

    图  7  RTA扫描波束结果

    表  1  10.4 GHz 处RTA扫描波束性能

    $ \theta $(E面)Gain(dB)SLL(dB)$ \theta $(H面)Gain(dB)SLL(dB)
    17.6–10.717.8–11.3
    16°16.9–9.314°17.3–9.0
    29°16.2–5.728°16.7–7.3
    39°15.9–5.433°14.8–4.9
    下载: 导出CSV

    表  2  与相关文献对比

    文献阵列厚度(mm)波束扫描维度控制线路方式波束扫描角度范围(°)
    文献[14]721行控制±30
    文献[15]7.12单元独立控制±45
    文献[18]3.242单元独立控制±50
    文献[20]31行控制±45
    本文7.0362行和列分别控制±39, ±33
    下载: 导出CSV
  • [1] 徐常志, 靳一, 李立, 等. 面向6G的星地融合无线传输技术[J]. 电子与信息学报, 2021, 43(1): 28–36. doi: 10.11999/JEIT200363

    XU Changzhi, JIN Yi, LI Li, et al. Wireless transmission technology of satellite-terrestrial integration for 6G mobile communication[J]. Journal of Electronics &Information Technology, 2021, 43(1): 28–36. doi: 10.11999/JEIT200363
    [2] RAO J B L, TRUNK G V, and PATEL D P. Two low-cost phased arrays[J]. IEEE Aerospace and Electronic Systems Magazine, 1997, 12(6): 39–44. doi: 10.1109/PAST.1996.565948
    [3] VELJOVIC M and SKRIVERVIK A K. Ultralow-profile circularly polarized reflectarray antenna for CubeSat intersatellite links in K-band[J]. IEEE Transactions on Antennas and Propagation, 2021, 69(8): 4588–4597. doi: 10.1109/TAP.2021.3060076
    [4] TRAMPLER M E, LOVATO R E, and GONG Xun. Dual-resonance continuously beam-scanning X-band reflectarray antenna[J]. IEEE Transactions on Antennas and Propagation, 2020, 68(8): 6080–6087. doi: 10.1109/TAP.2020.2989559
    [5] GUO Lu, YU Huiting, CHE Wenquan, et al. A broadband reflectarray antenna using single-layer rectangular patches embedded with inverted l-shaped slots[J]. IEEE Transactions on Antennas and Propagation, 2019, 67(5): 3132–3139. doi: 10.1109/TAP.2019.2900382
    [6] YANG Shuyang, YAN Zehong, CAI Mingbo, et al. A high-efficiency double-layer transmitarray antenna using low-loss dual-linearly polarized elements[J]. IEEE Antennas and Wireless Propagation Letters, 2020, 19(12): 2378–2382. doi: 10.1109/LAWP.2020.3033460
    [7] YI Xiangjie, SU Tao, LI Xi, et al. A Double-layer wideband transmitarray antenna using two degrees of freedom elements around 20 GHz[J]. IEEE Transactions on Antennas and Propagation, 2019, 67(4): 2798–2802. doi: 10.1109/TAP.2019.2893265
    [8] YI Huan, QU Shiwei, NG K B, et al. Terahertz wavefront control on both sides of the cascaded metasurfaces[J]. IEEE Transactions on Antennas and Propagation, 2018, 66(1): 209–216. doi: 10.1109/TAP.2017.2772021
    [9] DENG Ruyuan, XU Shenheng, YANG Fan, et al. An FSS-Backed Ku/Ka quad-band reflectarray antenna for satellite communications[J]. IEEE Transactions on Antennas and Propagation, 2018, 66(8): 4353–4358. doi: 10.1109/TAP.2018.2835725
    [10] MENG Fanji and SHARMA S K. A wideband resonant cavity antenna with compact partially reflective surface[J]. IEEE Transactions on Antennas and Propagation, 2020, 68(2): 1155–1160. doi: 10.1109/TAP.2019.2938589
    [11] AZIZ A, YANG Fan, XU Shenheng, et al. A high-gain dual-band and dual-polarized transmitarray using novel loop elements[J]. IEEE Antennas and Wireless Propagation Letters, 2019, 18(6): 1213–1217. doi: 10.1109/LAWP.2019.2912645
    [12] CHEN Ke, Feng Yijun, MONTICONE F, et al. A reconfigurable active Huygens’ metalens[J]. Advanced Materials, 2017, 29(17): 1606422. doi: 10.1002/adma.201606422
    [13] ZHU Boo, CHEN Ke, JIA Nan, et al. Dynamic control of electromagnetic wave propagation with the equivalent principle inspired tunable metasurface[J]. Scientific Reports, 2014, 4: 4971. doi: 10.1038/srep04971.
    [14] JIANG Tao, WANG Zhiyu, LI Dong, et al. Low-DC voltage-controlled steering-antenna radome utilizing tunable active metamaterial[J]. IEEE Transactions on Microwave Theory and Techniques, 2012, 60(1): 170–178. doi: 10.1109/TMTT.2011.2171981
    [15] REIS J R, CALDEIRINHA R F S, HAMMOUDEH A, et al. Electronically reconfigurable FSS-inspired transmitarray for 2-D beamsteering[J]. IEEE Transactions on Antennas and Propagation, 2017, 65(9): 4880–4885. doi: 10.1109/TAP.2017.2723087
    [16] HUANG Cheng, PAN Wenbo, and LUO Xiangang. Low-loss circularly polarized transmitarray for beam steering application[J]. IEEE Transactions on Antennas and Propagation, 2016, 64(10): 4471–4476. doi: 10.1109/TAP.2016.2586580
    [17] HUANG Cheng, PAN Wenbo, MA Xiaoliang, et al. Using reconfigurable transmitarray to achieve beam-steering and polarization manipulation applications[J]. IEEE Transactions on Antennas and Propagation, 2015, 63(11): 4801–4810. doi: 10.1109/TAP.2015.2479648
    [18] LUO Chuanwei, ZHAO Gang, JIAO Yongchang, et al. Wideband 1 bit reconfigurable transmitarray antenna based on polarization rotation element[J]. IEEE Antennas and Wireless Propagation Letters, 2021, 20(5): 798–802. doi: 10.1109/LAWP.2021.3063539
    [19] WANG Yu, XU Shenheng, CAO Fan, et al. 1 bit dual-linear polarized reconfigurable transmitarray antenna using asymmetric dipole elements with parasitic bypass dipoles[J]. IEEE Transactions on Antennas and Propagation, 2021, 69(2): 1188–1192. doi: 10.1109/TAP.2020.3005713
    [20] LI Huan, MA Chao, ZHOU Tianyi, et al. Reconfigurable Fresnel lens based on an active second-order bandpass frequency-selective surface[J]. IEEE Transactions on Antennas and Propagation, 2020, 68(5): 4054–4059. doi: 10.1109/TAP.2019.2948392
  • 加载中
图(7) / 表(2)
计量
  • 文章访问数:  1196
  • HTML全文浏览量:  620
  • PDF下载量:  124
  • 被引次数: 0
出版历程
  • 收稿日期:  2021-09-29
  • 修回日期:  2022-01-15
  • 录用日期:  2022-01-20
  • 网络出版日期:  2022-02-03
  • 刊出日期:  2022-12-10

目录

    /

    返回文章
    返回