高级搜索

留言板

尊敬的读者、作者、审稿人, 关于本刊的投稿、审稿、编辑和出版的任何问题, 您可以本页添加留言。我们将尽快给您答复。谢谢您的支持!

姓名
邮箱
手机号码
标题
留言内容
验证码

基于旋磁非线性传输线的小型化强电磁脉冲源的仿真研究

朱丹妮 孟进 黄立洋 崔言程 袁玉章 王海涛

朱丹妮, 孟进, 黄立洋, 崔言程, 袁玉章, 王海涛. 基于旋磁非线性传输线的小型化强电磁脉冲源的仿真研究[J]. 电子与信息学报, 2022, 44(2): 737-744. doi: 10.11999/JEIT200912
引用本文: 朱丹妮, 孟进, 黄立洋, 崔言程, 袁玉章, 王海涛. 基于旋磁非线性传输线的小型化强电磁脉冲源的仿真研究[J]. 电子与信息学报, 2022, 44(2): 737-744. doi: 10.11999/JEIT200912
ZHU Danni, MENG Jin, HUANG Liyang, CUI Yancheng, YUAN Yuzhang, WANG Haitao. Simulation Research on a Compact High Power Microwave Source Based on Gyromagnetic Nonlinear Transmission Lines[J]. Journal of Electronics & Information Technology, 2022, 44(2): 737-744. doi: 10.11999/JEIT200912
Citation: ZHU Danni, MENG Jin, HUANG Liyang, CUI Yancheng, YUAN Yuzhang, WANG Haitao. Simulation Research on a Compact High Power Microwave Source Based on Gyromagnetic Nonlinear Transmission Lines[J]. Journal of Electronics & Information Technology, 2022, 44(2): 737-744. doi: 10.11999/JEIT200912

基于旋磁非线性传输线的小型化强电磁脉冲源的仿真研究

doi: 10.11999/JEIT200912 cstr: 32379.14.JEIT200912
基金项目: 国家自然科学基金(51907202)
详细信息
    作者简介:

    朱丹妮:女,1989年生,博士,助理研究员,主要研究方向为高功率微波技术、强流相对论真空电子学

    孟进:男,1977年生,教授,博士生导师,主要研究方向为电磁兼容与电磁攻防

    黄立洋:男,1991年生,博士,助理研究员,主要研究方向为电磁场数值计算

    崔言程:男,1994年生,博士生,主要研究方向为高功率微波技术

    袁玉章:男,1989年生,博士,助理研究员,主要研究方向为高功率微波技术

    王海涛:男,1990年生,博士,助理研究员,主要研究方向为高功率微波技术

    通讯作者:

    孟进 mengjinemc@163.com

  • 中图分类号: O441

Simulation Research on a Compact High Power Microwave Source Based on Gyromagnetic Nonlinear Transmission Lines

Funds: The National Natural Science Foundation of China (51907202)
  • 摘要: 与传统基于电真空器件的窄谱高功率微波源相比,基于旋磁非线性传输线(GNLTL)的宽谱强电磁脉冲源无须驱动电子束、导引磁场和真空条件,具有能量效率高、工作频率可调以及可重频运行等优势,是一种结构简单、适合小型化和固态化的技术方案。该文通过理论分析其产生射频振荡和脉冲陡化的工作机制,并利用商业软件建立一套可视化的2-D GNLTL仿真模型进行验证。通过仿真分别研究不同注入电压和不同轴向偏置磁场下的旋磁输出脉冲的时域和频域特性。模拟结果表明:随着注入电压增大,经调制的振荡电压峰值升高,而调制深度则是先增加后减小到几乎不变,输出电压上升沿减小后趋于稳定,而中心频率则随着注入电压增大而增加;随着偏置磁场增加,输出振荡峰值电压和调制深度均是先增大后减小,输出电压上升沿先减小后增大,而中心频率先减小后增大。
  • 图  1  GNLTL的工作原理

    图  2  磁矩阻尼进动示意图

    图  3  GNLTL仿真模型的剖面图,蓝色箭头表示集总端口

    图  4  Uin=25 kV, Hz=25 kA/m时旋磁射频输出的电压波形和频谱

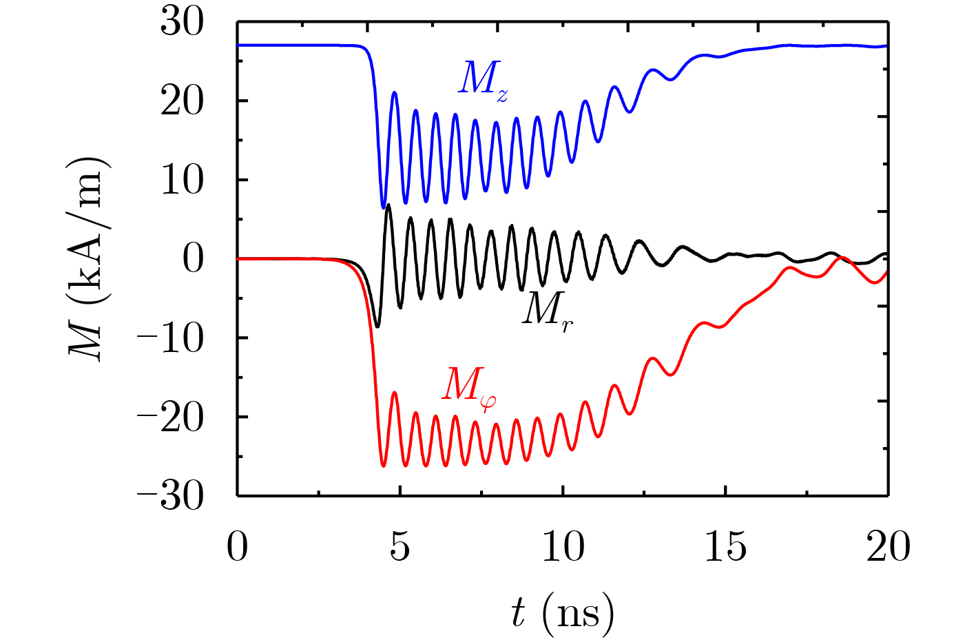
    图  5  Uin=25 kV, Hz=25 kA/m时铁氧体磁环内部的各方向磁化强度的时变情况

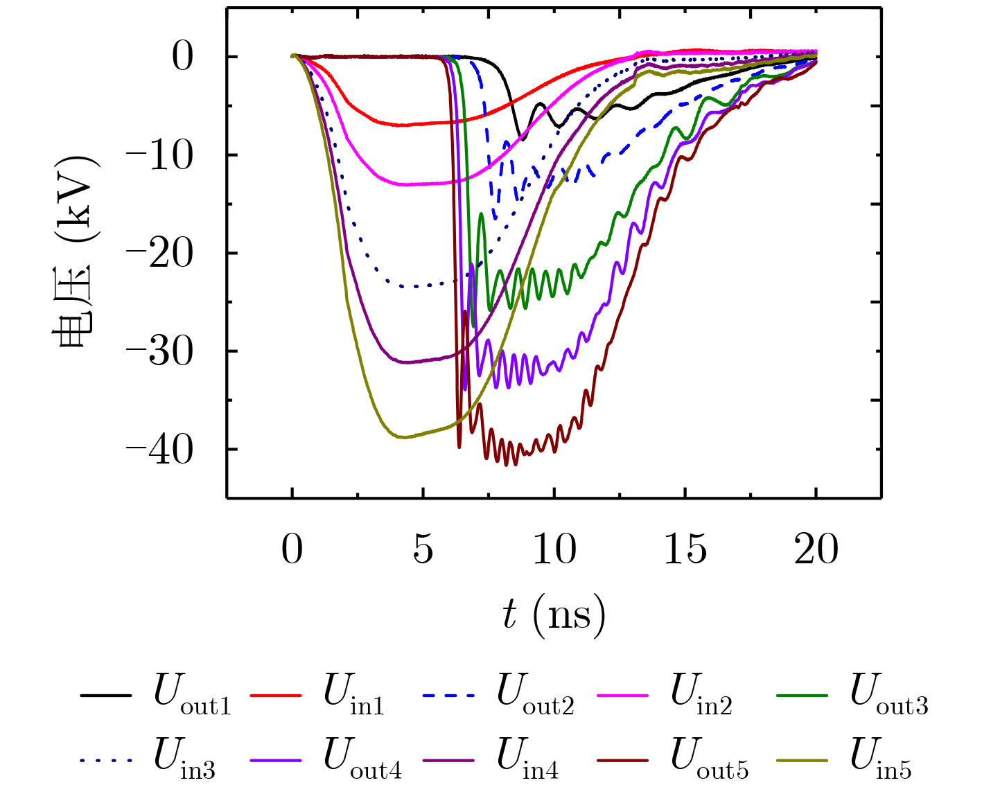
    图  6  Hz=25 kA/m时不同注入电压下输出电压时域波形

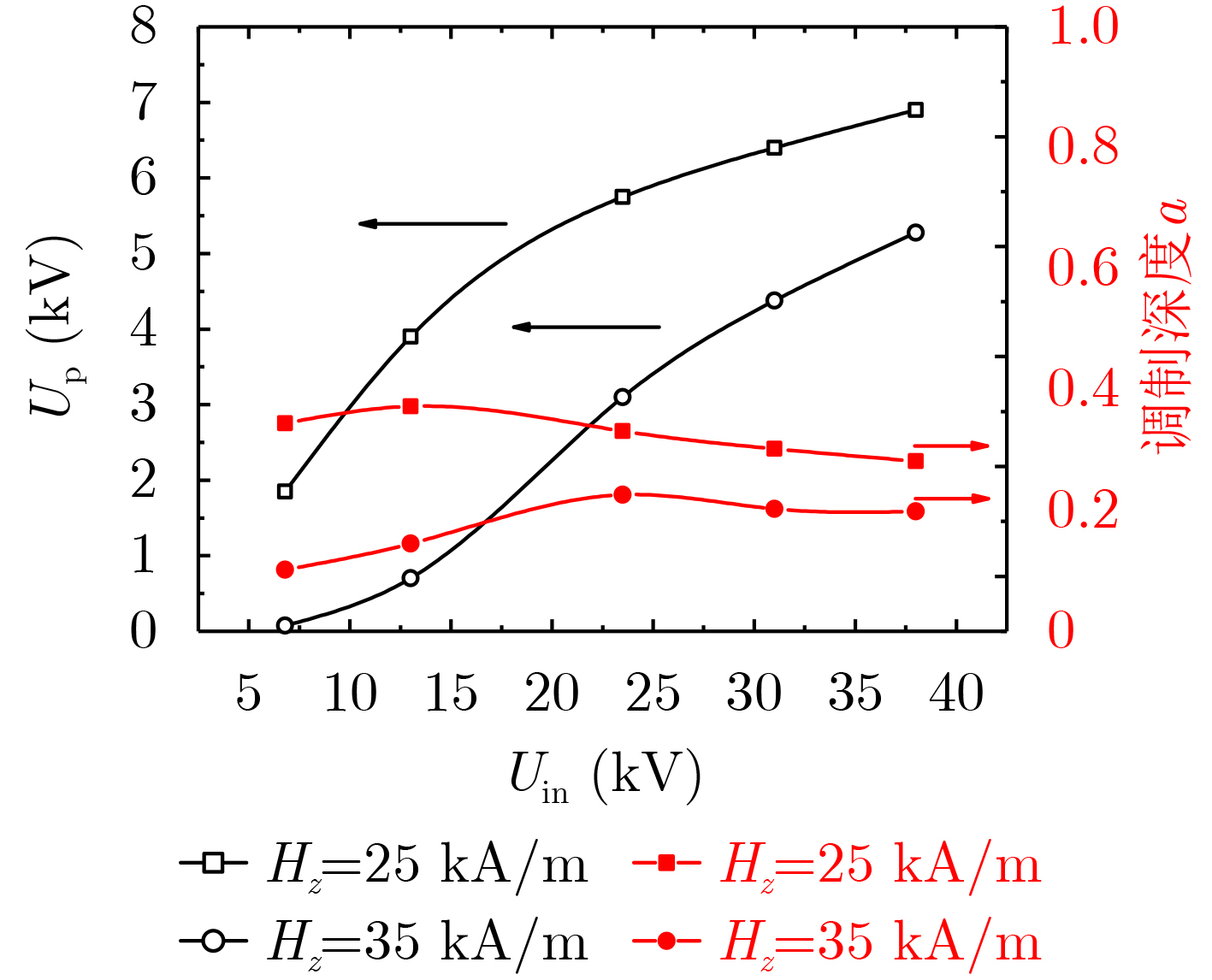
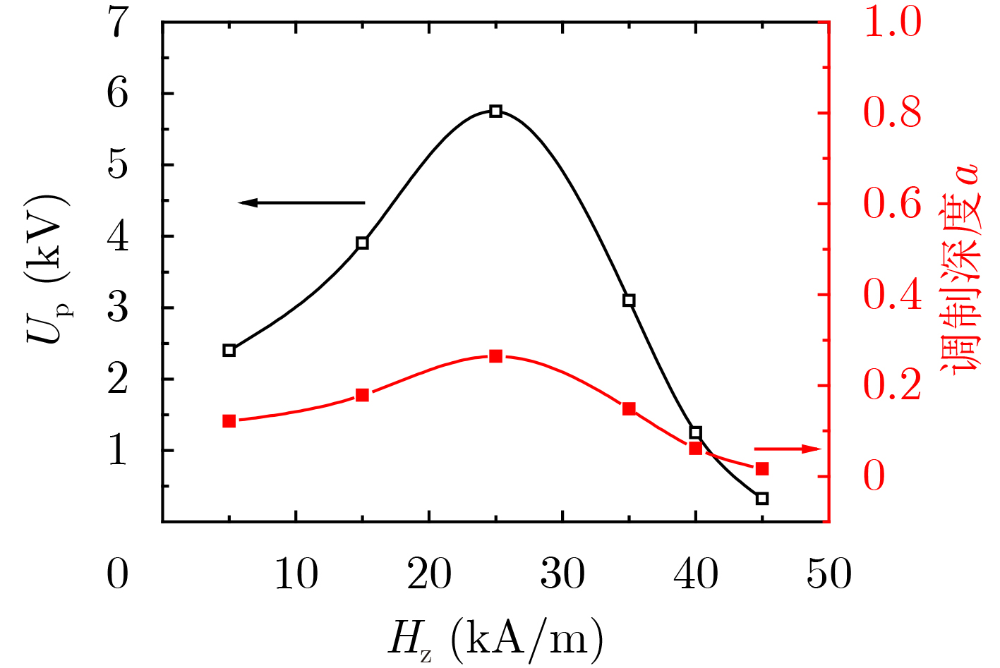
    图  7  输出振荡峰值电压和调制深度随着不同偏置磁场的变化

    图  8  输出电压上升沿随着不同注入电压的变化

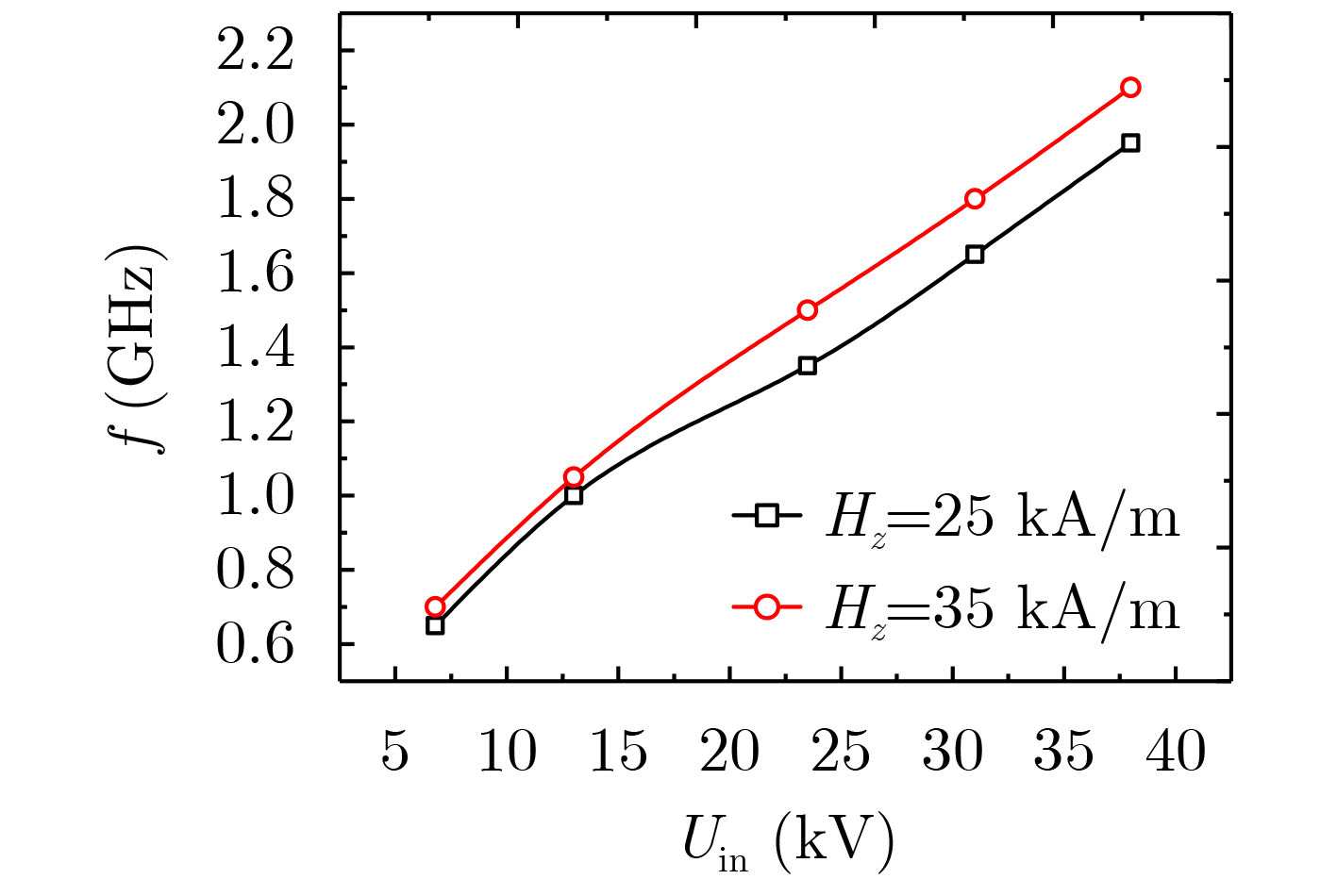
    图  9  旋磁振荡中心频率随着不同注入电压的变化

    图  10  输出电压上升沿随着不同偏置磁场的变化

    图  11  输出电压上升沿随着不同偏置磁场的变化

    图  12  旋磁振荡中心频率随着不同偏置磁场的变化

    表  1  同轴GNLTL射频源的研究现状

    研究机构充电电压(kV)峰值功率(MW)工作中心频率(GHz)
    俄罗斯大电流所[6]250260.001.20
    俄罗斯大电流所[8]130110.001.95
    英国MBDA Ltd[12]8089.300.77
    美国得克萨斯大学(NiZn)[1]408.404.10
    美国得克萨斯大学(YIG)[20]402.033.01
    下载: 导出CSV

    表  2  不同电压下对应的角向磁场强度

    编号
    12345
    Uin(kV)6.8013.0023.5031.0038.00
    Hϕ(kA/m)9.6918.5233.4844.1754.14
    下载: 导出CSV
  • [1] BRAGG J W B, DICKENS J C, and NEUBER A A. Ferrimagnetic nonlinear transmission lines as high-power microwave sources[J]. IEEE Transactions on Plasma Science, 2013, 41(1): 232–237. doi: 10.1109/TPS.2012.2226169
    [2] ROMANCHENKO I V and ROSTOV V V. Energy levels of oscillations in a nonlinear transmission line filled with saturated ferrite[J]. Technical Physics, 2010, 55(7): 1024–1027. doi: 10.1134/S1063784210070170
    [3] ROMANCHENKO I V, ROSTOV V V, GUNIN A V, et al. High power microwave beam steering based on gyromagnetic nonlinear transmission lines[J]. Journal of Applied Physics, 2015, 117(21): 214907. doi: 10.1063/1.4922280
    [4] ROSTOV V V, EL'CHANINOV A A, KLIMOV A I, et al. Phase control in parallel channels of shock-excited microwave nanosecond oscillators[J]. IEEE Transactions on Plasma Science, 2013, 41(10): 2735–2741. doi: 10.1109/TPS.2013.2270571
    [5] ROSTOV V V, BYKOV N M, BYKOV D N, et al. Generation of subgigawatt RF pulses in nonlinear transmission lines[J]. IEEE Transactions on Plasma Science, 2010, 38(10): 2681–2685. doi: 10.1109/TPS.2010.2048722
    [6] ROMANCHENKO I V, ROSTOV V V, GUBANOV V P, et al. Repetitive sub-gigawatt RF source based on gyromagnetic nonlinear transmission line[J]. Review of Scientific Instruments, 2012, 83(7): 074705. doi: 10.1063/1.4738641
    [7] GUSEV A I, PEDOS M S, RUKIN S N, et al. Solid-state repetitive generator with a gyromagnetic nonlinear transmission line operating as a peak power amplifier[J]. Review of Scientific Instruments, 2017, 88(7): 074703. doi: 10.1063/1.4993732
    [8] ULMASKULOV M R, PEDOS M S, RUKIN S N, et al. High repetition rate multi-channel source of high-power RF-modulated pulses[J]. Review of Scientific Instruments, 2015, 86(7): 074702. doi: 10.1063/1.4926458
    [9] PRATHER W D, BAUM C E, TORRES R J, et al. Survey of worldwide high-power wideband capabilities[J]. IEEE Transactions on Electromagnetic Compatibility, 2004, 46(3): 335–344. doi: 10.1109/TEMC.2004.831826
    [10] REALE D V, PARSON J M, NEUBER A A, et al. Investigation of a stripline transmission line structure for gyromagnetic nonlinear transmission line high power microwave sources[J]. Review of Scientific Instruments, 2016, 87(3): 034706. doi: 10.1063/1.4942246
    [11] GUBANOV V P, GUNIN A V, KOVAL’CHUK O B, et al. Effective transformation of the energy of high-voltage pulses into high-frequency oscillations using a saturated-ferrite-loaded transmission line[J]. Technical Physics Letters, 2009, 35(7): 626–628. doi: 10.1134/S1063785009070116
    [12] CHADWICK S J F, SEDDON N, and RUKIN S. A novel solid-state HPM source based on a gyromagnetic NLTL and SOS-based pulse generator[C]. 2011 IEEE Pulsed Power Conference, Chicago, America, 2011: 178–181.
    [13] BRAGG J W B, SULLIVAN III W W, MAUCH D, et al. All solid-state high power microwave source with high repetition frequency[J]. Review of Scientific Instruments, 2013, 84(5): 054703. doi: 10.1063/1.4804196
    [14] ROMANCHENKO I V, PRIPUTNEV P V, and ROSTOV V V. RF pulse formation dynamics in gyromagnetic nonlinear transmission lines[C]. Journal of Physics: Conference Series 5th International Congress on Energy Fluxes and Radiation Effects, Tomsk, Russia, 2017: 012034.
    [15] 廖勇, 徐刚, 谢平, 等. 非线性传输线数值模拟方法[J]. 强激光与粒子束, 2015, 27(8): 083001. doi: 10.11884/HPLPB201527.083001

    LIAO Yong, XU Gang, XIE Ping, et al. Numerical simulation of non-linear transmission line[J]. High Power Laser and Particle Beams, 2015, 27(8): 083001. doi: 10.11884/HPLPB201527.083001
    [16] 谢平, 徐刚, 廖勇, 等. 非线性传输线产生射频脉冲原理研究[J]. 强激光与粒子束, 2014, 26(4): 043002. doi: 10.11884/HPLPB201426.043002

    XIE Ping, XU Gang, LIAO Yong, et al. Research on nonlinear transmission line generating radio-frequency pulses[J]. High Power Laser and Particle Beams, 2014, 26(4): 043002. doi: 10.11884/HPLPB201426.043002
    [17] 廖勇, 张现福, 徐刚, 等. 非线性传输线高功率实验[J]. 强激光与粒子束, 2016, 28(5): 053007. doi: 10.11884/HPLPB201628.053007

    LIAO Yong, ZHANG Xianfu, XU Gang, et al. High Power experiment of nonlinear transmission lines system[J]. High Power Laser and Particle Beams, 2016, 28(5): 053007. doi: 10.11884/HPLPB201628.053007
    [18] TIE Weihao, MENG Cui, ZHAO Chengguang, et al. Optimized analysis of sharpening characteristics of a compact RF pulse source based on a gyro-magnetic nonlinear transmission line for ultrawideband electromagnetic pulse application[J]. Plasma Science and Technology, 2019, 21(9): 095503. doi: 10.1088/2058-6272/ab2626
    [19] 铁维昊, 赵程光, 孟萃, 等. 旋磁型非线性传输线调制脉冲特性数值分析[J]. 高电压技术, 2019, 45(1): 301–309. doi: 10.13336/j.1003-6520.hve.20181229028

    TIE Weihao, ZHAO Chengguang, MENG Cui, et al. Numerical analysis on modulated RF pulse characteristics of gyro-magnetic nonlinear transmission line[J]. High Voltage Engineering, 2019, 45(1): 301–309. doi: 10.13336/j.1003-6520.hve.20181229028
    [20] REALE D V, BRAGG J W B, GONSALVES N R, et al. Bias-field controlled phasing and power combination of gyromagnetic nonlinear transmission lines[J]. Review of Scientific Instruments, 2014, 85(5): 054706. doi: 10.1063/1.4878339
    [21] REALE D V. Coaxial ferrimagnetic based gyromagnetic nonlinear transmission lines as compact high power microwave sources[D]. [Ph. D. dissertation], Texas Tech University, 2013.
    [22] KARELIN S Y, KRASOVITSKY V B, MAGDA I I, et al. RF Oscillations in a coaxial transmission line with a saturated ferrite: 2-D simulation and experiment[C]. 2016 8th International Conference on Ultrawideband and Ultrashort Impulse Signals (UWBUSIS), Odessa, Ukraine, 2016: 60–63.
    [23] WEINER M and SILBER L. Pulse sharpening effects in ferrites[J]. IEEE Transactions on Magnetics, 1981, 17(4): 1472–1477. doi: 10.1109/TMAG.1981.1061243
    [24] BRAGG J W B, DICKENS J C, and NEUBER A A. Material selection considerations for coaxial, ferrimagnetic-based nonlinear transmission lines[J]. Journal of Applied Physics, 2013, 113(6): 064904. doi: 10.1063/1.4792214
    [25] DOLAN J E and BOLTON H R. Shock front development in ferrite-loaded coaxial lines with axial bias[J]. IEE Proceedings - Science, Measurement and Technology, 2000, 147(5): 237–242. doi: 10.1049/ip-smt:20000447
    [26] ROSSI J O, YAMASAKI F S, SCHAMILOGLU E, et al. Operation analysis of a novel concept of RF source known as gyromagnetic line[C]. 2017 SBMO/IEEE MTT-S International Microwave and Optoelectronics Conference (IMOC), Aguas de Lindoia, Brazil, 2017: 1–4.
    [27] ROMANCHENKO I V, ROSTOV V V, GUNIN A V, et al. Gyromagnetic RF source for interdisciplinary research[J]. Review of Scientific Instruments, 2017, 88(2): 024703. doi: 10.1063/1.4975182
  • 加载中
图(12) / 表(2)
计量
  • 文章访问数:  1686
  • HTML全文浏览量:  1103
  • PDF下载量:  120
  • 被引次数: 0
出版历程
  • 收稿日期:  2020-10-26
  • 修回日期:  2021-07-10
  • 录用日期:  2021-07-10
  • 网络出版日期:  2021-12-06
  • 刊出日期:  2022-02-25

目录

    /

    返回文章
    返回