高级搜索

留言板

尊敬的读者、作者、审稿人, 关于本刊的投稿、审稿、编辑和出版的任何问题, 您可以本页添加留言。我们将尽快给您答复。谢谢您的支持!

姓名
邮箱
手机号码
标题
留言内容
验证码

学生t量测分布下鲁棒粒子滤波算法的设计与实现

王宗原 周卫东

王宗原, 周卫东. 学生t量测分布下鲁棒粒子滤波算法的设计与实现[J]. 电子与信息学报, 2019, 41(12): 2957-2964. doi: 10.11999/JEIT190144
引用本文: 王宗原, 周卫东. 学生t量测分布下鲁棒粒子滤波算法的设计与实现[J]. 电子与信息学报, 2019, 41(12): 2957-2964. doi: 10.11999/JEIT190144
Zongyuan WANG, Weidong ZHOU. Design and Implementation of Robust Particle Filter Algorithms under Student-t Measurement Distribution[J]. Journal of Electronics & Information Technology, 2019, 41(12): 2957-2964. doi: 10.11999/JEIT190144
Citation: Zongyuan WANG, Weidong ZHOU. Design and Implementation of Robust Particle Filter Algorithms under Student-t Measurement Distribution[J]. Journal of Electronics & Information Technology, 2019, 41(12): 2957-2964. doi: 10.11999/JEIT190144

学生t量测分布下鲁棒粒子滤波算法的设计与实现

doi: 10.11999/JEIT190144 cstr: 32379.14.JEIT190144
基金项目: 国家自然科学基金(61773133),中央高校基本科研业务费(3072019CF2419)
详细信息
    作者简介:

    王宗原:男,1977年生,讲师,研究方向为统计信号检测与处理

    周卫东:男,1966年生,教授,研究方向为卫星导航、组合导航技术

    通讯作者:

    周卫东 zhouweidong@hrbeu.edu.cn

  • 中图分类号: TN911.7

Design and Implementation of Robust Particle Filter Algorithms under Student-t Measurement Distribution

Funds: The National Natural Science Foundation of China (61773133), The Fundamental Research Funds of the Central Universities (3072019CF2419)
  • 摘要: 野值是一种异于总体数据的非高斯量测值,在实际传输中野值的加入常使信号出现厚尾特性。粒子滤波是基于贝叶斯框架的适用于非线性/非高斯系统的一种滤波方法。如果在量测噪声中存在野值会使粒子滤波的精度下降。该文利用学生t分布建模量测噪声模型,结合变分贝叶斯(VB)递推方法设计一种新颖的边缘粒子滤波(MPF-VBM),它在滤波同时可对量测噪声的包括均值在内的全部参数进行实时估计。进一步,利用该估计算法,在量测噪声时变条件下研究了噪声关联的粒子滤波算法(MPF-VBM-COR)。通过对典型单变量增长模型的仿真,验证了所提两种算法相比于已有算法在状态估计上具有更优越的鲁棒性。
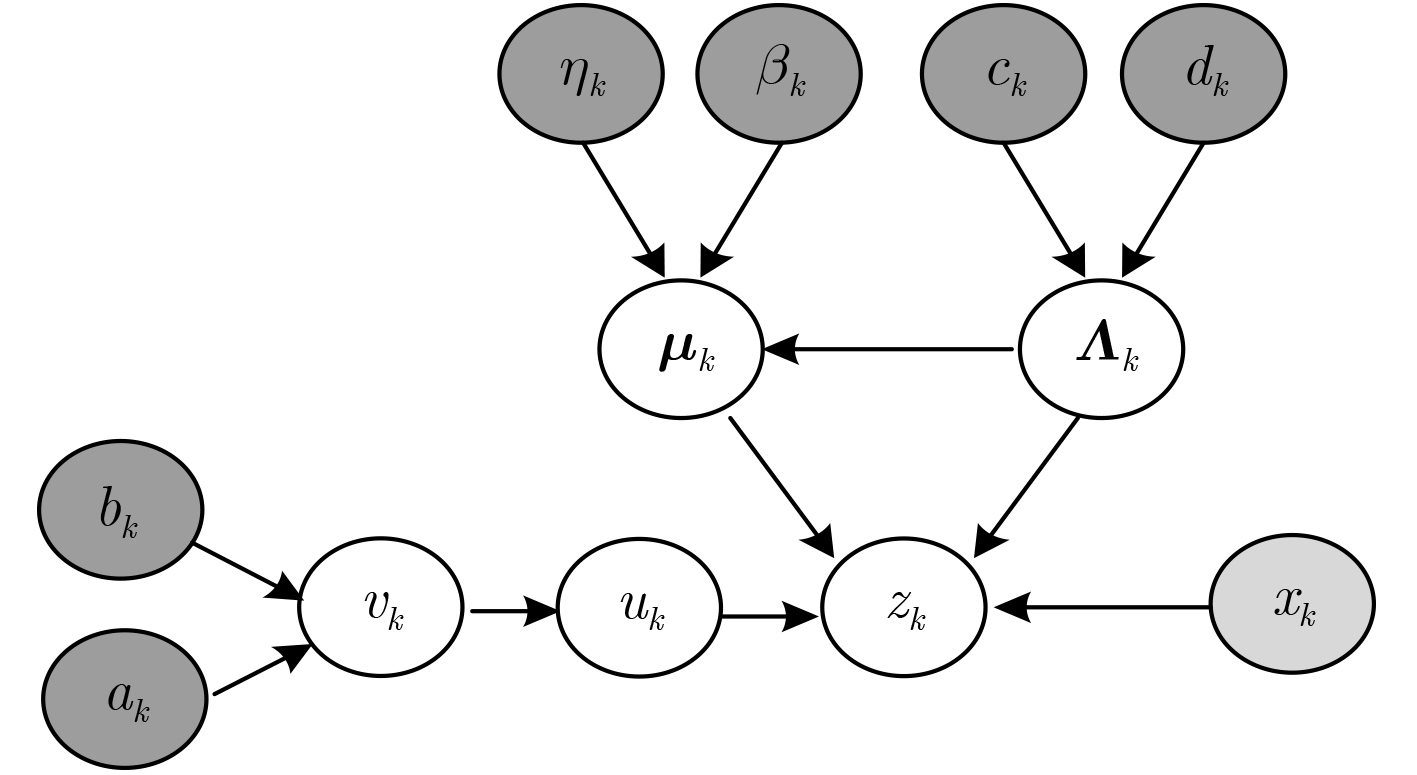
  • 图  1  贝叶斯推断图模型

    图  2  算法噪声均值估计比较图

    图  3  3种算法对应第1种噪声RMSE比较图

    图  5  3种算法对应第3种噪声RMSE比较图

    图  4  3种算法对应第2种噪声RMSE比较图

    图  6  3种算法对第1种关联噪声的ARMSE比较图

    图  8  3种算法对第3种关联噪声的状态ARMSE比较图

    图  7  3种算法对第2种关联噪声的状态ARMSE比较图

    表  1  基于VB带有噪声均值估计的边缘粒子滤波(MPF-VBM)算法

     从分布${ {\text{N} } }\left( { { {\text{x} }_0}\left| { { {\text{m} }_{0\left| 0 \right.} },{ {\text{P} }_{0\left| 0 \right.} } } \right.} \right)$采样粒子${\text{x}}_0^{\left( i \right)}$$i = 1,2, ·\!·\!· ,N$,并且设置权值$\omega _0^{\left( i \right)} = {1 / N}$;初始化超参数$a_0^{\left( i \right)},\;\;b_0^{\left( i \right)},\;\;c_0^{\left( i \right)},\;\;d_0^{\left( i \right)},\nu _0^{\left( i \right)},\text{η} _0^{\left( i \right)}$和$\beta _0^{\left( i \right)}$;计算初
    始参数${\text{μ} _0}$, ${\text{Λ} _0}$和${\nu _0}$期望。对时刻$k = 1,2, ·\!·\!· ,K$
     对每一个粒子$i = 1,2, ·\!·\!· ,N$
     (1) 使用式(25)做噪声参数的时间更新;
     (2) 从状态传递方程$p\left({\text{x} }_k^{\left( i \right)}\left| {\text{x} }_{k - 1}^{\left( i \right)} \right.\right)$做粒子的一步预测;
     (3) 通过新量测${{\text{z}}_k}$用式(15)更新重要性权值;
     (4) 必要的话,粒子重采样;
     (5) 使用式(13),式(14),式(16),式(17),式(18),式(19),式(22),式(23),并利用重采样粒子做噪声参数后验更新,
    $\varTheta _{k\left| k \right.}^{\left( i \right)} = T\left( {\varTheta _{k\left| {k - 1} \right.}^{\left( i \right)},x_k^{\left( i \right)},{z_k}} \right)$;其中$T\left( \cdot \right)$代表参数充分统计量;
     得出当前的噪声参数期望值及对应状态值;
     在$k = = K$前,进行下一次循环。
    下载: 导出CSV

    表  2  对应3种噪声的3种算法的均方根误差平均值(ARMSE)

    量测噪声MPF-VBMMPF-VBSMPF-CP
    N(0,1)+20%U(–20, 20)野值5.56735.54688.5571
    N(6, 1)无野值4.61708.11418.8132
    N(6,5)+20%U(20, 60)野值6.33538.62888.7588
    运行时间(s)0.010670.0071870.005587
    下载: 导出CSV

    表  3  对应3种噪声的3种算法的均方根误差平均值(ARMSE)

    量测噪声MPF-VBMMPF-VB-CORPF-COR
    ${{N} }\left( {0,\;{5 / 2} } \right)$3.86623.40253.1384
    ${{N} }\left( {0,\;R} \right)$ $R$时变5.51784.55365.0392
    ${{N} }\left( {0,\;{5 / 2} } \right)$+20%
    Unif (–5, 5)野值
    8.58928.757411.0393
    下载: 导出CSV
  • XU Long, MA Kemao, LI Wenshuo, et al. Particle filtering for networked nonlinear systems subject to random one-step sensor delay and missing measurements[J]. Neurocomputing, 2018, 275: 2162–2169. doi: 10.1016/j.neucom.2017.10.059
    STORVIK G. Particle filters for state-space models with the presence of unknown static parameters[J]. IEEE Transactions on Signal Processing, 2002, 50(2): 281–289. doi: 10.1109/78.978383
    SAHA S, ÖZKAN E, GUSTAFSSON F, et al. Marginalized particle filters for Bayesian estimation of Gaussian noise parameters[C]. The 13th International Conference on Information Fusion, Edinburgh, UK, 2010: 1–8. doi: 10.1109/ICIF.2010.5712016.
    ÖZKAN E, ŠMÍDL V, SAHA S, et al. Marginalized adaptive particle filtering for nonlinear models with unknown time-varying noise parameters[J]. Automatica, 2013, 49(6): 1566–1575. doi: 10.1016/j.automatica.2013.02.046
    ZHAO Yujia, FATEHI A, and HUANG Biao. Robust estimation of ARX models with time varying time delays using variational Bayesian approach[J]. IEEE Transactions on Cybernetics, 2018, 48(2): 532–542. doi: 10.1109/TCYB.2016.2646059
    PICHÉ R, SÄRKKÄ S, and HARTIKAINEN J. Recursive outlier-robust filtering and smoothing for nonlinear systems using the multivariate student-t distribution[C]. 2012 IEEE International Workshop on Machine Learning for Signal Processing, Santander, Spain, 2012: 1–6. doi: 10.1109/MLSP.2012.6349794.
    ZHANG Yonggang, JIA Guangle, LI Ning, et al. A novel adaptive Kalman filter with colored measurement noise[J]. IEEE Access, 2018, 6: 74569–74578. doi: 10.1109/ACCESS.2018.2883040
    HUANG Yulong, ZHANG Yonggang, LI Ning, et al. A novel robust Student's t-based Kalman filter[J]. IEEE Transactions on Aerospace and Electronic Systems, 2017, 53(3): 1545–1554. doi: 10.1109/TAES.2017.2651684
    XU Dingjie, SHEN Chen, and SHEN Feng. A robust particle filtering algorithm with non-Gaussian measurement noise using student-t distribution[J]. IEEE Signal Processing Letters, 2014, 21(1): 30–34. doi: 10.1109/LSP.2013.2289975
    AIT-EL-FQUIH B and HOTEIT I. A variational Bayesian multiple particle filtering scheme for large-dimensional systems[J]. IEEE Transactions on Signal Processing, 2016, 64(20): 5409–5422. doi: 10.1109/TSP.2016.2580524
    GAO Wei, LI Jingchun, ZHOU Guangtao, et al. Adaptive Kalman filtering with recursive noise estimator for integrated SINS/DVL systems[J]. The Journal of Navigation, 2015, 68(1): 142–161. doi: 10.1017/S0373463314000484
    ZHU Hao, LEUNG H, and HE Zhongshi. State estimation in unknown non-Gaussian measurement noise using variational Bayesian technique[J]. IEEE Transactions on Aerospace and Electronic Systems, 2013, 49(4): 2601–2614. doi: 10.1109/TAES.2013.6621839
    CHEN J and MA L. Particle filtering with correlated measurement and process noise at the same time[J]. IET Radar, Sonar & Navigation, 2011, 5(7): 726–730. doi: 10.1049/iet-rsn.2010.0365
    SAHA S and GUSTAFSSON F. Particle filtering with dependent noise processes[J]. IEEE Transactions on Signal Processing, 2012, 60(9): 4497–4508. doi: 10.1109/TSP.2012.2202653
    WANG Zongyuan and ZHOU Weidong. Robust linear filter with parameter estimation under student-t measurement distribution[J]. Circuits, Systems, and Signal Processing, 2019, 38(6): 2445–2470. doi: 10.1007/s00034-018-0972-8
  • 加载中
图(8) / 表(3)
计量
  • 文章访问数:  2941
  • HTML全文浏览量:  1383
  • PDF下载量:  97
  • 被引次数: 0
出版历程
  • 收稿日期:  2019-03-13
  • 修回日期:  2019-07-23
  • 网络出版日期:  2019-07-27
  • 刊出日期:  2019-12-01

目录

    /

    返回文章
    返回