Advanced Search
Volume 48 Issue 1
Jan.  2026
Turn off MathJax
Article Contents
SUN Jingru, MA Wenjing, WANG Chunhua, XUE Xiaoyong. Photosensing Model and Circuit Design of Rod Cells Based on Memristors[J]. Journal of Electronics & Information Technology, 2026, 48(1): 404-416. doi: 10.11999/JEIT250901
Citation: SUN Jingru, MA Wenjing, WANG Chunhua, XUE Xiaoyong. Photosensing Model and Circuit Design of Rod Cells Based on Memristors[J]. Journal of Electronics & Information Technology, 2026, 48(1): 404-416. doi: 10.11999/JEIT250901

Photosensing Model and Circuit Design of Rod Cells Based on Memristors

doi: 10.11999/JEIT250901 cstr: 32379.14.JEIT250901
Funds:  The National Natural Science Foundation of China (62171182,62571183), The Natural Science Foundation Project of Hunan(2025JJ50345), The Natural Science Foundation Project of Chongqing (CSTB2022NSCQ-MSX0770)
  • Received Date: 2025-09-01
  • Accepted Date: 2025-11-05
  • Rev Recd Date: 2025-11-05
  • Available Online: 2025-11-20
  • Publish Date: 2026-01-30
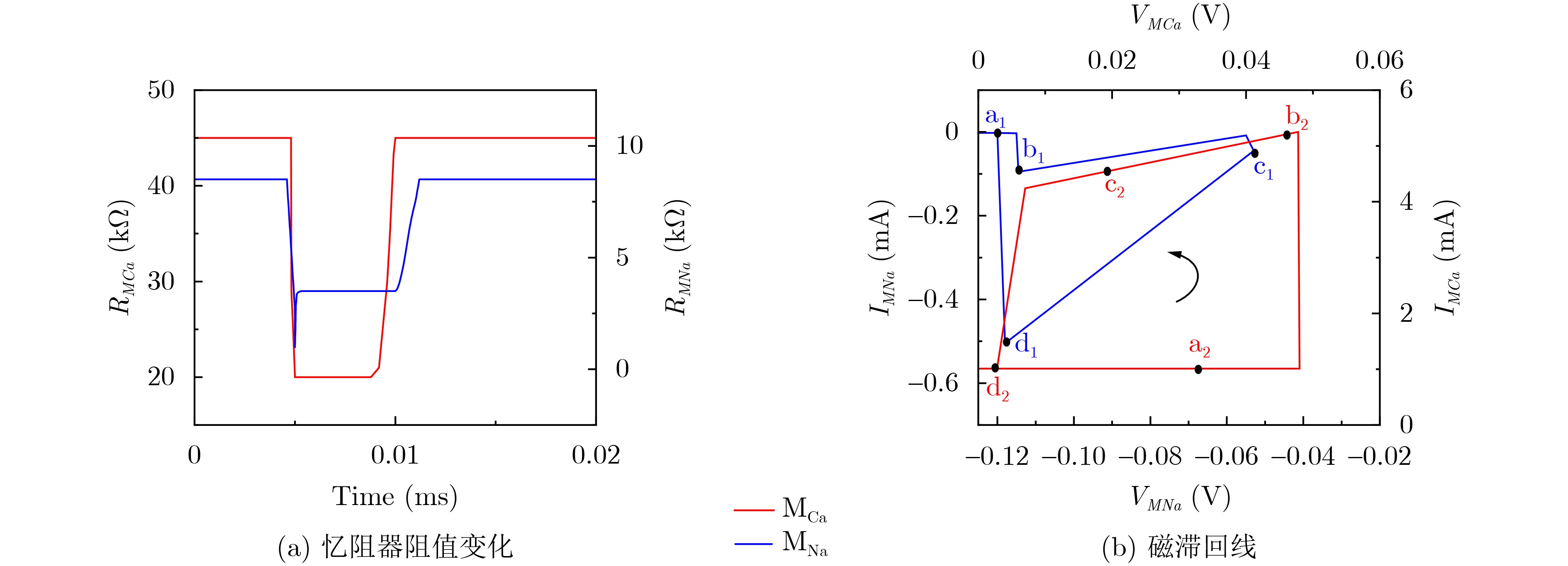
  •   Objective   Visual perception plays a critical role in artificial intelligence, robotics, and the Internet of Things. Although existing visual perception devices have achieved substantial progress, the widespread use of conventional CMOS circuit architectures still results in limitations such as slow sensing speed, complex structures, and high power consumption. In contrast, biological visual perception systems exhibit high response speed, low power consumption, and strong stability. Therefore, designing optical perception circuits inspired by biological visual systems has become an active research direction. Existing biologically inspired optical perception circuits are mainly based on the Leaky Integrate-and-Fire (LIF) model, which enables rapid and low-cost conversion of light intensity signals into spike signals. However, the LIF model only supports basic signal conversion and cannot adequately reproduce the working mechanisms and computational characteristics of biological visual neurons. Therefore, practical applications suffer from limited imaging quality, slow response, and weak adaptability. To address these issues, the structure and operating mechanism of human visual perception cells are investigated, a corresponding photosensing circuit is designed, and spiking camera schemes are proposed to achieve high-speed, low-power, and stable imaging.  Methods   The biological visual system provides valuable inspiration for bionic photosensing circuits due to its fast response, low power consumption, high stability, and strong adaptability. The biological mechanism of photoreceptor cells in the human visual system is analyzed from the perspective of ionic flow, and a mathematical photosensitivity model of rod cells is derived following the construction approach of the Hodgkin-Huxley (HH) model. Based on the closed states of ionic channels in rod cells, a memristor model is designed. Using the proposed memristor model and the mathematical model of photoreceptor cells, a rod-cell photosensing circuit is developed. Its adaptability, conversion speed, stability, and dynamic range are evaluated through simulation to verify effectiveness and bionic characteristics, and the results are compared with those of a photosensing circuit based on the LIF model. To further demonstrate practicality, the proposed rod-cell photosensing circuit is applied to a spiking camera, and its adaptability, speed, power consumption, error, and dynamic range are analyzed and compared with a spiking camera based on a simplified neuron photosensing circuit.  Results and Discussions   Based on the operating principles of photoreceptor cells in the human visual system, a photoreceptor cell model is proposed. Sodium-ion memristors and calcium-ion memristors are introduced to simulate sodium and calcium ion channels in photoreceptor cells, respectively, where the sodium-ion memristor is implemented as a tri-valued memristor. Using the proposed memristor model, a rod-cell photosensing circuit is designed. Under strong illumination, the circuit adapts to light intensity through resistance transitions of the sodium-ion memristor, reducing sensitivity and suppressing the influence of extreme illumination on normal lighting conditions, while maintaining fast conversion speed and a wide dynamic range. The rod-cell photosensing circuit is further combined with the signal conversion circuit to implement a spiking camera. Simulation results show that, compared with spiking cameras based on simplified neuron photosensing circuits and CMOS circuits, the imaging speed increases by 20% and 150%, respectively, while automatic adaptation to extreme illumination, low power consumption, high accuracy, and strong stability are achieved.  Conclusions   Inspired by the operating mechanisms of photoreceptor cells in the visual system, a mathematical model of rod cells and a corresponding memristor model are proposed, and a rod-cell photosensing circuit based on memristors is designed. The circuit reproduces the hyperpolarization and adaptive processes observed in rod-cell photosensing. Through capacitor charge-discharge behavior and memristor resistance transitions, optical signals are converted into voltage signals whose amplitudes vary with light intensity, with higher illumination producing higher voltage amplitudes. Automatic amplitude regulation under strong illumination is achieved, thereby suppressing the influence of extreme light conditions. Compared with simplified neuron photosensing circuits, the proposed rod-cell photosensing circuit provides faster conversion speed, a wide dynamic range from 50 to 5 000 lx, self-adaptation, and improved stability. An intelligent optical sensor array is further constructed, and a spiking camera is implemented by combining the photosensing circuit with a signal conversion circuit and a time-window function. Simulation results confirm clearer imaging under strong background illumination and effective high-speed imaging for both stationary and rapidly moving objects. Compared with spiking cameras based on simplified neuron photosensing circuits and CMOS circuits, imaging speed is improved by 20% and 150%, respectively, while low power consumption, small error, and strong anti-interference capability are maintained.
  • loading
  • [1]
    HE Bin, MIAO Qihang, ZHOU Yanmin, et al. Review of bioinspired vision-tactile fusion perception (VTFP): From humans to humanoids[J]. IEEE Transactions on Medical Robotics and Bionics, 2022, 4(4): 875–888. doi: 10.1109/TMRB.2022.3215749.
    [2]
    宋爱国, 田磊, 倪得晶, 等. 多模态力触觉交互技术及应用[J]. 中国科学: 信息科学, 2017, 47(9): 1183–1197. doi: 10.1360/N112017-00081.

    SONG Aiguo, TIAN Lei, NI Dejing, et al. Multi-mode haptic interaction technique and its application[J]. Scientia Sinica Informationis, 2017, 47(9): 1183–1197. doi: 10.1360/N112017-00081.
    [3]
    王若萱, 吴建平, 徐辉. 自动驾驶汽车感知系统仿真的研究及应用综述[J]. 系统仿真学报, 2022, 34(12): 2507–2521. doi: 10.16182/j.issn1004731x.joss.22-FZ0921.

    WANG Ruoxuan, WU Jianping, and XU Hui. Overview of research and application on autonomous vehicle oriented perception system simulation[J]. Journal of System Simulation, 2022, 34(12): 2507–2521. doi: 10.16182/j.issn1004731x.joss.22-FZ0921.
    [4]
    HUANG Yongjun, MA Liang, HUANG Zihan, et al. High-precision temperature sensor system with mercury-based electromagnetic resonant unit[J]. IEEE Internet of Things Journal, 2024, 11(8): 14671–14681. doi: 10.1109/JIOT.2023.3343568.
    [5]
    付强, 陈向阳, 郑子亮, 等. 仿生扑翼飞行器的视觉感知系统研究进展[J]. 工程科学学报, 2019, 41(12): 1512–1519. doi: 10.13374/j.issn2095-9389.2019.03.08.001.

    FU Qiang, CHEN Xiangyang, ZHENG Ziliang, et al. Research progress on visual perception system of bionic flapping-wing aerial vehicles[J]. Chinese Journal of Engineering, 2019, 41(12): 1512–1519. doi: 10.13374/j.issn2095-9389.2019.03.08.001.
    [6]
    KABILAN R and MUTHUKUMARAN N. A neuromorphic model for image recognition using SNN[C]. 2021 6th International Conference on Inventive Computation Technologies (ICICT), Coimbatore, India, 2021: 720–725. doi: 10.1109/ICICT50816.2021.9358663.
    [7]
    WANG Dashuai, LI Wei, LIU Xiaoguang, et al. UAV environmental perception and autonomous obstacle avoidance: A deep learning and depth camera combined solution[J]. Computers and Electronics in Agriculture, 2020, 175: 105523. doi: 10.1016/j.compag.2020.105523.
    [8]
    LIAO Fuyou, ZHOU Feichi, and CHAI Yang. Neuromorphic vision sensors: Principle, progress and perspectives[J]. Journal of Semiconductors, 2021, 42(1): 013105. doi: 10.1088/1674-4926/42/1/013105.
    [9]
    THEUWISSEN A J P. Solid-State Imaging with Charge-Coupled Devices[M]. Dordrecht: Springer, 1995: 127–160. doi: 10.1007/0-306-47119-1.
    [10]
    BIGAS M, CABRUJA E, FOREST J, et al. Review of CMOS image sensors[J]. Microelectronics Journal, 2006, 37(5): 433–451. doi: 10.1016/j.mejo.2005.07.002.
    [11]
    吴南健. 半导体智能视觉系统芯片[J]. 中兴通讯技术, 2020, 26(2): 38–42. doi: 10.12142/ZTETJ.202002006.

    WU Nanjian. Semiconductor smart vision system chips[J]. ZTE Technology Journal, 2020, 26(2): 38–42. doi: 10.12142/ZTETJ.202002006.
    [12]
    SCHNAPF J L and BAYLOR D A. How photoreceptor cells respond to light[J]. Scientific American, 1987, 256(4): 40–47. doi: 10.1038/scientificamerican0487-40.
    [13]
    YOUNG R W. The renewal of photoreceptor cell outer segments[J]. Journal of Cell Biology, 1967, 33(1): 61–72. doi: 10.1083/jcb.33.1.61.
    [14]
    MEAD C A and MAHOWALD M A. A silicon model of early visual processing[J]. Neural Networks, 1988, 1(1): 91–97. doi: 10.1016/0893-6080(88)90024-X.
    [15]
    MEAD C and ISMAIL M. Analog VLSI Implementation of Neural Systems[M]. New York: Springer, 1989: 135–169. doi: 10.1007/978-1-4613-1639-8.
    [16]
    YANG Chuan, SUN Bai, ZHOU Guangdong, et al. Photoelectric memristor-based machine vision for artificial intelligence applications[J]. ACS Materials Letters, 2023, 5(2): 504–526. doi: 10.1021/acsmaterialslett.2c00911.
    [17]
    BRUNEL N and VAN ROSSUM M C W. Lapicque's 1907 paper: From frogs to integrate-and-fire[J]. Biological Cybernetics, 2007, 97(5/6): 337–339. doi: 10.1007/s00422-007-0190-0.
    [18]
    ZHU Shirui, XIE Tao, LV Ziyu, et al. Hierarchies in visual pathway: Functions and inspired artificial vision[J]. Advanced Materials, 2024, 36(6): 2301986. doi: 10.1002/adma.202301986.
    [19]
    HODGKIN A L and HUXLEY A F. A quantitative description of membrane current and its application to conduction and excitation in nerve[J]. The Journal of Physiology, 1952, 117(4): 500–544. doi: 10.1113/jphysiol.1952.sp004764.
    [20]
    HUBBARD R and KROPF A. The action of light on rhodopsin[J]. Proceedings of the National Academy of Sciences of the United States of America, 1958, 44(2): 130–139. doi: 10.1073/pnas.44.2.130.
    [21]
    PALCZEWSKI K. G protein–coupled receptor rhodopsin[J]. Annual Review of Biochemistry, 2006, 75(1): 743–767. doi: 10.1146/annurev.biochem.75.103004.142743.
    [22]
    MATTHEWS H R, MURPHY R L W, FAIN G L, et al. Photoreceptor light adaptation is mediated by cytoplasmic calcium concentration [J]. Nature, 1988, 334 (6177): 67 - 69. doi: 10.1038/334067a0.
    [23]
    黄培元, 宋禹桐, 张宁, 等. 基于光控蛋白质相互作用的光遗传学技术及其应用[J]. 中国激光, 2020, 47(2): 0207010. doi: 10.3788/CJL202047.0207010.

    HUANG Peiyuan, SONG Yutong, ZHANG Ning, et al. Optogenetics based on light-gated protein-protein interactions and its applications[J]. Chinese Journal of Lasers, 2020, 47(2): 0207010. doi: 10.3788/CJL202047.0207010.
    [24]
    HUANG Tiejun, ZHENG Yajing, YU Zhaofei, et al. 1000× faster camera and machine vision with ordinary devices[J]. Engineering, 2023, 25: 110–119. doi: 10.1016/j.eng.2022.01.012.
  • 加载中

Catalog

    通讯作者: 陈斌, bchen63@163.com
    • 1. 

      沈阳化工大学材料科学与工程学院 沈阳 110142

    1. 本站搜索
    2. 百度学术搜索
    3. 万方数据库搜索
    4. CNKI搜索

    Figures(11)  / Tables(1)

    Article Metrics

    Article views (430) PDF downloads(59) Cited by()
    Proportional views
    Related

    /

    DownLoad:  Full-Size Img  PowerPoint
    Return
    Return