Advanced Search
Volume 48 Issue 1
Jan.  2026
Turn off MathJax
Article Contents
TIAN Bo, YANG Weiwei, SHA Li, SHANG Zhihui, CAO Kuo, LIU Changming. Short Packet Secure Covert Communication Design and Optimization[J]. Journal of Electronics & Information Technology, 2026, 48(1): 135-144. doi: 10.11999/JEIT250800
Citation: TIAN Bo, YANG Weiwei, SHA Li, SHANG Zhihui, CAO Kuo, LIU Changming. Short Packet Secure Covert Communication Design and Optimization[J]. Journal of Electronics & Information Technology, 2026, 48(1): 135-144. doi: 10.11999/JEIT250800

Short Packet Secure Covert Communication Design and Optimization

doi: 10.11999/JEIT250800 cstr: 32379.14.JEIT250800
Funds:  The National Natural Science Foundation of China (62201584, 62427802, 62301594, 62171461, 62071486)
  • Received Date: 2025-08-27
  • Accepted Date: 2025-11-03
  • Rev Recd Date: 2025-10-12
  • Available Online: 2025-11-12
  • Publish Date: 2026-01-30
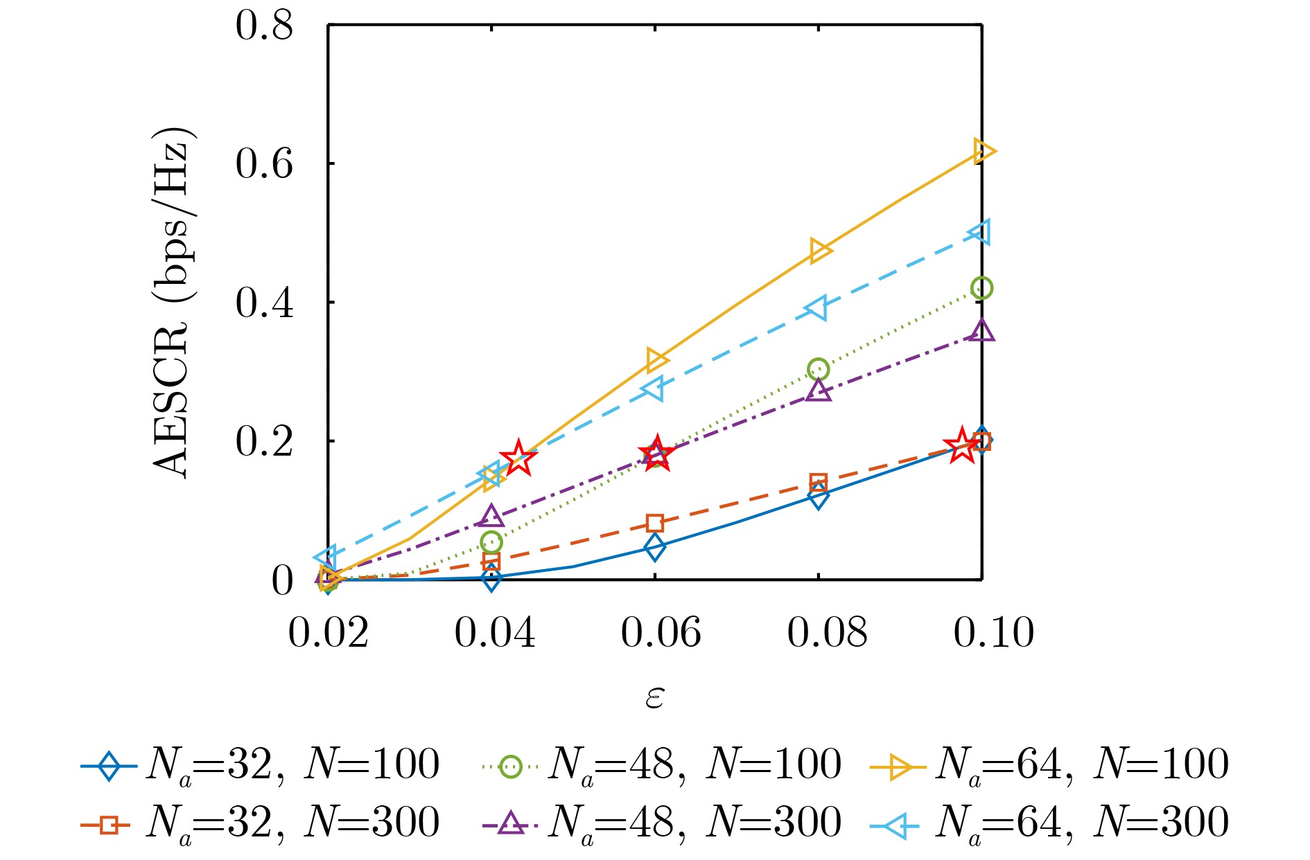
  •   Objective  The study addresses the dual security threats of eavesdropping and detection in Multiple-Input Single-Output (MISO) communication systems under short packet transmission conditions. An integrated secure and covert transmission scheme is proposed, combining physical layer security with covert communication techniques. The approach aims to overcome the limitations of conventional encryption in short packet scenarios, enhance communication concealment, and ensure information confidentiality. The optimization objective is to maximize the Average Effective Secrecy and Covert Rate (AESCR) through the joint optimization of packet length and transmit power, thereby providing robust security for low-latency Internet of Things (IoT) applications.  Methods  An MISO system model employing MRT beamforming is adopted to exploit spatial degrees of freedom for improved security. Through theoretical analysis, closed-form expressions are derived for the warden’s (Willie’s) optimal detection threshold and minimum detection error probability. A statistical covertness constraint based on Kullback-Leibler (KL) divergence is formulated to convert intractable instantaneous requirements into a tractable average constraint. A new performance metric, the AESCR, is proposed to comprehensively assess system performance in terms of covertness, secrecy, and reliability. The optimization strategy centers on the joint design of packet length and transmit power. By utilizing the inherent coupling between these variables, the original dual-variable maximization problem is reformulated into a tractable form solvable through an efficient one-dimensional search.  Results and Discussions   Simulation results confirm the theoretical analysis, showing close consistency between the derived expressions and Monte Carlo simulations for Willie’s detection error probability. The findings indicate that multi-antenna configurations markedly enhance the AESCR by directing signal energy toward the legitimate receiver and reducing eavesdropping risk. The proposed joint optimization of transmit power and packet length achieves a substantially higher AESCR than power-only optimization, particularly under stringent covertness constraints. The study further reveals key trade-offs: an optimal packet length exists that balances coding gain and exposure risk, while relaxed covertness constraints yield continuous improvements in AESCR. Moreover, multi-antenna technology is shown to be crucial for mitigating the inherent low-power limitations of covert communication.  Conclusions  This study presents an integrated framework for secure and covert communication in short packet MISO systems, achieving notable performance gains through the joint optimization of transmit power and packet length. The main contributions include: (1) a transmission architecture that combines security and covertness, supported by closed-form solutions for the warden’s detection threshold and error probability under a KL divergence-based constraint; (2) the introduction of the AESCR metric, which unifies the assessment of secrecy, covertness, and reliability; and (3) the formulation and efficient resolution of the AESCR maximization problem. Simulation results verify that the proposed joint optimization strategy exceeds power-only optimization, particularly under stringent covertness conditions. The AESCR increases monotonically with the number of transmit antennas, and an optimal packet length is identified that balances transmission efficiency and covertness.
  • loading
  • [1]
    冯晨, 王慧明. 面向5G的短包物理层安全通信[J]. 中国科学: 信息科学, 2021, 51(9): 1507–1523. doi: 10.1360/SSI-2020-0397.

    FENG Chen and WANG Huiming. Secure physical layer short-packet communication for 5G[J]. Scientia Sinica Informationis, 2021, 51(9): 1507–1523. doi: 10.1360/SSI-2020-0397.
    [2]
    周小波, 于辉, 彭旭, 等. 智能反射面辅助及人工噪声增强的无线隐蔽通信[J]. 电子与信息学报, 2022, 44(7): 2392–2399. doi: 10.11999/JEIT211618.

    ZHOU Xiaobo, YU Hui, PENG Xu, et al. Wireless covert communications based on intelligent reflecting surface aided and artificial noise enhanced[J]. Journal of Electronics & Information Technology, 2022, 44(7): 2392–2399. doi: 10.11999/JEIT211618.
    [3]
    WAN Zhang, HUANG Kaizhi, XU Xiaoming, et al. RIS-assisted integration of communications and security: Protocol, prototyping, and field trials[J]. IEEE Internet of Things Journal, 2024, 11(16): 26877–26887. doi: 10.1109/JIOT.2024.3390677.
    [4]
    WAN Zheng, LIU Kexin, CHEN Yajun, et al. Resource allocation for STAR-RIS-assisted MIMO physical-layer key generation[J]. IEEE Transactions on Information Forensics and Security, 2024, 19: 10328–10338. doi: 10.1109/TIFS.2024.3488509.
    [5]
    FENG Chen, WANG Huiming, and POOR H V. Reliable and secure short-packet communications[J]. IEEE Transactions on Wireless Communications, 2022, 21(3): 1913–1926. doi: 10.1109/TWC.2021.3108042.
    [6]
    SONG Lulu, ZHANG Di, JIA Shaobo, et al. STAR-RIS-aided NOMA for secured xURLLC[J]. IEEE Transactions on Vehicular Technology, 2025, 74(8): 13249–13254. doi: 10.1109/TVT.2025.3556542.
    [7]
    WANG Zeyin, ZHANG Di, JIA Shaobo, et al. Joint security-latency design for short packet-based low-altitude communications[J]. IEEE Communications Letters, 2025, 29(6): 1401–1405. doi: 10.1109/LCOMM.2025.3563514.
    [8]
    LI Lintao, CHEN Wei, POPOVSKI P, et al. Reliability-latency-rate tradeoff in low-latency communications with finite-blocklength coding[J]. IEEE Transactions on Information Theory, 2025, 71(1): 360–389. doi: 10.1109/TIT.2024.3485173.
    [9]
    BASH B A, GOECKEL D, and TOWSLEY D. Limits of reliable communication with low probability of detection on AWGN channels[J]. IEEE Journal on Selected Areas in Communications, 2013, 31(9): 1921–1930. doi: 10.1109/JSAC.2013.130923.
    [10]
    YANG Weiwei, LU Xingbo, YAN Shihao, et al. Age of information for short-packet covert communication[J]. IEEE Wireless Communications Letters, 2021, 10(9): 1890–1894. doi: 10.1109/LWC.2021.3085025.
    [11]
    CHE Bohan, SHI Hui, LU Xingbo, et al. Covert multi-channel communication against interference-assisted proactive detection[J]. IEEE Transactions on Vehicular Technology, 2024, 73(9): 14033–14037. doi: 10.1109/TVT.2024.3394734.
    [12]
    LU Xingbo, YAN Shihao, YANG Weiwei, et al. Covert communication with time uncertainty in time-critical wireless networks[J]. IEEE Transactions on Wireless Communications, 2023, 22(2): 1116–1129. doi: 10.1109/TWC.2022.3201872.
    [13]
    FAN Hongbin, YANG Weiwei, SHI Hui, et al. Covert communication in underlay multi-antenna cognitive radio networks[J]. IEEE Transactions on Cognitive Communications and Networking, 2025, 11(3): 1493–1507. doi: 10.1109/TCCN.2024.3475369.
    [14]
    FOROUZESH M, AZMI P, KUHESTANI A, et al. Covert communication and secure transmission over untrusted relaying networks in the presence of multiple wardens[J]. IEEE Transactions on Communications, 2020, 68(6): 3737–3749. doi: 10.1109/TCOMM.2020.2978206.
    [15]
    FOROUZESH M, AZMI P, KUHESTANI A, et al. Joint information-theoretic secrecy and covert communication in the presence of an untrusted user and warden[J]. IEEE Internet of Things Journal, 2021, 8(9): 7170–7181. doi: 10.1109/JIOT.2020.3038682.
    [16]
    WEN Yingkun, LIU Lei, LI Junhuai, et al. A covert jamming scheme against an intelligent eavesdropper in cooperative cognitive radio networks[J]. IEEE Transactions on Vehicular Technology, 2023, 72(10): 13243–13254. doi: 10.1109/TVT.2023.3277457.
    [17]
    ZHOU Xiaobo, YONG Jiang, XIA Tingting, et al. Intelligent reflecting surface-aided secure and covert communications[J]. China Communications, 2024, 21(9): 1–10. doi: 10.23919/JCC.fa.2023-0567.202409.
    [18]
    LIU Pengpeng, LI Zan, SI Jiangbo, et al. Joint information-theoretic secrecy and covertness for UAV-Assisted wireless transmission with finite blocklength[J]. IEEE Transactions on Vehicular Technology, 2023, 72(8): 10187–10199. doi: 10.1109/TVT.2023.3254882.
    [19]
    MAO Haobin, LIU Yanming, XIAO Zhenyu, et al. Energy efficient defense against cooperative hostile detection and eavesdropping attacks for AAV-aided short-packet transmissions[J]. IEEE Transactions on Vehicular Technology, 2025, 74(2): 3082–3095. doi: 10.1109/TVT.2024.3483256.
    [20]
    WANG Chao, LI Zan, ZHANG Haibin, et al. Achieving covertness and security in broadcast channels with finite blocklength[J]. IEEE Transactions on Wireless Communications, 2022, 21(9): 7624–7640. doi: 10.1109/TWC.2022.3160051.
    [21]
    ZHANG Tongxing, WANG Huiming, NG D W K, et al. Multi-antenna covert communications in random wireless networks[J]. IEEE Transactions on Wireless Communications, 2019, 18(3): 1974–1987. doi: 10.1109/TWC.2019.2900915.
    [22]
    YAN Shihao, HE Biao, ZHOU Xiangyun, et al. Delay-intolerant covert communications with either fixed or random transmit power[J]. IEEE Transactions on Information Forensics and Security, 2019, 14(1): 129–140. doi: 10.1109/TIFS.2018.2846257.
    [23]
    HE Biao, YAN Shihao, ZHOU Xiangyun, et al. On covert communication with noise uncertainty[J]. IEEE Communications Letters, 2017, 21(4): 941–944. doi: 10.1109/LCOMM.2016.2647716.
    [24]
    LEHMANN E L and ROMANO J P. Testing Statistical Hypotheses[M]. Switzerland: Springer, 2022: 709–712. doi: 10.1007/978-3-030-70578-7.
    [25]
    HU Jinsong, YAN Shihao, ZHOU Xiaobo, et al. Covert communications without channel state information at receiver in IoT systems[J]. IEEE Internet of Things Journal, 2020, 7(11): 11103–11114. doi: 10.1109/JIOT.2020.2994441.
    [26]
    YANG Wei, SCHAEFER R F, and POOR H V. Finite-blocklength bounds for wiretap channels[C]. 2016 IEEE International Symposium on Information Theory, Barcelona, Spain, 2016: 3087–3091. doi: 10.1109/ISIT.2016.7541867.
    [27]
    WANG Yuntian, ZHOU Xiaobo, ZHUANG Zhihong, et al. UAV-enabled secure communication with finite blocklength[J]. IEEE Transactions on Vehicular Technology, 2020, 69(12): 16309–16313. doi: 10.1109/TVT.2020.3042791.
  • 加载中

Catalog

    通讯作者: 陈斌, bchen63@163.com
    • 1. 

      沈阳化工大学材料科学与工程学院 沈阳 110142

    1. 本站搜索
    2. 百度学术搜索
    3. 万方数据库搜索
    4. CNKI搜索

    Figures(7)

    Article Metrics

    Article views (498) PDF downloads(63) Cited by()
    Proportional views
    Related

    /

    DownLoad:  Full-Size Img  PowerPoint
    Return
    Return