Advanced Search
Turn off MathJax
Article Contents
CHEN Jian, MA Tianrui, YANG Long, LV Lu, XU Yongjun. Energy Consumption Optimization of Cooperative NOMA Secure Offload for Mobile Edge Computing[J]. Journal of Electronics & Information Technology. doi: 10.11999/JEIT250606
Citation: CHEN Jian, MA Tianrui, YANG Long, LV Lu, XU Yongjun. Energy Consumption Optimization of Cooperative NOMA Secure Offload for Mobile Edge Computing[J]. Journal of Electronics & Information Technology. doi: 10.11999/JEIT250606

Energy Consumption Optimization of Cooperative NOMA Secure Offload for Mobile Edge Computing

doi: 10.11999/JEIT250606 cstr: 32379.14.JEIT250606
Funds:  The National Natural Science Foundation of China (No.62271368), The Key Research and Development Program of Shaanxi (No.2023-ZDLGY-50), The Innovation Capability Support Program of Shaanxi(No. 2024ZC-KJXX-080)
  • Accepted Date: 2025-11-17
  • Rev Recd Date: 2025-11-17
  • Available Online: 2025-11-22
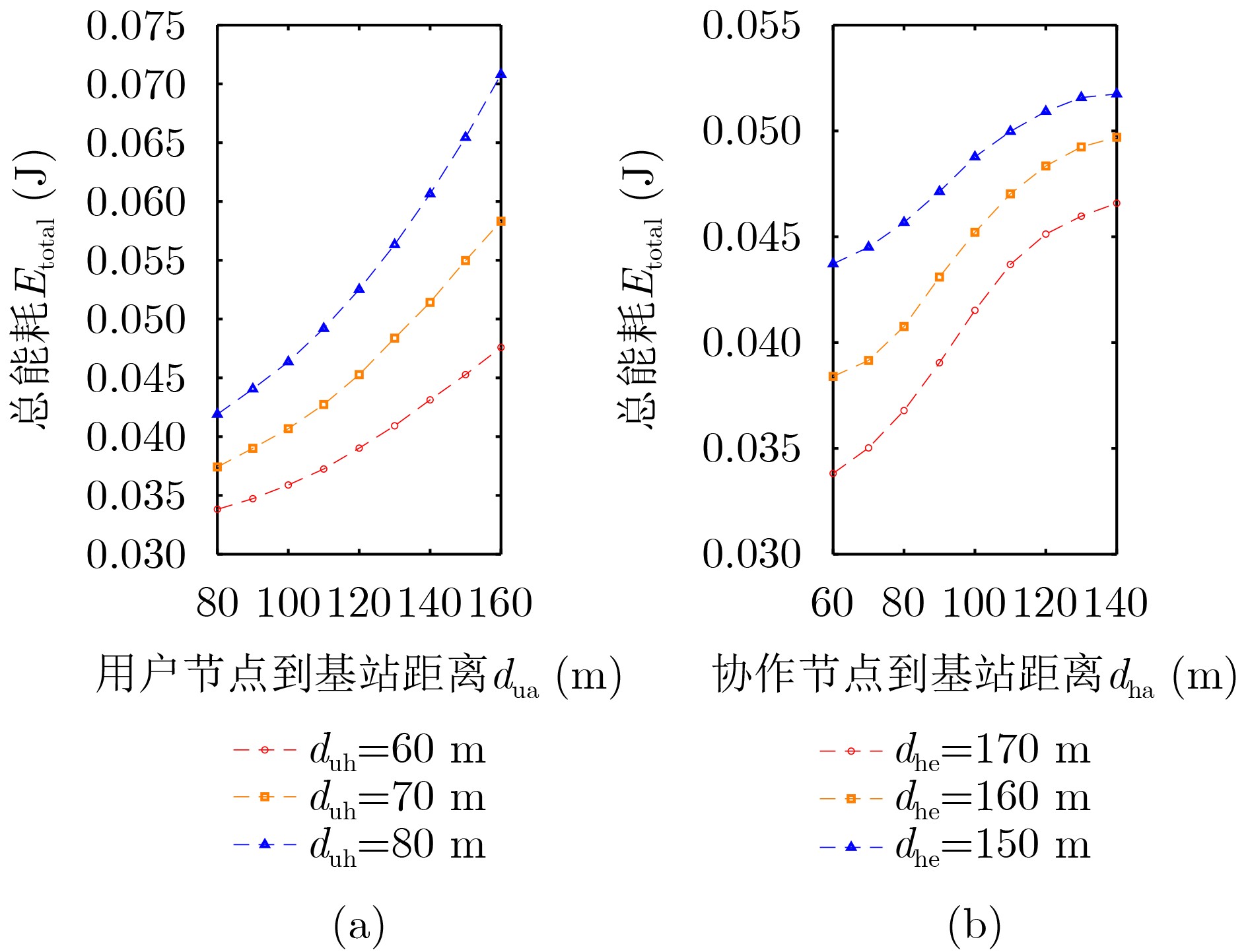
  •   Objective  Mobile edge computing (MEC) significantly enhances the computational capabilities and response speed of mobile devices by migrating functions such as computing and caching to the network edge. The application of non-orthogonal multiple access (NOMA) further supports the realization of ultra-high spectral efficiency and massive connectivity. However, considering the broadcast nature of wireless channels, the offloading transmission process in MEC may be vulnerable to eavesdropping attacks. Therefore, the integration of physical layer security techniques into a NOMA-MEC system is proposed to ensure the security of the offloading process. Existing research primarily focuses on optimizing system performance metrics such as energy consumption, latency, and throughput, or enhancing system security through NOMA-based co-channel interference and cooperative interference. However, the joint impact of these two aspects—performance and security—is largely overlooked. To reduce the energy consumption of secure offloading in mobile edge computing, this paper designs a secure offloading scheme based on cooperative NOMA. Compared with existing works, the novelty of this paper lies in the fact that the cooperative nodes provide both forwarding and computational assistance simultaneously. By leveraging joint local computing between users and cooperative nodes, the proposed scheme replaces the security in the offloading process while reducing system energy consumption.  Methods  This paper investigates the joint design of computational and communication resource allocation schemes for nodes, dividing the offloading process into two stages: NOMA offloading and cooperative offloading. It also considers the offloading strategies of different nodes in different stages and proposes an optimization problem to minimize the system-wide weighted total energy consumption under secrecy outage constraints. To address this multi-variable coupled and non-convex optimization problem, the secrecy transmission rate constraints and the secrecy outage probability constraints, which are given in a complex probabilistic form, are first transformed. The original optimization problem is then decomposed into two subproblems: slot and task allocation, and power allocation. For the non-convex power allocation subproblem, its non-convex constraints are replaced with bilinear substitutions and sequentially convex approximations are applied. Ultimately, an alternating iterative resource allocation algorithm is proposed, which can adjust the load, power, and slot allocation between users and cooperative nodes according to the channel state, thereby minimizing energy consumption while satisfying security constraints.  Results and Discussions  Theoretical analysis and simulation results demonstrate that the proposed scheme in this paper converges rapidly and has low complexity. Compared with existing NOMA full-offloading schemes, assisted computing schemes, and NOMA collaborative interference schemes, the proposed offloading scheme can significantly reduce system energy consumption and achieve higher load capacity under the same secrecy constraints. Moreover, the scheme exhibits strong robustness, as it is less affected by poor channel transmission conditions and deteriorating eavesdropping conditions.  Conclusions  This paper reveals the inherent trade-off between system energy consumption and security constraints. During the offloading process in Mobile Edge Computing, communication, computation, and security are not mutually exclusive. Instead, performance and security can be enhanced simultaneously through the rational utilization of cooperative nodes. When cooperative nodes are available, Non-Orthogonal Multiple Access and forwarding cooperation can mitigate the impact of poor channel conditions or high eavesdropping risks on security and performance. Moreover, cooperative nodes can share the local computational burden of users to improve system performance. Joint local computation between users and cooperative nodes can also avoid the eavesdropping risks associated with long-distance wireless transmission. In other words, the secure offloading scenario in MEC is not merely a Physical Layer Security issue in the transmission process. It also encompasses the complex coupling relationship unique to MEC between communication and computation. By leveraging idle resources in the network, the security performance of the system can be enhanced through cooperative communication and computation among idle nodes, while maintaining system performance.
  • loading
  • [1]
    CHEN Jingxuan, CAO Xianbin, YANG Peng, et al. Deep reinforcement learning based resource allocation in multi-UAV-aided MEC networks[J]. IEEE Transactions on Communications, 2023, 71(1): 296–309. doi: 10.1109/TCOMM.2022.3226193.
    [2]
    DJIGAL H, XU Jia, LIU Linfeng, et al. Machine and deep learning for resource allocation in multi-access edge computing: A survey[J]. IEEE Communications Surveys & Tutorials, 2022, 24(4): 2449–2494. doi: 10.1109/COMST.2022.3199544.
    [3]
    周天清, 胡海琴, 曾新亮. NOMA-MEC系统中基于改进遗传算法的协作式计算卸载与资源管理[J]. 电子与信息学报, 2022, 44(9): 3014–3023. doi: 10.11999/JEIT220306.

    ZHOU Tianqing, HU Haiqin, and ZENG Xinliang. Cooperative computation offloading and resource management based on improved genetic algorithm in NOMA-MEC systems[J]. Journal of Electronics & Information Technology, 2022, 44(9): 3014–3023. doi: 10.11999/JEIT220306.
    [4]
    JIANG Hongbo, DAI Xingxia, XIAO Zhu, et al. Joint task offloading and resource allocation for energy-constrained mobile edge computing[J]. IEEE Transactions on Mobile Computing, 2023, 22(7): 4000–4015. doi: 10.1109/TMC.2022.3150432.
    [5]
    TAN Lin, KUANG Zhufang, ZHAO Lian, et al. Energy-efficient joint task offloading and resource allocation in OFDMA-based collaborative edge computing[J]. IEEE Transactions on Wireless Communications, 2022, 21(3): 1960–1972. doi: 10.1109/TWC.2021.3108641.
    [6]
    HAN Xiyu, LIAO Zhuofan, and TANG Xiaoyong. Pricing-based task offloading considering user energy consumption in MEC system[C]. 2024 IEEE International Symposium on Parallel and Distributed Processing with Applications, Kaifeng, China, 2024: 1911–1916. doi: 10.1109/ISPA63168.2024.00260.
    [7]
    胡晗, 鲍楠, 凌章, 等. 基于NOMA的移动边缘计算系统公平能效调度算法[J]. 电子与信息学报, 2021, 43(12): 3563–3570. doi: 10.11999/JEIT200898.

    HU Han, BAO Nan, LING Zhang, et al. Fair energy efficiency scheduling in NOMA-based mobile edge computing[J]. Journal of Electronics & Information Technology, 2021, 43(12): 3563–3570. doi: 10.11999/JEIT200898.
    [8]
    DING Zhiguo, FAN Pingzhi, and POOR H V. Impact of non-orthogonal multiple access on the offloading of mobile edge computing[J]. IEEE Transactions on Communications, 2019, 67(1): 375–390. doi: 10.1109/TCOMM.2018.2870894.
    [9]
    WANG Lei, LIU Xin, JIANG Xue, et al. Effective computational efficiency maximization in cooperative NOMA based MEC system[C]. 2022 14th International Conference on Wireless Communications and Signal Processing, Nanjing, China, 2022: 788–793. doi: 10.1109/WCSP55476.2022.10039385.
    [10]
    ZENG Sheng, HUANG Xiaohong, and LI Dandan. Joint communication and computation cooperation in wireless-powered mobile-edge computing networks with NOMA[J]. IEEE Internet of Things Journal, 2023, 10(11): 9849–9862. doi: 10.1109/JIOT.2023.3236089.
    [11]
    RANAWEERA P, JURCUT A D, and LIYANAGE M. Survey on multi-access edge computing security and privacy[J]. IEEE Communications Surveys & Tutorials, 2021, 23(2): 1078–1124. doi: 10.1109/COMST.2021.3062546.
    [12]
    CHEN Yichao, ZHAO Kai, ZHANG Heng, et al. A comprehensive physical layer security mechanism for mobile edge computing[J]. IEEE Internet of Things Journal, 2023, 10(19): 16816–16829. doi: 10.1109/JIOT.2023.3272113.
    [13]
    WANG Qun, HU Han, SUN Haijian, et al. Secure and energy-efficient offloading and resource allocation in a NOMA-based MEC network[C]. 2020 IEEE/ACM Symposium on Edge Computing, San Jose, USA, 2020: 420–424. doi: 10.1109/SEC50012.2020.00063.
    [14]
    ZHENG Tongxing, CHEN Xin, WEN Yating, et al. Secure offloading in NOMA-enabled multi-access edge computing networks[J]. IEEE Transactions on Communications, 2024, 72(4): 2152–2165. doi: 10.1109/TCOMM.2023.3342242.
    [15]
    FU Xincheng, YU Xueyong, and WANG Shuyang. Optimization of energy consumption with hybrid cooperative NOMA for secure MEC[C]. 2022 4th International Academic Exchange Conference on Science and Technology Innovation, Guangzhou, China, 2022: 1279–1285. doi: 10.1109/IAECST57965.2022.10062073.
    [16]
    QIAN Liping, WU Weicong, LU Weidang, et al. Secrecy-based energy-efficient mobile edge computing via cooperative non-orthogonal multiple access transmission[J]. IEEE Transactions on Communications, 2021, 69(7): 4659–4677. doi: 10.1109/TCOMM.2021.3070620.
    [17]
    FANG Tao, YUAN Feng, AO Liang, et al. Joint task offloading, D2D pairing, and resource allocation in device-enhanced MEC: A potential game approach[J]. IEEE Internet of Things Journal, 2022, 9(5): 3226–3237. doi: 10.1109/JIOT.2021.3097754.
    [18]
    LONG Hao, XU Chen, ZHENG Guangyuan, et al. Socially-aware energy-efficient task partial offloading in MEC networks with D2D collaboration[J]. IEEE Transactions on Green Communications and Networking, 2022, 6(3): 1889–1902. doi: 10.1109/TGCN.2022.3153956.
    [19]
    YANG Long, CHEN Jian, JIANG Hai, et al. Optimal relay selection for secure cooperative communications with an adaptive eavesdropper[J]. IEEE Transactions on Wireless Communications, 2017, 16(1): 26–42. doi: 10.1109/TWC.2016.2617328.
    [20]
    WU Mengru, SONG Qingyang, GUO Lei, et al. Energy-efficient secure computation offloading in wireless powered mobile edge computing systems[J]. IEEE Transactions on Vehicular Technology, 2023, 72(5): 6907–6912. doi: 10.1109/TVT.2023.3236327.
    [21]
    MEHBODNIYA A, KALEEM F, YEN K K, et al. A fuzzy extension of VIKOR for target network selection in heterogeneous wireless environments[J]. Physical Communication, 2013, 7: 145–155. doi: 10.1016/j.phycom.2013.02.002.
    [22]
    BADEEL R, SUBRAMANIAM S K, MUHAMMED A, et al. A multicriteria decision-making framework for access point selection in hybrid LiFi/WiFi networks using integrated AHP–VIKOR technique[J]. Sensors, 2023, 23(3): 1312. doi: 10.3390/s23031312.
    [23]
    ZHANG Luyao and HAO Li. Delay minimization in NOMA-based cooperative mobile edge computing(MEC) offloading[C]. 2024 IEEE International Workshop on Radio Frequency and Antenna Technologies, Shenzhen, China, 2024: 271–275. doi: 10.1109/iWRFAT61200.2024.10594572.
    [24]
    JAIN P and KAR P. Non-convex optimization for machine learning[J]. Foundations and Trends® in Machine Learning, 2017, 10(3/4): 142–363. doi: 10.1561/2200000058.
  • 加载中

Catalog

    通讯作者: 陈斌, bchen63@163.com
    • 1. 

      沈阳化工大学材料科学与工程学院 沈阳 110142

    1. 本站搜索
    2. 百度学术搜索
    3. 万方数据库搜索
    4. CNKI搜索

    Figures(8)  / Tables(2)

    Article Metrics

    Article views (6) PDF downloads(0) Cited by()
    Proportional views
    Related

    /

    DownLoad:  Full-Size Img  PowerPoint
    Return
    Return