Advanced Search
Turn off MathJax
Article Contents
ZHANG Xinrui, SHI Chenguang, WU Zhifeng, WEN Wen, ZHOU Jianjiang. Stealthy Path Planning Algorithm for UAV Swarm Based on Improved APF-RRT* Under Dynamic Threat[J]. Journal of Electronics & Information Technology. doi: 10.11999/JEIT250554
Citation: ZHANG Xinrui, SHI Chenguang, WU Zhifeng, WEN Wen, ZHOU Jianjiang. Stealthy Path Planning Algorithm for UAV Swarm Based on Improved APF-RRT* Under Dynamic Threat[J]. Journal of Electronics & Information Technology. doi: 10.11999/JEIT250554

Stealthy Path Planning Algorithm for UAV Swarm Based on Improved APF-RRT* Under Dynamic Threat

doi: 10.11999/JEIT250554 cstr: 32379.14.JEIT250554
Funds:  This work is supported in part by the National Natural Science Foundation of China under Grant 62271247, in part by the Natural Science Foundation of Jiangsu Province under Grant BK20240181, in part by the National Aerospace Science Foundation of China under Grant 20220055052001, in part by Qing Lan Project of Jiangsu Province, and in part by Dreams Foundation of Jianghuai Advance Technology Center under Grant 2023-ZM01D001
  • Received Date: 2025-06-16
  • Accepted Date: 2025-11-03
  • Rev Recd Date: 2025-11-03
  • Available Online: 2025-11-12
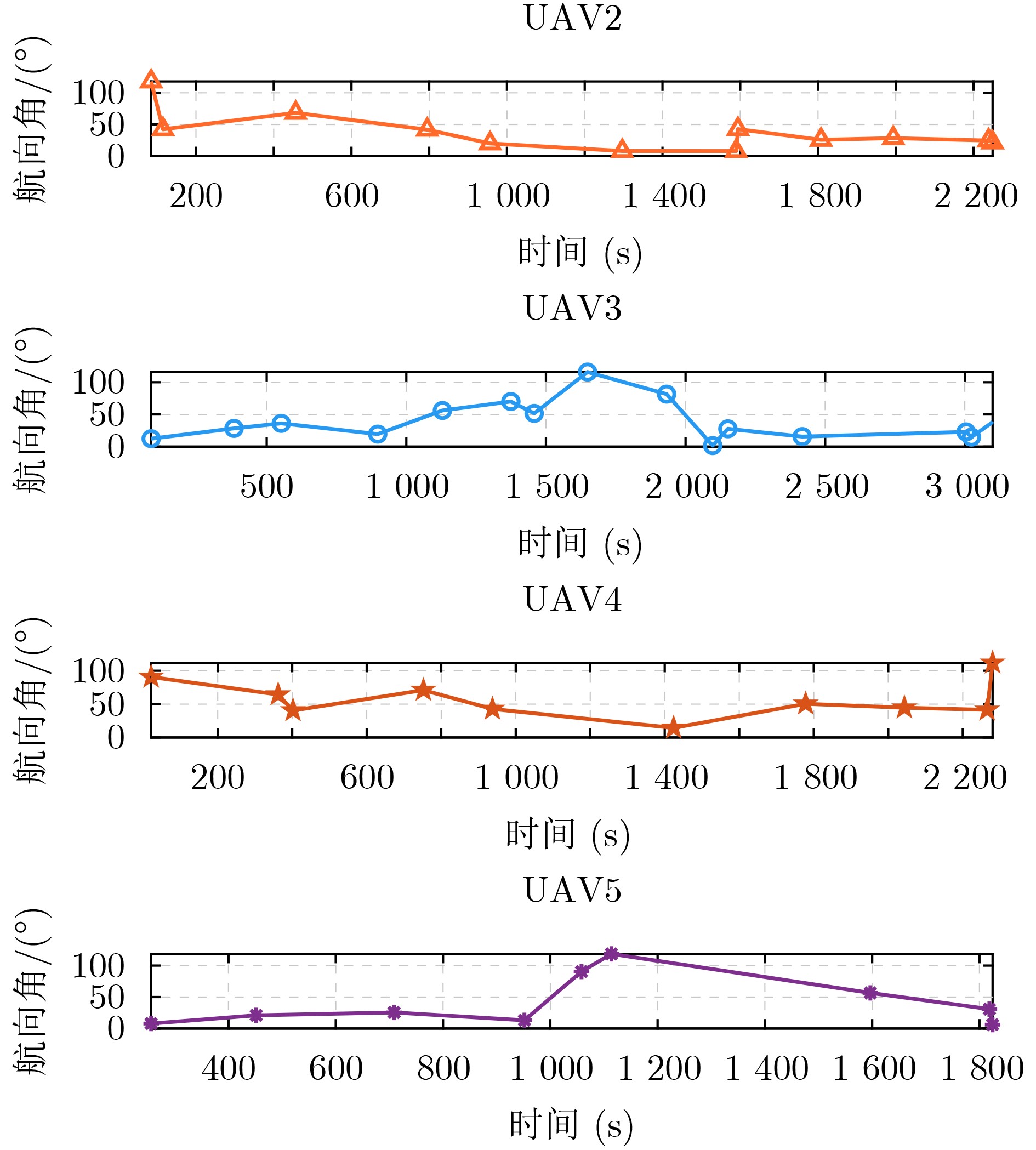
  •   Objective  The efficient penetration and survivability of unmanned aerial vehicle (UAV) swarms in complex battlefield environments critically depend on robust trajectory planning. With the increasing deployment of advanced air defense systems—featuring radar network, anti-aircraft artillery and dynamic no-fly zones—conventional planning methods struggle to meet simultaneous requirements for stealth, feasibility, and safety. Although prior studies have contributed valuable insights into UAV swarm path planning, they present several limitations: (1) Most research focuses on detection models for single radars and does not sufficiently incorporate the coupling between UAV radar cross section (RCS) and stealth trajectory optimization; (2) UAV kinematic constraints are often treated independently of stealth characteristics; (3) Environmental threats are typically modeled as static and singular, overlooking real-time dynamic threats; (4) Stealth planning is predominantly studied for individual UAVs, with limited attention to swarm-level coordination. This work addresses these gaps by proposing a cooperative stealth trajectory planning framework that integrates real-time threat perception with swarm dynamics optimization, significantly enhancing survivability in contested airspace.  Methods  To overcome the aforementioned challenges, this paper proposes a stealth path planning algorithm for UAV swarm based on improved artificial potential field (APF) and rapidly-exploring random trees star (RRT*) framework under dynamic threat. First, a multi-threat environment model is constructed, incorporating radars, anti-aircraft artillery, and fixed obstacles. A comprehensive stealth cost function is developed by integrating UAV RCS characteristics, accounting for flight distance, radar detection probability, and artillery threat probability. Second, a stealth trajectory optimization model is formulated with the objective of minimizing the overall cost function, subject to strict constraints on UAV kinematics, swarm coordination, and path feasibility. To solve this model efficiently, an enhanced APF-RRT* algorithm is designed. A rolling-window strategy is introduced to facilitate continuous local replanning in response to dynamic threats, enabling real-time trajectory updates and improving responsiveness to sudden changes in the threat landscape. Furthermore, a target-biased sampling technique is applied to reduce sampling redundancy, thereby enhancing algorithmic convergence speed. By combining the global search capability of RRT* with the local adaptability of APF, the proposed approach enables UAV swarms to generate stealth-optimal paths in real time while maintaining high levels of safety and coordination in adversarial environments.  Results and Discussions  Simulation experiments validate the effectiveness of the proposed algorithm. During global path planning, some UAVs enter regions threatened by dynamic no-fly zones, radars, and artillery systems, while others successfully reach their destinations through unobstructed paths. In the local replanning phase, affected UAVs adaptively adjust their trajectories to minimize radar detection probability and overall stealth cost. When encountering mobile threats, UAVs perform lateral evasive maneuvers to avoid collisions and ensure mission completion. In contrast, the detection probabilities of the UAVs requiring replanning all exceed the specified threshold for networked radar detection under the comparison algorithms. This indicates that, in practical scenarios, the comparison algorithms fail to generate UAV swarm trajectories that meet platform safety requirements, rendering them ineffective. Comparative simulations demonstrate that the proposed method significantly outperforms existing approaches by reducing stealth costs and improving trajectory feasibility and swarm coordination. The algorithm achieves optimal swarm-level stealth and ensures safe and efficient penetration in dynamic environments.  Conclusions  This study addresses the problem of stealth trajectory planning for UAV swarms in dynamic threat environments by proposing an improved APF-RRT* algorithm. The following key findings are derived from extensive simulations conducted across different contested scenarios (Section 5): (1) The proposed algorithm reduces the voyage distance by 11.1km in scene 1 and 66.9km in scene 2 compared with the baseline RRT* method (Tab. 3, Tab. 5), primarily due to RCS-minimizing attitude adjustments by heading angle chang (Fig. 3, Fig. 6); (2) The networked radar detection probability remains below the 30% threshold for all UAVs (Fig. 4(a), Fig. 7(a)), whereas comparison algorithm exceed the safety limit of 98% of the group members at most (Fig. 4(b), Fig. 7(b), Fig. 9(a), Fig. 9(b)); (3) The rolling-window replanning mechanism enables real-time avoidance of mobile threats such as dynamic no-fly zones and anti-aircraft artillery (Fig. 5, Fig. 8), while simultaneously reducing the comprehensive trajectory cost by 9.0% in Scene 1 and 15.6% in Scene 2 compared with the baseline RRT method (Tab. 3, Tab. 5). (4) Cooperative constraints embedded in the planning algorithm maintain safe inter-UAV separation and jointly optimize swarm-level stealth performance (Fig. 2, Fig. 5, Fig. 8). These results collectively demonstrate the superiority of the proposed method in balancing stealth optimization, dynamic threat adaptation, and swarm kinematic feasibility. Future research will extend this framework to 3D complex terrain environments and integrate deep reinforcement learning to further enhance predictive threat response and battlefield adaptability.
  • loading
  • [1]
    EL-MALEK A H A, ABOULHASSAN M A, SALHAB A M, et al. Performance analysis and optimization of UAV-assisted networks: Single UAV with multiple antennas versus multiple UAVs with single antenna[J]. IEEE Systems Journal, 2023, 17(3): 3468–3479. doi: 10.1109/JSYST.2023.3279335.
    [2]
    WU Jiehong, SUN Yanan, LI Danyang, et al. An adaptive conversion speed Q-learning algorithm for search and rescue UAV path planning in unknown environments[J]. IEEE Transactions on Vehicular Technology, 2023, 72(12): 15391–15404. doi: 10.1109/TVT.2023.3297837.
    [3]
    LIU Huan, LI Xiamiao, FAN Mingfeng, et al. An autonomous path planning method for unmanned aerial vehicle based on a tangent intersection and target guidance strategy[J]. IEEE Transactions on Intelligent Transportation Systems, 2022, 23(4): 3061–3073. doi: 10.1109/TITS.2020.3030444.
    [4]
    於志文, 孙卓, 程岳, 等. 智能无人机集群协同感知计算研究综述[J]. 航空学报, 2024, 45(20): 630912. doi: 10.7527/S1000-6893.2024.30912.

    YU Zhiwen, SUN Zhuo, CHENG Yue, et al. A review of intelligent UAV swarm collaborative perception and computation[J]. Acta Aeronautica et Astronautica Sinica, 2024, 45(20): 630912. doi: 10.7527/S1000-6893.2024.30912.
    [5]
    DUAN Haibin, ZHAO Jianxia, DENG Yimin, et al. Dynamic discrete pigeon-inspired optimization for multi-UAV cooperative search-attack mission planning[J]. IEEE Transactions on Aerospace and Electronic Systems, 2021, 57(1): 706–720. doi: 10.1109/TAES.2020.3029624.
    [6]
    段海滨, 邱华鑫. 基于群体智能的无人机集群自主控制[M]. 北京: 科学出版社, 2018. (查阅网上资料, 未找到对应的页码信息, 请确认).

    DUAN Haibin and QIU Huaxin. Unmanned Aerial Vehicle Swarm Autonomous Control Based on Swarm Intelligence[M]. Beijing: Science Press, 2018.
    [7]
    YU Yang and LEE S. Multi-UAV coverage path assignment algorithm considering flight time and energy consumption[J]. IEEE Access, 2024, 12: 26150–26162. doi: 10.1109/ACCESS.2024.3366998.
    [8]
    薛健, 赵琳, 向贤财, 等. 非完全信息下无人机集群对抗研究综述[J]. 电子与信息学报, 2024, 46(4): 1157–1172. doi: 10.11999/JEIT230544.

    XUE Jian, ZHAO Lin, XIANG Xiancai, et al. A review of the research on UAV swarm confrontation under incomplete information[J]. Journal of Electronics & Information Technology, 2024, 46(4): 1157–1172. doi: 10.11999/JEIT230544.
    [9]
    陈皓婷. 基于HTN的无人机侦察任务规划算法研究[D]. [硕士论文], 电子科技大学, 2023. doi: 10.27005/d.cnki.gdzku.2023.004024.

    CHEN Haoting. Research on UAV reconnaissance mission planning algorithm based on HTN[D]. [Master dissertation], University of Electronic Science and Technology of China, 2023. doi: 10.27005/d.cnki.gdzku.2023.004024.
    [10]
    王伟伦, 尤明, 孙磊, 等. 未知环境下无人机集群智能协同探索路径规划[J]. 工程科学学报, 2024, 46(7): 1197–1206. doi: 10.13374/j.issn2095-9389.2023.10.15.002.

    WANG Weilun, YOU Ming, SUN Lei, et al. Intelligent cooperative exploration path planning for UAV swarm in an unknown environment[J]. Chinese Journal of Engineering, 2024, 46(7): 1197–1206. doi: 10.13374/j.issn2095-9389.2023.10.15.002.
    [11]
    WAN Yuting, ZHONG Yanfei, MA Ailong, et al. An accurate UAV 3-D path planning method for disaster emergency response based on an improved multiobjective swarm intelligence algorithm[J]. IEEE Transactions on Cybernetics, 2023, 53(4): 2658–2671. doi: 10.1109/TCYB.2022.3170580.
    [12]
    杨毅, 冯彦辉, 梁月乾. 基于Dubins-RRT算法的无人机集群密集障碍物区域覆盖航路规划[J]. 战术导弹技术, 2024(5): 83–98. doi: 10.16358/j.issn.1009-1300.20240043.

    YANG Yi, FENG Yanhui, and LIANG Yueqian. Dense-obstacle area coverage path planning for UAV swarms based on Dubins-RRT algorithm[J]. Tactical Missile Technology, 2024(5): 83–98. doi: 10.16358/j.issn.1009-1300.20240043.
    [13]
    PAN Zhenhua, ZHANG Chengxi, XIA Yuanqing, et al. An improved artificial potential field method for path planning and formation control of the multi-UAV systems[J]. IEEE Transactions on Circuits and Systems II: Express Briefs, 2022, 69(3): 1129–1133. doi: 10.1109/TCSII.2021.3112787.
    [14]
    CAO Yi, CHENG Xianghong, and MU Jinzhen. Concentrated coverage path planning algorithm of UAV formation for aerial photography[J]. IEEE Sensors Journal, 2022, 22(11): 11098–11111. doi: 10.1109/JSEN.2022.3168840.
    [15]
    张栋, 李林, 王孟阳, 等. 不确定环境下多无人机察打一体任务规划方法[J]. 北京理工大学学报, 2025, 45(2): 111–125. doi: 10.15918/j.tbit1001-0645.2024.065.

    ZHANG Dong, LI Lin, WANG Mengyang, et al. Methodology for integrated reconnaissance-strike mission planning of multi-UAV under uncertain environments[J]. Transactions of Beijing Institute of Technology, 2025, 45(2): 111–125. doi: 10.15918/j.tbit1001-0645.2024.065.
    [16]
    周桢林, 龙腾, 刘大卫, 等. 基于强化学习冲突消解的大规模无人机集群航迹规划方法[J]. 兵工学报, 2025, 46(5): 223–234. doi: 10.12382/bgxb.2024.1146.

    ZHOU Zhenlin, LONG Teng, LIU Dawei, et al. Path planning method for large-scale UAV swarms based on reinforcement learning conflict resolution[J]. Acta Armamentarii, 2025, 46(5): 223–234. doi: 10.12382/bgxb.2024.1146.
    [17]
    陈进朝, 王洋, 张营, 等. 基于时空密度聚类的异构无人机集群覆盖路径规划方法[J]. 电子学报, 2025, 53(3): 705–715. doi: 10.12263/DZXB.20240258.

    CHEN Jinchao, WANG Yang, ZHANG Ying, et al. Coverage path planning for heterogeneous UAVs based on temporal-spatial density clustering[J]. Acta Electronica Sinica, 2025, 53(3): 705–715. doi: 10.12263/DZXB.20240258.
    [18]
    张兴信, 宋健, 魏凌远. 一种改进的异构型无人机集群协同侦测任务规划方法[J]. 智能安全, 2025, 4(1): 1–11. doi: 10.12407/j.issn.2097-2075.2025.01.001.

    ZHANG Xingxin, SONG Jian, and WEI Lingyuan. Improved method for heterogeneous UAV swarm cooperative reconnaissance mission planning[J]. Artificial Intelligence Security, 2025, 4(1): 1–11. doi: 10.12407/j.issn.2097-2075.2025.01.001.
    [19]
    HU Jueming, AMMAR M, HUSSAIN B Z, et al. Reinforcement-learning-driven integrated detection and mitigation of UAV GPS spoofing attacks[J]. IEEE Internet of Things Journal, 2025, 12(18): 36926–36941. doi: 10.1109/JIOT.2025.3579307.
    [20]
    XUE Yuntao and CHEN Weisheng. Combining motion planner and deep reinforcement learning for UAV navigation in unknown environment[J]. IEEE Robotics and Automation Letters, 2024, 9(1): 635–642. doi: 10.1109/LRA.2023.3334978.
    [21]
    赵天隆, 陈龙胜, 张存富, 等. 融合强化学习与改进人工势场的无人机编队路径规划[J]. 航空兵器, 2025: 1–10. doi: 10.12132/ISSN.1673-5048.2025.0075. (查阅网上资料,未找到对应的卷期页码信息,请确认).

    ZHAO Tianlong, CHEN Longsheng, ZHANG Cunfu, et al. UAV formation path planning based on reinforcement learning and improved artificial potential field[J]. Aero Weaponry, 2025: 1–10. doi: 10.12132/ISSN.1673-5048.2025.0075.
    [22]
    周从航, 李建兴, 石宇静, 等. 深度强化学习在无人机编队路径规划中的应用[J]. 电光与控制, 2024, 31(10): 27–33. doi: 10.16358/j.issn.1009-1300.2020.1.077.

    ZHOU Conghang, LI Jianxing, SHI Yujing, et al. Application of deep reinforcement learning in path planning of UAV formation[J]. Electronics Optics & Control, 2024, 31(10): 27–33. doi: 10.16358/j.issn.1009-1300.2020.1.077.
    [23]
    陈士涛, 李大喜, 赵保军. 隐身有人/无人机组合编队协同空战概念研究[J]. 战术导弹技术, 2020(6): 75–80. doi: 10.16358/j.issn.1009-1300.2020.1.077.

    CHEN Shitao, LI Daxi, and ZHAO Baojun. Research on the concepts of collaborative dogfight for stealth aerial vehicle and unmanned aerial vehicle formation flying[J]. Tactical Missile Technology, 2020(6): 75–80. doi: 10.16358/j.issn.1009-1300.2020.1.077.
    [24]
    郭亚楠, 曹小群, 何友, 等. 两栖作战中舰载无人机的应用与展望[J]. 兵工自动化, 2025, 44(2): 85–91. doi: 10.7690/bgzdh.2025.02.017.

    GUO Ya’nan, CAO Xiaoqun, HE You, et al. Application and prospect of shipborne UAV in amphibious warfare[J]. Ordnance Industry Automation, 2025, 44(2): 85–91. doi: 10.7690/bgzdh.2025.02.017.
    [25]
    WANG Yang, LI Menghan, YANG Jun, et al. Research on stealth route planning based on improved RRT algorithm[C]. Proceedings of the 5th International Conference on Mechanical, Control and Computer Engineering, Harbin, China, 2020: 1491–1495. doi: 10.1109/ICMCCE51767.2020.00327.
    [26]
    ZHANG Zitang, TANG Chunrui, and LI Yibing. Penetration path planning of stealthy UAV based on improved sparse A-star algorithm[C]. Proceedings of 2020 IEEE 3rd International Conference on Electronic Information and Communication Technology, Shenzhen, China, 2020: 388–392. doi: 10.1109/ICEICT51264.2020.9334311.
    [27]
    ORHAN E H. A path planning method for a low observable UAV in radar field[C]. Proceedings of 2020 International Conference on Unmanned Aircraft Systems, Athens, Greece, 2020: 41–47. doi: 10.1109/ICUAS48674.2020.9213945.
    [28]
    张哲, 吴剑, 代冀阳, 等. 基于改进A-Star算法的隐身无人机快速突防航路规划[J]. 航空学报, 2020, 41(7): 323692. doi: 10.7527/S1000-6893.2020.23692.

    ZHANG Zhe, WU Jian, DAI Jiyang, et al. Fast penetration path planning for stealth UAV based on improved A-Star algorithm[J]. Acta Aeronautica et Astronautica Sinica, 2020, 41(7): 323692. doi: 10.7527/S1000-6893.2020.23692.
    [29]
    WEN Wen, SHI Chenguang, and ZHOU Jianjiang. Stealthy trajectories planning algorithm for UAV cluster in multivariate threat environment[C]. Proceedings of the 7th International Conference on Electronics Technology, Chengdu, China, 2024: 624–629. doi: 10.1109/ICET61945.2024.10672716.
    [30]
    黄湘松, 王梦宇, 潘大鹏. 基于对抗强化学习的无人机逃离路径规划方法[J]. 航空学报, 2025, 46(17): 331637. doi: 10.7527/S1000-6893.2024.31637.

    HUANG Xiangsong, WANG Mengyu, and PAN Dapeng. Adversarial reinforcement learning-based UAV escape path planning method[J]. Acta Aeronautica et Astronautica Sinica, 2025, 46(17): 331637. doi: 10.7527/S1000-6893.2024.31637.
    [31]
    张震宇. 面向目标RCS分布特征的雷达探测性能研究[D]. [硕士论文], 电子科技大学, 2024. doi: 10.27005/d.cnki.gdzku.2024.001824.

    ZHANG Zhenyu. Research on radar detection performance based on target RCS signatures[D]. [Master dissertation], University of Electronic Science and Technology of China, 2024. doi: 10.27005/d.cnki.gdzku.2024.001824.
    [32]
    ZHANG Dianlun, GAO Linsen, and TENG Tingting. Multi-static sonar distributed quantized detection fusion method based on N-P criterion[C]. Proceedings of 2018 OCEANS-MTS/IEEE Kobe Techno-Oceans, Kobe, Japan, 2018: 1–4. doi: 10.1109/OCEANSKOBE.2018.8558818.
    [33]
    肖冰. 组网雷达分布式干扰效果评估方法研究[D]. [硕士论文], 哈尔滨工程大学, 2021. doi: 10.27060/d.cnki.ghbcu.2021.000536.

    XIAO Bing. Research on evaluation method of distributed jamming effect of netted radar[D]. [Master dissertation], Harbin Engineering University, 2021. doi: 10.27060/d.cnki.ghbcu.2021.000536.
    [34]
    闻雯, 时晨光, 周建江. 多元威胁环境下无人机集群隐身航迹规划算法[J]. 系统工程与电子技术, 2025, 47(9): 2971–2984. doi: 10.12305/j.issn.1001-506X.2025.09.18.

    WEN Wen, SHI Chenguang, and ZHOU Jianjiang. Stealthy paths planning algorithm for UAV swarm in multiple-threat environment[J]. Systems Engineering and Electronics, 2025, 47(9): 2971–2984. doi: 10.12305/j.issn.1001-506X.2025.09.18.
    [35]
    张哲. 隐身无人机快速突防航路规划技术研究[D]. [硕士论文], 南昌航空大学, 2021. doi: 10.27233/d.cnki.gnchc.2021.000105.

    ZHANG Zhe. Research on rapidly penetration path planning technique for stealth unmanned aerial vehicles[D]. [Master dissertation], Nanchang Hangkong University, 2021. doi: 10.27233/d.cnki.gnchc.2021.000105.
    [36]
    ZHANG Weilong, SHAN L, CHANG L, et al. SVF-RRT*: A stream-based VF-RRT* for USVs path planning considering ocean currents[J]. IEEE Robotics and Automation Letters, 2023, 8(4): 2413–2420. doi: 10.1109/LRA.2023.3245409.
    [37]
    CONG Kuidi, HU Yuhui, XU Lei, et al. Safe model predictive tracking with an improved APF-RRT* path planning for UGVs[C]. Proceedings of 2023 IEEE International Conference on Unmanned Systems, Hefei, China, 2023: 1165–1170. doi: 10.1109/ICUS58632.2023.10318271.
  • 加载中

Catalog

    通讯作者: 陈斌, bchen63@163.com
    • 1. 

      沈阳化工大学材料科学与工程学院 沈阳 110142

    1. 本站搜索
    2. 百度学术搜索
    3. 万方数据库搜索
    4. CNKI搜索

    Figures(9)  / Tables(6)

    Article Metrics

    Article views (83) PDF downloads(4) Cited by()
    Proportional views
    Related

    /

    DownLoad:  Full-Size Img  PowerPoint
    Return
    Return