Advanced Search
Volume 47 Issue 12
Dec.  2026
Turn off MathJax
Article Contents
CHEN Wen, ZOU Nan, ZHANG Guangpu, LI Yanhe. Detection of Underwater Acoustic Transient Signals under Alpha Stable Distribution Noise[J]. Journal of Electronics & Information Technology, 2025, 47(12): 5137-5145. doi: 10.11999/JEIT250500
Citation: CHEN Wen, ZOU Nan, ZHANG Guangpu, LI Yanhe. Detection of Underwater Acoustic Transient Signals under Alpha Stable Distribution Noise[J]. Journal of Electronics & Information Technology, 2025, 47(12): 5137-5145. doi: 10.11999/JEIT250500

Detection of Underwater Acoustic Transient Signals under Alpha Stable Distribution Noise

doi: 10.11999/JEIT250500 cstr: 32379.14.JEIT250500
Funds:  The National Key Laboratory Fund for Underwater Acoustic Technology (KY10500230140), The Fund of Key Laboratory of Sonar Technology(2023-JCJQ-LB-32/09)
  • Received Date: 2025-06-03
  • Accepted Date: 2025-11-12
  • Rev Recd Date: 2025-11-09
  • Available Online: 2025-11-17
  • Publish Date: 2025-12-10
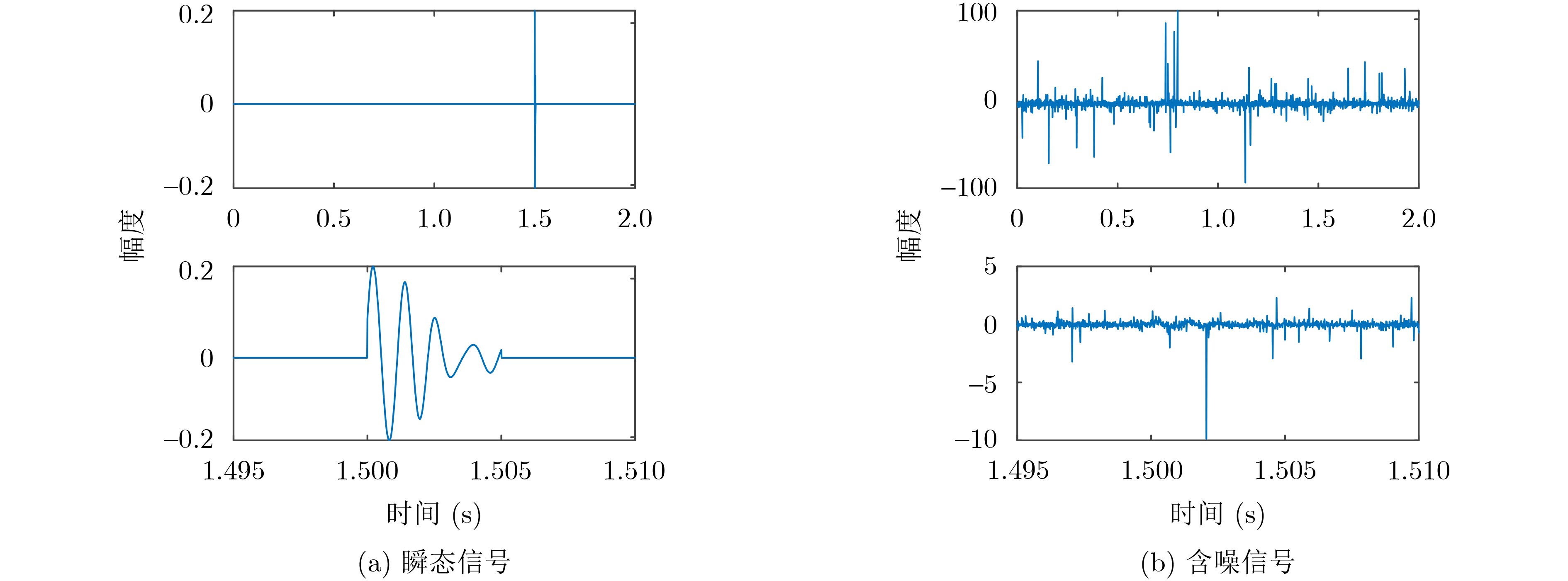
  •   Objective  Transient signals are generated during changes in the state of underwater acoustic targets and are difficult to suppress or remove. Therefore, they serve as an important basis for covert detection of underwater targets. Practical marine noise exhibits non-Gaussian behavior with impulsive components, which degrade or disable conventional Gaussian-based detectors, including energy detection commonly used in engineering systems. Existing approaches apply nonlinear processing or fractional lower-order statistics to mitigate non-Gaussian noise, yet they face drawbacks such as signal distortion and increased computational cost. To address these issues, an Alpha-stable noise model is adopted. A Data-Preprocessing denoising Short-Time Cross-Correntropy Detection (DP-STCCD) method is proposed to enable passive detection and Time-of-Arrival (ToA) estimation for unknown deterministic transient signals in non-Gaussian underwater environments.  Methods  The method consists of two stages: data-preprocessing denoising and short-time cross-correntropy detection. In the preprocessing stage, an outlier detection approach based on the InterQuartile Range (IQR) is used. Upper and lower thresholds are calculated to remove impulsive spikes while retaining local signal structure. Multi-stage filtering is then applied to further reduce noise. Median filtering reconstructs the signal with limited detail loss, and modified mean filtering suppresses remaining spikes by discarding extreme values within local windows. In the detection stage, the denoised signal is divided into short frames. Short-time cross-correntropy with a Gaussian kernel is calculated between adjacent frames to form the detection statistic. A first-order recursive filter estimates background noise and determines adaptive thresholds. Detection outputs are generated using joint amplitude-width decision rules. ToA estimation is performed by locating peaks in the short-time cross-correntropy. The method does not require prior noise information and improves robustness in non-Gaussian environments through data cleaning and information-theoretic feature extraction.  Results and Discussions  Simulations under symmetric Alpha-stable noise verify the effectiveness of the method. The preprocessing stage removes impulsive spikes while preserving key temporal features (Fig. 3). After denoising, the performance of energy detection shows partial recovery, and the peak-to-average ratio of short-time cross-correntropy features increases by 10 dB (Fig. 4, Fig. 5). Experimental results show that DP-STCCD provides higher detection probability and improved ToA estimation accuracy compared with Data Preprocessing denoising-Energy Detection(DP-ED). Under conditions with characteristic index α=1.5 and a Generalized Signal-to-Noise Ratio (GSNR) of –11 dB, DP-STCCD yields a 30.2% improvement in detection probability and an 18.4% increase in ToA estimation precision relative to the comparative method (Fig. 6, Fig. 9(a)). These findings confirm the robustness and detection capability of the proposed approach in non-Gaussian underwater noise environments.  Conclusions  A joint detection method, DP-STCCD, combining data-preprocessing denoising and short-time cross-correntropy features is proposed for transient signal detection under Alpha-stable noise. Preprocessing approaches based on IQR outlier detection and multi-stage filtering suppress impulsive interference while preserving key time-domain characteristics. Short-time cross-correntropy improves detection sensitivity and ToA estimation accuracy. The results show that the proposed method provides better performance than traditional energy detection under low GSNR and maintains stable behavior across different characteristic indices. The method offers a feasible solution for covert underwater target detection in non-Gaussian environments. Future work will optimize the algorithm for real marine noise and improve its engineering applicability.
  • loading
  • [1]
    梁国龙, 张博宇, 齐滨, 等. 无源声呐水下多目标融合跟踪方法[J]. 声学学报, 2024, 49(3): 501–512. doi: 10.12395/0371-0025.2022188.

    LIANG Guolong, ZHANG Boyu, QI Bin, et al. Underwater multitarget fusion tracking method for passive sonar[J]. Acta Acustica, 2024, 49(3): 501–512. doi: 10.12395/0371-0025.2022188.
    [2]
    杨振, 邹男, 付进. Hilbert-Huang变换在瞬态信号检测中的应用[J]. 声学技术, 2015, 34(2): 167–171. doi: 10.16300/j.cnki.1000-3630.2015.02.013.

    YANG Zhen, ZOU Nan, and FU Jin. Application of Hilbert-Huang transform in transient signal detection[J]. Technical Acoustics, 2015, 34(2): 167–171. doi: 10.16300/j.cnki.1000-3630.2015.02.013.
    [3]
    LU Ning and EISENSTEIN B. Detection of weak signals in non-Gaussian noise[J]. IEEE Transactions on Information Theory, 1981, 27(6): 755–771. doi: 10.1109/TIT.1981.1056414.
    [4]
    LIU Haotian, MA Lu, WANG Zhaohui, et al. Channel prediction for underwater acoustic communication: A review and performance evaluation of algorithms[J]. Remote Sensing, 2024, 16(9): 1546. doi: 10.3390/rs16091546.
    [5]
    NIKIAS C L and SHAO Min. Signal Processing with Alpha-Stable Distributions and Applications[M]. New York: Wiley, 1995.
    [6]
    谭靖骞, 曹宇, 黄海宁, 等. 北极海域海洋环境噪声建模与特性分析[J]. 应用声学, 2020, 39(5): 690–697. doi: 10.11684/j.issn.1000-310X.2020.05.006.

    TAN Jingqian, CAO Yu, HUANG Haining, et al. Modeling and characterization of marine ambient noise in the Arctic[J]. Journal of Applied Acoustics, 2020, 39(5): 690–697. doi: 10.11684/j.issn.1000-310X.2020.05.006.
    [7]
    宋国丽, 郭新毅, 马力. 海洋环境噪声中的α稳定分布模型[J]. 声学学报, 2019, 44(2): 177–188. doi: 10.15949/j.cnki.0371-0025.2019.02.004.

    SONG Guoli, GUO Xinyi, and MA Li. α stable distribution model in ocean ambient noise[J]. Acta Acustica, 2019, 44(2): 177–188. doi: 10.15949/j.cnki.0371-0025.2019.02.004.
    [8]
    冯晓, 周明章, 张学波, 等. 浅海非高斯噪声下基于变分贝叶斯推断的波达角估计[J]. 电子与信息学报, 2022, 44(6): 1887–1896. doi: 10.11999/JEIT211284.

    FENG Xiao, ZHOU Mingzhang, ZHANG Xuebo, et al. Variational Bayesian inference based direction of arrival estimation in presence of shallow water non-Gaussian noise[J]. Journal of Electronics & Information Technology, 2022, 44(6): 1887–1896. doi: 10.11999/JEIT211284.
    [9]
    王平波, 代振, 卫红凯. 基于SαS分布的高斯化处理研究[J]. 电子与信息学报, 2020, 42(9): 2239–2245. doi: 10.11999/JEIT190539.

    WANG Pingbo, DAI Zhen, and WEI Hongkai. Study of Gaussianization processing based on symmetric alpha-stable distribution modeling[J]. Journal of Electronics & Information Technology, 2020, 42(9): 2239–2245. doi: 10.11999/JEIT190539.
    [10]
    吕玉娇, 黄海宁, 张扬帆, 等. 冰下非高斯噪声下的范数约束波束形成方法[J]. 声学学报, 2024, 49(2): 286–297. doi: 10.12395/0371-0025.2022137.

    LÜ Yujiao, HUANG Haining, ZHANG Yangfan, et al. Norm-constraining beamforming amid under-ice non-Gaussian noise[J]. Acta Acustica, 2024, 49(2): 286–297. doi: 10.12395/0371-0025.2022137.
    [11]
    MA Jitong, HU Mutian, WANG Tianyu, et al. Automatic modulation classification in impulsive noise: Hyperbolic-tangent cyclic spectrum and multibranch attention shuffle network[J]. IEEE Transactions on Instrumentation and Measurement, 2023, 72: 5501613. doi: 10.1109/TIM.2023.3244798.
    [12]
    CHENG Yabing, LI Chao, CHEN Shuming, et al. An enhanced impulse noise control algorithm using a novel nonlinear function[J]. Circuits, Systems, and Signal Processing, 2023, 42(11): 6524–6543. doi: 10.1007/s00034-023-02421-3.
    [13]
    THANH D N H, PRASATH V B S, PHUNG T K, et al. Impulse denoising based on noise accumulation and harmonic analysis techniques[J]. Optik, 2021, 241: 166163. doi: 10.1016/j.ijleo.2020.166163.
    [14]
    URKOWITZ H. Energy detection of unknown deterministic signals[J]. Proceedings of the IEEE, 1967, 55(4): 523–531. doi: 10.1109/PROC.1967.5573.
    [15]
    JIA Li, DAI Wenshu, ZHANG Guojun, et al. Improved frequency detection capability of MEMS bionic vector hydrophone in low signal-to-noise ratio environment[J]. IEEE Transactions on Instrumentation and Measurement, 2025, 74: 7501910. doi: 10.1109/TIM.2025.3544358.
    [16]
    郑作虎, 王首勇. 基于Alpha稳定分布杂波模型的雷达目标检测方法[J]. 电子与信息学报, 2014, 36(12): 2963–2968. doi: 10.3724/SP.J.1146.2014.00072.

    ZHENG Zuohu and WANG Shouyong. Radar target detection method based on the alpha-stable distribution clutter model[J]. Journal of Electronics & Information Technology, 2014, 36(12): 2963–2968. doi: 10.3724/SP.J.1146.2014.00072.
    [17]
    舒彤, 余香梅, 查代奉, 等. Alpha稳定分布噪声条件下的广义S变换时频分析[J]. 信号处理, 2014, 30(6): 634–641. doi: 10.3969/j.issn.1003-0530.2014.06.003.

    SHU Tong, YU Xiangmei, ZHA Daifeng, et al. Time-frequency distribution of generalized S-transform under Alpha stable distributed noise conditions[J]. Journal of Signal Processing, 2014, 30(6): 634–641. doi: 10.3969/j.issn.1003-0530.2014.06.003.
    [18]
    MA Jitong, ZHANG Jiacheng, YANG Zhengyan, et al. Super-resolution time delay estimation using exponential kernel correlation in impulsive noise and multipath environments[J]. Digital Signal Processing, 2023, 133: 103882. doi: 10.1016/j.dsp.2022.103882.
    [19]
    DONG Xudong, SUN Meng, ZHANG Xiaofei, et al. Fractional low-order moments based DOA estimation with co-prime array in presence of impulsive noise[J]. IEEE Access, 2021, 9: 23537–23543. doi: 10.1109/ACCESS.2021.3057381.
    [20]
    邱天爽. 相关熵与循环相关熵信号处理研究进展[J]. 电子与信息学报, 2020, 42(1): 105–118. doi: 10.11999/JEIT190646.

    QIU Tianshuang. Development in signal processing based on correntropy and cyclic correntropy[J]. Journal of Electronics & Information Technology, 2020, 42(1): 105–118. doi: 10.11999/JEIT190646.
    [21]
    LIU Weifeng, POKHAREL P P, and PRINCIPE J C. Correntropy: Properties and applications in non-Gaussian signal processing[J]. IEEE Transactions on Signal Processing, 2007, 55(11): 5286–5298. doi: 10.1109/TSP.2007.896065.
    [22]
    HE Ran, ZHENG Weishi, and HU Baogang. Maximum correntropy criterion for robust face recognition[J]. IEEE Transactions on Pattern Analysis and Machine Intelligence, 2011, 33(8): 1561–1576. doi: 10.1109/TPAMI.2010.220.
    [23]
    ZHAO Jun, GUI Renzhou, DONG Xudong, et al. Direction of arrival estimation with nested arrays in presence of impulsive noise: A correlation entropy-based infinite norm strategy[J]. Remote Sensing, 2023, 15(22): 5345. doi: 10.3390/rs15225345.
    [24]
    SHI Long, SHEN Lu, and CHEN Badong. An efficient parameter optimization of maximum correntropy criterion[J]. IEEE Signal Processing Letters, 2023, 30: 538–542. doi: 10.1109/LSP.2023.3273174.
    [25]
    ZHANG Yingqiao, FANG Zhiying, and FAN Jun. Generalization analysis of deep CNNs under maximum correntropy criterion[J]. Neural Networks, 2024, 174: 106226. doi: 10.1016/j.neunet.2024.106226.
  • 加载中

Catalog

    通讯作者: 陈斌, bchen63@163.com
    • 1. 

      沈阳化工大学材料科学与工程学院 沈阳 110142

    1. 本站搜索
    2. 百度学术搜索
    3. 万方数据库搜索
    4. CNKI搜索

    Figures(9)

    Article Metrics

    Article views (471) PDF downloads(74) Cited by()
    Proportional views
    Related

    /

    DownLoad:  Full-Size Img  PowerPoint
    Return
    Return