Joint Power Allocation and AP On-Off Control for Long-Term Energy Efficient Cell-Free Massive MIMO Systems
-
摘要: 无蜂窝大规模多输入多输出(CF-mMIMO)系统通过密集部署接入点(AP)显著提升了频谱效率。然而,海量AP的持续激活会带来巨大的能量开销,尤其在低业务到达率场景下,这种能量浪费在长期来看将显著削弱系统的能量可持续性。为此,该文提出一种基于李雅普诺夫理论的动态资源调度策略。该策略构建了功率分配与AP开关控制的联合优化模型,利用李雅普诺夫理论将原随机优化问题分解为一系列逐时隙的优化问题,在保障队列稳定性的前提下,将每个时隙内的优化问题分解为功率分配和AP开关控制两个子问题,并采用交替优化算法求解,从而实现对网络状态及业务流量波动的自适应资源配置。仿真结果表明,相较于无AP开关控制方案,本文所提方案在功率放大器效率$ {\xi }_{m}=0.38 $和$ {\xi }_{m}=0.45 $的条件下,分别实现了至少13.81%和17.49%的长期能效增益,同时在业务流量动态波动条件下具有较快收敛速度,并在非完美信道状态信息(CSI)下仍能维持系统性能,表现出良好的鲁棒性。
-
关键词:
- 无蜂窝大规模MIMO /
- 长期能效 /
- 李雅普诺夫 /
- 交替优化 /
- 资源分配
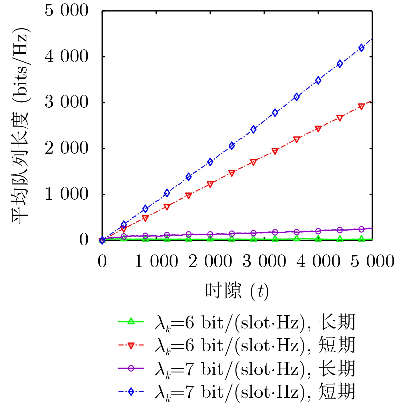
Abstract:Objective With the rapid evolution of wireless communication technologies, Cell-Free Massive Multiple-Input Multiple-Output (CF-mMIMO) has emerged as a key paradigm to overcome the limitations of traditional cell-centric networks, such as restricted performance for edge users. By deploying a large number of distributed Access Points (APs) connected to a Central Processing Unit (CPU) to serve users cooperatively, CF-mMIMO significantly enhances spectral efficiency and macro-diversity gain. However, the dense deployment of APs introduces a critical challenge: substantial energy consumption. In practical deployments, if all APs remain continuously active, especially during periods of low traffic load, it results in excessive and unnecessary energy waste. This not only compromises network sustainability but also conflicts with global “dual-carbon” objectives. Existing research on energy efficiency in CF-mMIMO systems has mainly focused on short-term performance optimization, these traditional short-term optimization strategies often overlook the long-term dynamics of data traffic arrivals and the critical requirement of queue stability. As a result, they lack robustness against time-varying traffic conditions, potentially causing queue congestion and severe performance fluctuations, which are unacceptable for next-generation wireless networks with stringent reliability demands. Although several recent works have begun to investigate long-term energy efficiency optimization, they typically assume that all APs remain active at all times, thereby neglecting the considerable energy-saving potential enabled by adaptive AP on-off control. Methods To address these limitations, this paper proposes a joint power allocation and AP on-off control strategy for downlink CF-mMIMO systems. The optimization problem is modeled to maximize long-term energy efficiency subject to user queue stability and AP power constraints. To tackle the long-term and stochastic nature of the problem, the Lyapunov optimization framework is employed to transform the original long-term fractional programming problem into a sequence of deterministic drift-plus-penalty minimization problems that are solved in each time slot. Due to the non-convexity of the resulting per-slot optimization problems, each time-slot problem is further decomposed into two subproblems, namely power allocation and AP on-off control. The Successive Convex Approximation (SCA) technique is then applied to convexify the non-convex subproblems, yielding a series of solvable convex optimization problems. Furthermore, an alternating optimization algorithm for joint power allocation and AP on-off control is designed, thereby achieving adaptive resource configuration in response to dynamic network conditions and stochastic traffic fluctuations. Results and Discussions The performance of the proposed algorithm is evaluated through extensive simulations. Firstly, the convergence behavior is analyzed. Numerical results ( Fig. 2 ) show that per-slot energy efficiency increases rapidly and stabilizes after a few iterations, verifying the convergence performance of the alternating optimization. Secondly, the impact of the control parameter is investigated. As the parameter increases, the algorithm emphasizes energy efficiency, causing average power consumption to decrease and then stabilize (Fig. 3 ), while long-term energy efficiency rises and stabilizes (Fig. 4 ), confirming the trade-off between energy efficiency and queue stability. Thirdly, the proposed scheme is compared with three baselines. Results (Fig. 5 ) demonstrate that the proposed joint optimization algorithm consistently achieves higher long-term energy efficiency than all baselines. Fourthly, the necessity of long-term optimization is highlighted by queue length comparison with a short-term baseline (Fig. 6 ). Under the same arrival rate, the short-term scheme shows cumulative instability, while the Lyapunov-based method maintains queue length within a stable range, ensuring network stability. Finally, robustness under imperfect CSI is evaluated (Fig. 7 ). Although energy efficiency decreases with increasing channel uncertainty, the proposed algorithm consistently outperforms baselines, demonstrating strong robustness against estimation errors.Conclusions This paper presents a long-term energy efficiency optimization framework for CF-mMIMO systems under stochastic traffic arrivals. Leveraging Lyapunov optimization theory, the stochastic long-term problem is transformed into slot-level drift-plus-penalty problems based on queue states, enabling per-slot resource scheduling decisions while ensuring system queue stability. On this basis, an efficient joint resource scheduling algorithm combining power allocation and AP on-off control is proposed. The original problem is decomposed into power allocation and AP on-off subproblems, which are solved via alternating optimization. Simulation results demonstrate that the proposed strategy can dynamically adapt to traffic fluctuations. By intelligently putting underutilized APs into sleep mode, the method enhances long-term system energy efficiency while maintaining queue stability. These findings provide valuable insights for designing future green and sustainable networks. -
表 1 符号说明表
符号 描述 符号 描述 $ M,K,L $ AP、用户和AP天线数量 $ {\boldsymbol{h}}_{m,k} $ 接入点$ m $到用户$ k $的信道向量 $ {\boldsymbol{w}}_{\boldsymbol{m},\boldsymbol{k}} $ 接入点$ m $到用户$ k $的归一化预编码向量 $ {\boldsymbol{g}}_{m,k} $ 接入点$ m $到用户$ k $的小尺度衰落向量 $ {\beta }_{m,k} $ 接入点$ m $到用户$ k $的大尺度衰落系数 $ {p}_{m,k} $ 接入点$ m $向用户$ k $的发射功率 $ {y}_{m} $ 接入点$ m $的开关状态变量 $ {{{\xi }_{m}},P}_{m} $ 接入点$ m $的功率放大器效率和总功耗 $ {Q}_{k}(t),{A}_{k}(t),{R}_{k}\left(t\right) $ 用户$ k $的队列状态、到达率和服务率 $ U\left( t\right) $ 李雅普诺夫函数 $ \Delta (t) $ 李雅普诺夫漂移 $ V $ 能效-稳定性控制参数 $ {R}_{\text{total}},{P}_{\text{total}} $ 系统的总速率和总功耗 $ {\overline{\eta }}_{\text{EE}} $ 系统的长期能效 1 长期优化算法
(1) 初始化:队列状态$ {Q}_{k}(0) $,累计速率$ {R}_{\text{sum}}(0)=0 $,累计功率$ {P}_{\text{sum}}(0)=0 $,控制参数$ V $,最大时隙数$ {T}_{\max } $,能量效率$ {\eta }_{\text{EE}}(0) $。 (2) for $ t=1{,}2,\cdots ,{T}_{\max } $ (3) 借助算法2求解优化问题(18),得到$ \{{p}_{m,k}(t)\} $与$ \{{y}_{m}(t)\} $的最优解。 (4) 更新总速率$ {R}_{\text{total}}(t)=\displaystyle\sum \nolimits_{k=1}^{K}{R}_{k}(t) $,总功率$ {P}_{\text{total}}(t)=\displaystyle\sum \nolimits_{m=1}^{M}{P}_{m}(t) $,累计速率$ {R}_{\text{sum}}(t)={R}_{\text{sum}}(t-1)+{R}_{\text{total}}(t) $,累计功率
$ {P}_{\text{sum}}(t)={P}_{\text{sum}}(t-1)+{P}_{\text{total}}(t) $,能量效率$ {\eta }_{\text{EE}}(t)={R}_{\text{sum}}(t)/{P}_{\text{sum}}(t) $,队列状态$ {Q}_{k}(t) $。(5) end for 表 2 仿真参数
参数设置 数值 参数设置 数值 路径增益常数$ a $ 1 信道带宽$ B $ 2 MHz 阴影衰落$ {e}_{m,k} $ 8 dB AP最大传输功率$ {P}_{\max } $ 30 dBm 路径损耗常数$ \alpha $ 3 活跃状态下AP固定功耗$ P_{\mathrm{A}}^{m} $ 27 dBm 噪声方差$ {\sigma }^{2} $ –80 dBm/Hz 休眠状态下AP固定功耗$ P_{\mathrm{S}}^{m} $ 20 dBm 2 联合功率分配与AP开关控制算法
(1) 初始化:迭代索引$ \mathrm{seq}=1 $,最大迭代次数$ {\text{seq}}_{\max } $,收敛精度$ \zeta ={10}^{-3} $。 (2) 输入:队列状态$ {Q}_{k}(t) $,能量效率$ {\text{h}}_{\text{EE}}(t) $,功率$ p_{m,k}^{(0)}(t) $,AP状态$ y_{m}^{(0)}(t) $,$ b_{k}^{(0)}(t) $和$ z_{k}^{(0)}(t) $。 (3) while $ \mathrm{seq}\leq {\text{seq}}_{\max } $ do (4) 根据式(22)更新$ b_{k}^{(\text{seq})}(t) $。 (5) 基于$ b_{k}^{(\text{seq})}(t) $求解优化问题(23),得到$ p_{m,k}^{(\text{seq})}(t) $。 (6) 根据式(25)更新$ z_{k}^{(\text{seq})}(t) $。 (7) 基于$ z_{k}^{(\text{seq})}(t) $求解优化问题(26),得到$ y_{m}^{(\text{seq})}(t) $。 (8) if $ \displaystyle\sum \nolimits_{m=1}^{M}\displaystyle\sum \nolimits_{k=1}^{K}{\left| p_{m,k}^{(\text{seq})}\left(t\right)-p_{m,k}^{(\mathrm{seq}-1)}\left(t\right)\right| }^{2}\leq \zeta $ and $ \displaystyle\sum \nolimits_{m=1}^{M}{\left| y_{m}^{(\text{seq})}\left(t\right)-y_{m}^{(\mathrm{seq}-1)}\left(t\right)\right| }^{2}\leq \zeta $ then (9) break; (10) end if (11) 更新迭代索引$ \mathrm{seq}=\mathrm{seq}+1\mathrm{。} $ (12) end while (13) 输出:$ p_{m,k}^{*}(t)=p_{m,k}^{(\text{seq})}(t) $,$ y_{m}^{*}(t)=y_{m}^{(\text{seq})}(t) $ -
[1] 徐勇军, 邱友静, 张海波. 智能反射面辅助的环境反向散射通信系统信道估计算法研究[J]. 电子与信息学报, 2025, 47(1): 75–83. doi: 10.11999/JEIT240395.XU Yongjun, QIU Youjing, and ZHANG Haibo. Channel estimation for intelligent reflecting surface assisted ambient backscatter communication systems[J]. Journal of Electronics & Information Technology, 2025, 47(1): 75–83. doi: 10.11999/JEIT240395. [2] 丁云齐, 陈东华, 陈佳凡, 等. RIS辅助的多小区无线信息能量协同传输方案[J]. 计算机应用研究, 2025, 42(12): 3732–3736. doi: 10.19734/j.issn.1001-3695.2025.05.0149.DING Yunqi, CHEN Donghua, CHEN Jiafan, et al. RIS-assisted multi-cell wireless information and energy cooperative transmission scheme[J]. Application Research of Computers, 2025, 42(12): 3732–3736. doi: 10.19734/j.issn.1001-3695.2025.05.0149. [3] CHONG Baolin, GUO Fengqian, LU Hancheng, et al. On the distribution of SINR for cell-free massive MIMO systems[J]. IEEE Transactions on Communications, 2025, 73(2): 832–845. doi: 10.1109/TCOMM.2024.3442694. [4] NGO H Q, ASHIKHMIN A, YANG Hong, et al. Cell-free massive MIMO versus small cells[J]. IEEE Transactions on Wireless Communications, 2017, 16(3): 1834–1850. doi: 10.1109/TWC.2017.2655515. [5] CHEN Guanghui, WANG Zheng, LIN Hongxin, et al. Computationally efficient unsupervised deep learning for robust joint AP clustering and beamforming design in cell-free systems[J]. IEEE Transactions on Wireless Communications, 2025, 24(5): 4250–4266. doi: 10.1109/TWC.2025.3535741. [6] CHONG Baolin, LU Hancheng, QIN Langtian, et al. Performance optimization on cell-free massive MIMO-aided URLLC systems with user grouping[J]. IEEE Transactions on Wireless Communications, 2024, 23(10): 13977–13992. doi: 10.1109/TWC.2024.3407572. [7] JAYAWEERA N, MANOSHA K B S, RAJATHEVA N, et al. Minimizing energy consumption in cell-free massive MIMO networks[J]. IEEE Transactions on Vehicular Technology, 2024, 73(9): 13263–13277. doi: 10.1109/TVT.2024.3392790. [8] LIN Jingran, MA Mengyuan, LI Qiang, et al. Joint long-term admission control and beamforming in green downlink networks: Offline and online approaches[J]. IEEE Transactions on Vehicular Technology, 2020, 69(8): 8710–8724. doi: 10.1109/TVT.2020.2999905. [9] 徐勇军, 姜思巧, 张海波, 等. 基于硬件损伤的认知反向散射通信网络鲁棒安全资源分配算法[J]. 电子与信息学报, 2024, 46(2): 652–661. doi: 10.11999/JEIT230117.XU Yongjun, JIANG Siqiao, ZHANG Haibo, et al. Robust secure resource allocation algorithm for cognitive backscatter communication with hardware impairment[J]. Journal of Electronics & Information Technology, 2024, 46(2): 652–661. doi: 10.11999/JEIT230117. [10] XU Yongjun, XU Juan, LI Xingwang, et al. RIS-assisted heterogeneous backscatter communications: A robust design[J]. IEEE Transactions on Communications, 2025, 73(12): 13214–13225. doi: 10.1109/TCOMM.2025.3588574. [11] MUSSBAH M, SCHWARZ S, and RUPP M. Beam-domain-based pilot assignment for energy efficient cell-free massive MIMO[J]. IEEE Communications Letters, 2024, 28(9): 2176–2180. doi: 10.1109/LCOMM.2024.3436886. [12] WU Zhihui, JIANG Yanxiang, HUANG Yige, et al. Energy-efficient joint AP selection and power control in cell-free massive MIMO systems: A hybrid action space-DRL approach[J]. IEEE Communications Letters, 2024, 28(9): 2086–2090. doi: 10.1109/LCOMM.2024.3424507. [13] ZHOU Wen, JIAO Wanguo, SUO Long, et al. Max-min energy efficient optimization for RIS-aided cell-free MIMO systems with statistical CSI[J]. IEEE Wireless Communications Letters, 2024, 13(12): 3518–3522. doi: 10.1109/LWC.2024.3475734. [14] YAN Bin, WANG Zheng, ZHANG Jiayi, et al. Joint antenna activation and power allocation for energy-efficient cell-free massive MIMO systems[J]. IEEE Wireless Communications Letters, 2025, 14(1): 243–247. doi: 10.1109/LWC.2024.3497980. [15] YIN Yuting, LIU Bo, ZHU Pengcheng, et al. Joint long-term energy efficient scheduling and beamforming design for URLLC in cell-free MIMO systems[J]. IEEE Wireless Communications Letters, 2024, 13(1): 118–122. doi: 10.1109/LWC.2023.3322443. [16] LI Yaqi, SUN Xiaoyu, LI Jiamin, et al. Long-term energy-efficient duplex mode optimization for cell-free massive MIMO systems with network-assisted full-duplex[J]. IEEE Transactions on Green Communications and Networking, 2025, 9(3): 1036–1049. doi: 10.1109/TGCN.2024.3507921. [17] CHONG Baolin and LU Hancheng. Statistical QoS provisioning for URLLC in cell-free massive MIMO systems[J]. IEEE Transactions on Communications, 2024, 72(12): 7650–7663. doi: 10.1109/TCOMM.2024.3420808. [18] WU Guowen, CHEN Xihang, SHEN Yizhou, et al. Combining lyapunov optimization with actor–critic networks for privacy-aware IIoT computation offloading[J]. IEEE Internet of Things Journal, 2024, 11(10): 17437–17452. doi: 10.1109/JIOT.2024.3357110. [19] NEELY M J. Stochastic Network Optimization with Application to Communication and Queueing Systems[M]. San Rafael: Morgan & Claypool Publishers, 2010: 1–211. [20] SHEN Kaiming and YU Wei. Fractional programming for communication systems—Part I: Power control and beamforming[J]. IEEE Transactions on Signal Processing, 2018, 66(10): 2616–2630. doi: 10.1109/TSP.2018.2812733. [21] XIA Funing, WANG Junyuan, and DAI Lin. Clustered cell-free networking with BS sleeping for downlink sum rate maximization[C]. 2025 IEEE Wireless Communications and Networking Conference (WCNC), Milan, Italy, 2025: 1–6. doi: 10.1109/WCNC61545.2025.10978508. [22] XU Bingqian, ZHU Pengcheng, LI Jiamin, et al. Joint long-term energy efficiency optimization in C-RAN with hybrid energy supply[J]. IEEE Transactions on Vehicular Technology, 2020, 69(10): 11128–11138. doi: 10.1109/TVT.2020.3007825. [23] GHIASI N, MASHHADI S, FARAHMAND S, et al. Energy efficient AP selection for cell-free massive MIMO systems: Deep reinforcement learning approach[J]. IEEE Transactions on Green Communications and Networking, 2023, 7(1): 29–41. doi: 10.1109/TGCN.2022.3196013. [24] CHONG Baolin, GUO Fengqian, GUO Cheng, et al. Joint semantic information extraction and resource allocation in user-centric semantic communication networks[J]. IEEE Transactions on Mobile Computing, 2026. doi: 10.1109/TMC.2026.3655016. (查阅网上资料,未找到对应的卷期页码信息,请确认). [25] INTERDONATO G, FRENGER P, and LARSSON E G. Scalability aspects of cell-free massive MIMO[C]. 2019 IEEE International Conference on Communications (ICC), Shanghai, China, 2019: 1–6. doi: 10.1109/ICC.2019.8761828. [26] ZHANG Chenwu, LU Hancheng, and CHEN Changwen. Energy efficiency optimization in reconfigurable intelligent surfaces-assisted downlink user-centric networks[J]. IEEE Transactions on Vehicular Technology, 2025, 74(8): 12449–12464. doi: 10.1109/TVT.2025.3553619. -
下载:
下载: