A Multi-step Channel Prediction Method Based on Pseudo-3D Convolutional Neural Network with Attention Mechanism
-
摘要: 现有大规模MIMO信道预测多以广义平稳假设为前提,且多采用单步预测。面对非平稳场景,单步结果极易失效,频繁迭代亦显著抬高导频开销。为此,该文构建一套融合伪三维卷积(P3D)与注意力模块的时频联合多步预测框架。该方案以伪三维卷积替代3D卷积实现信道状态信息(CSI)在时域与频域的高效特征提取,并叠加通道与空间的混合注意力(CBAM),增强网络对全局依赖的表征能力,从而提升预测精度。基于实测信道的实验验证显示,该方法在多步预测任务上具有明显优势。与此同时,结合迁移学习思路,完成了由单天线到多天线场景的平滑扩展。
-
关键词:
- 大规模MIMO /
- 多步信道状态信息预测 /
- 伪三维卷积 /
- 混合注意力 /
- 时频联合特征
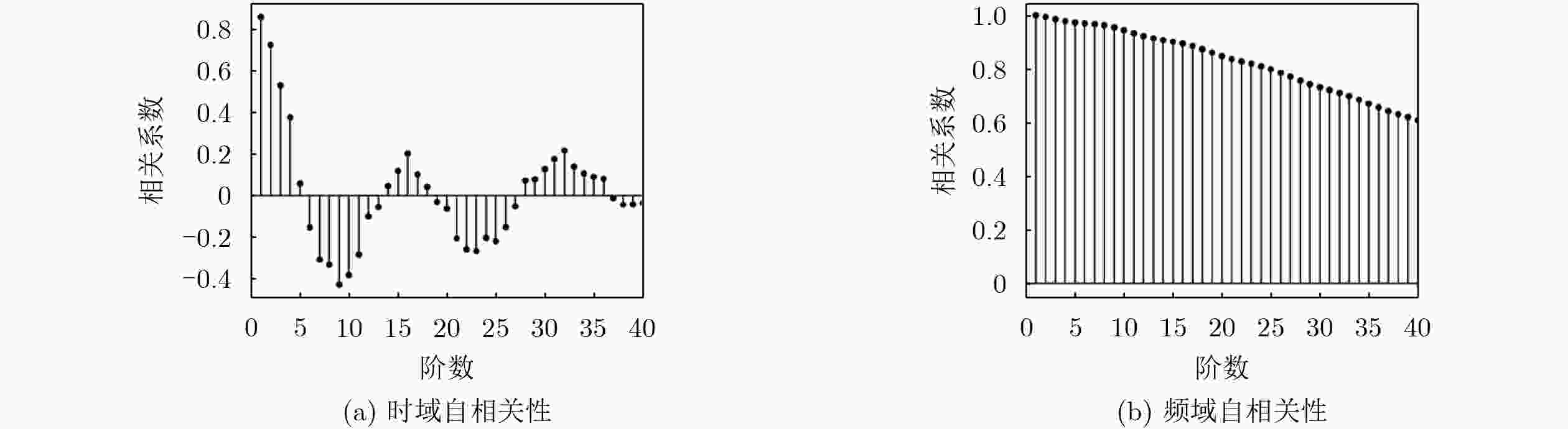
Abstract:Objective With the rapid growth in connections and data traffic in Fifth Generation (5G) mobile networks, massive Multiple-Input Multiple-Output (MIMO) has become a key technology for improving network performance. The spectral efficiency and energy efficiency of massive MIMO transmission depend on accurate Channel State Information (CSI). However, the non-stationary characteristics of wireless channels, terminal processing delay, and the use of ultra-high-frequency bands intensify CSI aging, which necessitates channel prediction. Most mainstream prediction schemes are designed for generalized stationary channels and rely on single-step prediction. In non-stationary environments, CSI obtained through single-step prediction is likely to become outdated, and frequent single-step prediction greatly increases pilot overhead. To address these challenges, a multi-step channel prediction method based on a Pseudo-Three-Dimensional Convolutional Neural Network (P3D-CNN) and an attention mechanism is proposed. The method learns the joint time–frequency characteristics of CSI, leverages high frequency-domain correlation to mitigate the effect of lower time-domain correlation in multi-step prediction, and improves prediction performance. Methods In this study, the uplink model of a massive MIMO system is constructed ( Fig. 1 ). CSI is obtained through channel estimation, using an Inverse Fast Fourier Transform (IFFT) at the transmitter and a Fast Fourier Transform (FFT) at the receiver. Actual channel measurements provide a CSI dataset with time–frequency dimensions, and autocorrelation analyses are performed in both domains. A multi-step channel prediction network, termed P3D-CNN with the Convolutional Block Attention Module (CBAM) (Fig. 13), is designed. The P3D-CNN structure replaces the traditional Three-Dimensional Convolutional Neural Network (3D-CNN) by decomposing the three-dimensional convolution into a two-dimensional convolution in the frequency domain and a one-dimensional convolution in the time domain, which greatly reduces computational complexity. The CBAM-based hybrid attention mechanism is incorporated to extract global information in the frequency and channel domains, further improving channel prediction accuracy.Results and Discussions Based on the measured CSI dataset, the prediction method using an AutoRegressive (AR) model, the prediction method using Fully Connected Long Short-Term Memory (FC-LSTM), and the prediction method using P3D-CNN-CBAM are compared under different prediction steps. Simulation results show that the average Normalized Mean Square Error (NMSE) of the proposed P3D-CNN-CBAM method is lower than that of the other two methods ( Fig. 17 ). As the prediction step increases from 1 to 10, prediction error rises sharply because the AR model and FC-LSTM rely solely on time-domain correlation. When the prediction step is 10, the average NMSE of these two methods reaches 0.5868 and 0.7648, respectively. The P3D-CNN-CBAM method yields an average NMSE of only 0.3078, maintaining strong prediction performance. The improvement brought by integrating CBAM into the P3D-CNN network is also verified (Fig. 18 ). Finally, through transfer learning, the proposed method is extended from single-day datasets to multi-day scenarios.Conclusions Based on the measured CSI dataset, a multi-step prediction method addressing CSI aging in massive MIMO systems is proposed. The method applies P3D-CNN with CBAM to improve multi-step prediction accuracy. By replacing full three-dimensional convolution with pseudo-three-dimensional convolution, time–frequency CSI information is effectively extracted, and the CBAM mechanism enhances the learning of global features. Experimental results show that: (1) the proposed method achieves clear performance advantages over AR- and FC-LSTM-based approaches; and (2) through transfer learning, multi-step prediction is extended from single-antenna to multi-antenna scenarios. -
[1] Global System for Mobile Communications Assembly (GSMA). The mobile economy China 2024[R]. London: GSMA, 2024. [2] REDDY M S, KUMAR T A, and RAO K S. Spectral efficiency analysis of massive MIMO system[C]. 2016 IEEE Conference on Systems, Process and Control (ICSPC), Melaka, Malaysia, 2016: 148–153. doi: 10.1109/SPC.2016.7920720. [3] PRASAD K N R S V, HOSSAIN E, and BHARGAVA V K. Energy efficiency in massive MIMO-based 5G networks: Opportunities and challenges[J]. IEEE Wireless Communications, 2017, 24(3): 86–94. doi: 10.1109/MWC.2016.1500374WC. [4] HONG W B, BAEK K H, LEE Y, et al. Study and prototyping of practically large-scale mmWave antenna systems for 5G cellular devices[J]. IEEE Communications Magazine, 2014, 52(9): 63–69. doi: 10.1109/MCOM.2014.6894454. [5] 邱玲. 多用户、多小区MIMO通信技术[M]. 北京: 人民邮电出版社, 2011: 1–290.QIU Ling. Multi-User Multi-Cell MIMO Communication Technology[M]. Beijing: Posts & Telecom Press, 2011: 1–290. [6] ZHANG R, ISOLA P, and EFROS A A. Split-brain autoencoders: Unsupervised learning by cross-channel prediction[C]. 2017 IEEE Conference on Computer Vision and Pattern Recognition, Honolulu, USA, 2017: 645–654. doi: 10.1109/CVPR.2017.76. [7] 郑明明, 彭薇, 刘川, 等. 面向智慧城市数字孪生网络的资源分配方案[J]. 电信科学, 2025, 41(9): 43–54. doi: 10.11959/j.issn.1000-0801.2025210.ZHENG Mingming, PENG Wei, LIU Chuan, et al. Resource allocation scheme for digital twin networks in smart cities[J]. Telecommunications Science, 2025, 41(9): 43–54. doi: 10.11959/j.issn.1000-0801.2025210. [8] 于创宇, 徐彦彦, 潘少明. 基于MIMO-CSI预测的轻量化信源信道联合编码方法[J]. 电信科学, 2025, 41(6): 29–47. doi: 10.11959/j.issn.1000-0801.2025126.YU Chuangyu, XU Yanyan, and PAN Shaoming. Lightweight joint source-channel coding method based on MIMO-CSI prediction[J]. Telecommunications Science, 2025, 41(6): 29–47. doi: 10.11959/j.issn.1000-0801.2025126. [9] LI Xingwang, ZHANG Junyao, HAN Congzheng, et al. Reliability and security of CR-STAR-RIS-NOMA-assisted IoT networks[J]. IEEE Internet of Things Journal, 2024, 11(17): 27969–27980. doi: 10.1109/JIOT.2023.3340371. [10] TRUONG K T and HEATH R W. Effects of channel aging in massive MIMO systems[J]. Journal of Communications and Networks, 2013, 15(4): 338–351. doi: 10.1109/JCN.2013.000065. [11] 李泽慧, 张琳, 山显英. 三维卷积神经网络方法改进及其应用综述[J]. 计算机工程与应用, 2025, 61(3): 48–61. doi: 10.3778/j.issn.1002-8331.2407-0031.LI Zehui, ZHANG Lin, and SHAN Xianying. Review on improvement and application of 3D convolutional neural networks[J]. Computer Engineering and Applications, 2025, 61(3): 48–61. doi: 10.3778/j.issn.1002-8331.2407-0031. [12] 夏振平, 陈豪, 张宇宁, 等. 基于混合时空卷积的轻量级视频超分辨率重建[J]. 光学 精密工程, 2024, 32(16): 2564–2576. doi: 10.37188/OPE.20243216.2564.XIA Zhenping, CHEN Hao, ZHANG Yuning, et al. Lightweight video super-resolution based on hybrid spatio-temporal convolution[J]. Optics and Precision Engineering, 2024, 32(16): 2564–2576. doi: 10.37188/OPE.20243216.2564. [13] JIANG Wei, STRUFE M, and SCHOTTEN H D. Long-range MIMO channel prediction using recurrent neural networks[C].2020 IEEE 17th Annual Consumer Communications & Networking Conference (CCNC), Las Vegas, USA, 2020: 1–6. doi: 10.1109/CCNC46108.2020.9045219. [14] QIU Zhaofan, YAO Ting, and MEI Tao. Learning spatio-temporal representation with pseudo-3D residual networks[C]. 2017 IEEE International Conference on Computer Vision, Venice, Italy, 2017: 5534–5542. doi: 10.1109/ICCV.2017.590. [15] XIE Saining, GIRSHICK R, DOLLÁR P, et al. Aggregated residual transformations for deep neural networks[C]. 2017 IEEE Conference on Computer Vision and Pattern Recognition, Honolulu, USA, 2017: 5987–5995. doi: 10.1109/CVPR.2017.634. [16] WOO S, PARK J, LEE J Y, et al. CBAM: Convolutional block attention module[C]. The 15th European Conference on Computer Vision, Munich, Germany, 2018: 3–19. doi: 10.1007/978-3-030-01234-2_1. [17] PAN S J and YANG Qiang. A survey on transfer learning[J]. IEEE Transactions on Knowledge and Data Engineering, 2010, 22(10): 1345–1359. doi: 10.1109/TKDE.2009.191. -
下载:
下载: