Peak-to-Average Power Ratio Reduction Theory and Method forOrthogonal Time Frequency Space Systems via Nonzero-Unitary Precoding
-
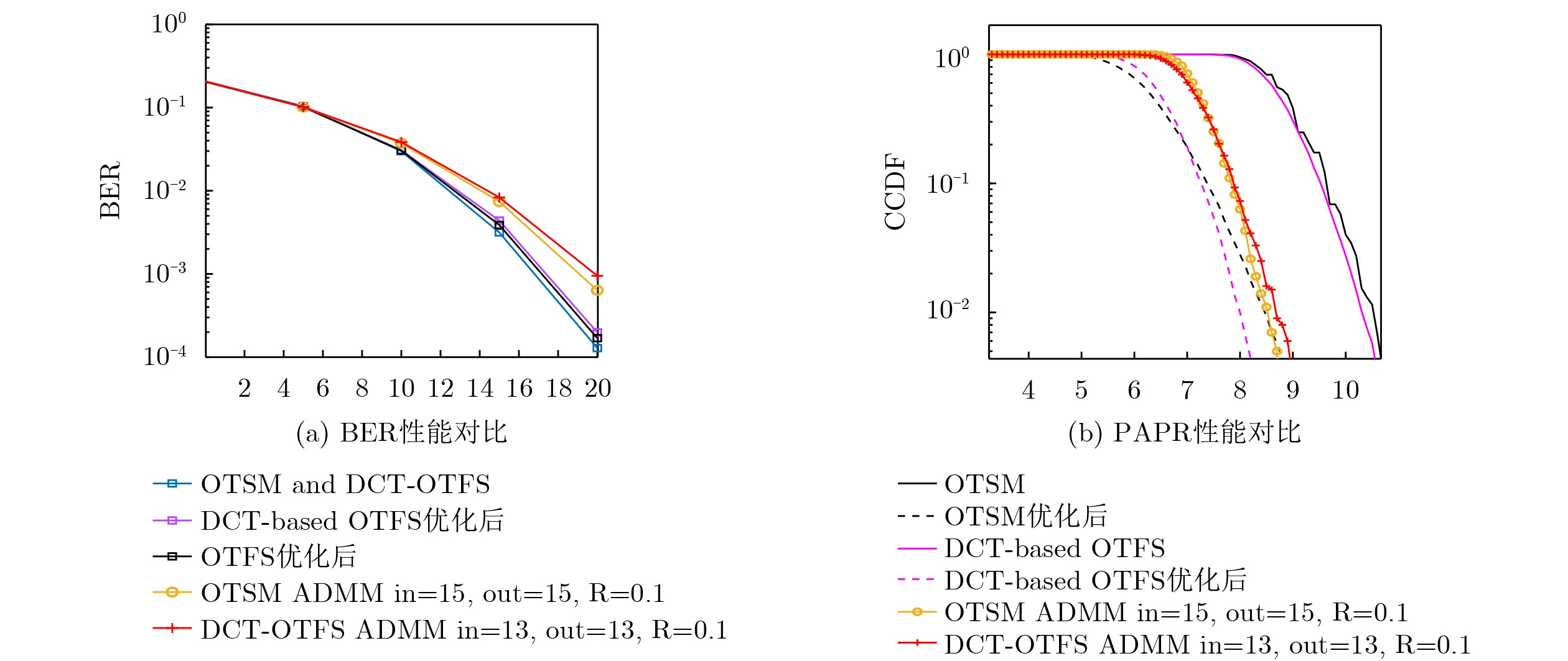
摘要: 正交时频空间(OTFS)调制虽然能够有效对抗高速移动通信场景中的多普勒频移,但仍存在高峰均功率比(PAPR)问题。既有OTFS框架多采用常模酉矩阵预编码,在不牺牲误码率(BER)的前提下能兼顾一定的PAPR抑制效果,然而常模约束压缩了可设计维度,使得进一步抑制PAPR成为瓶颈。为此,该文首先将OTFS常模酉矩阵构造推广到更一般的非零酉矩阵预编码,并在混合与谱衰减等条件下证明了非零酉矩阵的理论是多种OTFS变体保持优异BER性能的原因。此外,该文将扩展理论表述为含酉性与均匀性约束的PAPR最小化,以CVX获得近似最优基准,并提出基于交替方向乘子法(ADMM)的高效算法以克服CVX的复杂度瓶颈。仿真结果表明,该框架能够实现约2.7$ \sim $3.1 dB的PAPR降低,且所提ADMM算法将单帧计算时间缩减至CVX的1/1 000,并能通过参数调节在PAPR与BER性能之间实现有效平衡。Abstract:
Objective Orthogonal Time Frequency Space (OTFS) and its variants provide robust performance in high-mobility doubly selective channels. However, their inherently high Peak-to-Average Power Ratio (PAPR) limits power amplifier efficiency and practical implementation. Recent observations have revealed a mismatch between theory and practice. Some OTFS variants obtained by changing the orthogonal basis, such as DCT-based designs, reduce PAPR while maintaining an OTFS-like Bit Error Rate (BER). However, the prevailing explanation mainly attributes reliability to constant-modulus unitary transforms and does not directly account for such non-constant-modulus cases. Therefore, it remains unclear which unitary bases preserve the channel-hardening behavior that stabilizes effective gains and protects BER, and which unitary choices may degrade performance even though they are mathematically unitary. This paper aims to close this gap by establishing a verifiable and more general condition for BER-robust unitary precoding, and by developing a waveform and precoder design approach that suppresses PAPR without sacrificing reliability in OTFS and typical OTFS-like variants. Methods A waveform design framework based on nonzero-unitary precoding is established. An upper bound on effective channel-gain fluctuation is derived. It is shown that when the precoder satisfies a nonzero and near-uniform energy-spreading condition, the variance of the effective channel coefficients decreases as the time-frequency grid grows, indicating the emergence of a channel-hardening effect. On the basis of this result, waveform design is formulated as a peak-power minimization problem over the unitary precoder. The objective is to reduce the maximum instantaneous power while preserving the unitary structure required by the modulation framework. A CVX-based solver is used to provide a performance-reference benchmark for the formulated objective. For engineering implementation, an efficient algorithm is developed using the Alternating Direction Method of Multipliers (ADMM). In this method, the original nonconvex design is decomposed into low-cost sub-updates together with a unitary projection step, which enables scalable computation. Results and Discussions Simulation results under representative doubly selective channels with high terminal speeds show that the proposed precoder design achieves noticeable PAPR suppression while maintaining the BER close to that of conventional constant-modulus unitary precoding. In addition, the CVX-based benchmark reveals the attainable performance region, and the ADMM-based implementation approaches this reference with a favorable PAPR-BER trade-off. The computational advantage is also validated. Compared with general-purpose convex optimization, the ADMM solver reduces the overall runtime and complexity by roughly three orders of magnitude for typical OTFS parameter settings, which supports real-time or near-real-time deployment. The observed performance trends are consistent with the theoretical insight that near-uniform energy spreading stabilizes effective channel gains and prevents spiky basis vectors from degrading robustness. Furthermore, the framework is applicable to OTFS variants because basis selection and waveform shaping can be interpreted equivalently as unitary-precoder design within the same optimization architecture. Conclusions A theoretical and algorithmic solution for PAPR suppression in OTFS systems is presented through nonzero-unitary precoding. Channel hardening is established under a nonzero and near-uniform energy-spreading condition, which provides a principled justification for seeking low-PAPR solutions beyond constant-modulus transforms. A peak-power minimization formulation is adopted to translate this insight into waveform optimization, and a CVX benchmark is provided to quantify the achievable performance reference. A low-complexity ADMM algorithm is then constructed to enable scalable computation through simple sub-updates and unitary projection, while keeping BER performance essentially unchanged. The proposed approach provides a unified low-PAPR waveform design paradigm for OTFS and its variants, with theoretical generality, computational efficiency, and controllable performance under high-mobility doubly selective channels. -
1 ADMM算法流程
输入:初始酉矩阵$ {\boldsymbol{U}}_{0} $、数据矩阵$ \boldsymbol{X} $、惩罚权重$ \lambda $、约束半径
$ R $、增广拉格朗日惩罚参数$ \rho $、残差平衡因子$ \mu $、残差容忍度
$ {\mathrm{tol}} $、内循环最大次数$ K $、外循环最大次数$ I $、放大因子$ {\tau }_{{\mathrm{inc}}} $、
缩小因子$ {\tau }_{{\mathrm{dec}}} $初始化:辅助变量$ {\boldsymbol{u}}_{n}^{0} $, $ {\boldsymbol{v}}^{0} $, $ {\boldsymbol{w}}^{0} $, $ {\boldsymbol{y}}^{\rm{T}}={\boldsymbol{z}}^{\rm{T}}=0 $ For iter=1 to I For n=1 to N 初始化 ADMM 变量 For $ K=1 $to ${\mathrm{max}}\_ K $ 步骤1:更新$ {\boldsymbol{u}}_{n}^{k+1} $ 步骤2:更新$ {\boldsymbol{v}}^{k+1} $ 步骤3:更新$ {\boldsymbol{w}}^{k+1} $ 步骤4:更新$ {\boldsymbol{y}}^{\rm{T}} $和$ {\boldsymbol{z}}^{\rm{T}} $ End for 更新$ \boldsymbol{U}\left(\colon ,n\right)\leftarrow \boldsymbol{u} $ End for SVD分解后,进入下一轮ADMM外循环。 End For -
[1] HADANI R, RAKIB S, TSATSANIS M, et al. Orthogonal time frequency space modulation[C]. 2017 IEEE Wireless Communications and Networking Conference (WCNC), San Francisco, USA, 2017: 1–6. doi: 10.1109/WCNC.2017.7925924. [2] ALDABABSA M, ÖZYURT S, KURT G K, et al. A survey on orthogonal time frequency space modulation[J]. IEEE Open Journal of the Communications Society, 2024, 5: 4483–4518. doi: 10.1109/OJCOMS.2024.3422801. [3] SURABHI G D, AUGUSTINE R M, and CHOCKALINGAM A. Peak-to-average power ratio of OTFS modulation[J]. IEEE Communications Letters, 2019, 23(6): 999–1002. doi: 10.1109/LCOMM.2019.2914042. [4] GAO Shuang and ZHENG Jianping. Peak-to-average power ratio reduction in pilot-embedded OTFS modulation through iterative clipping and filtering[J]. IEEE Communications Letters, 2020, 24(9): 2055–2059. doi: 10.1109/LCOMM.2020.2993036. [5] SHANG Huichao, CHEN Ruifeng, ZHANG Haoxiang, et al. OTFS modulation and PAPR reduction for IoT-railways[J]. China Communications, 2023, 20(1): 102–113. doi: 10.23919/JCC.2023.01.009. [6] SHARMA S, SHAH S W H, and WIDMER J. A low-complexity standard-compliant PAPR reduction scheme for OTFS modulation[C]. 2024 IEEE 99th Vehicular Technology Conference (VTC2024-Spring), Singapore, Singapore, 2024: 1–7. doi: 10.1109/VTC2024-Spring62846.2024.10683635. [7] SU Jingyi, LIU Shengheng, HUANG Yongming, et al. Peak-to-average power ratio reduction via symbol precoding in OTFS modulation[C]. 2022 IEEE 95th Vehicular Technology Conference: (VTC2022-Spring), Helsinki, Finland, 2022: 1–5. doi: 10.1109/VTC2022-Spring54318.2022.9860629. [8] LIU Mengxue, ZHAO Mingmin, LEI Ming, et al. Autoencoder based PAPR reduction for OTFS modulation[C]. 2021 IEEE 94th Vehicular Technology Conference (VTC2021-Fall), Norman, USA, 2021: 1–5. doi: 10.1109/VTC2021-Fall52928.2021.9625251. [9] DENG Qinwen, GE Yao, and DING Zhi. A unifying view of OTFS and its many variants[J]. IEEE Communications Surveys & Tutorials, 2025, 27(6): 3561–3586. doi: 10.1109/COMST.2025.3542467. [10] THAJ T, VITERBO E, and HONG Yi. Orthogonal time sequency multiplexing modulation: Analysis and low-complexity receiver design[J]. IEEE Transactions on Wireless Communications, 2021, 20(12): 7842–7855. doi: 10.1109/TWC.2021.3088479. [11] VAN DER WERF I, DOL H, BLOM K, et al. On the equivalence of OSDM and OTFS[J]. Signal Processing, 2024, 214: 109254. doi: 10.1016/j.sigpro.2023.109254. [12] REDDY B V S, VELAMPALLI C, and DAS S S. Performance analysis of multi-user OTFS, OTSM, and single carrier in uplink[J]. IEEE Transactions on Communications, 2024, 72(3): 1428–1443. doi: 10.1109/TCOMM.2023.3332865. [13] KALPAGE N V, PRIYA P, and HONG Yi. DCT-based OTFS with reduced PAPR[J]. IEEE Communications Letters, 2024, 28(1): 158–162. doi: 10.1109/LCOMM.2023.3337778. [14] ZEMEN T, HOFER M, LÖSCHENBRAND D, et al. Iterative detection for orthogonal precoding in doubly selective channels[C]. 2018 IEEE 29th Annual International Symposium on Personal, Indoor and Mobile Radio Communications (PIMRC), Bologna, Italy, 2018: 1–7. doi: 10.1109/PIMRC.2018.8580716. [15] THAJ T and VITERBO E. Unitary-precoded single-carrier waveforms for high mobility: Detection and channel estimation[C]. 2022 IEEE Wireless Communications and Networking Conference (WCNC), Austin, USA, 2022: 962–967. doi: 10.1109/WCNC51071.2022.9772003. [16] TULINO A M, CAIRE G, SHAMAI S, et al. Capacity of channels with frequency-selective and time-selective fading[J]. IEEE Transactions on Information Theory, 2010, 56(3): 1187–1215. doi: 10.1109/TIT.2009.2039041. [17] ZHAO Xiongwen, KIVINEN J, VAINIKAINEN P, et al. Characterization of Doppler spectra for mobile communications at 5.3 GHz[J]. IEEE Transactions on Vehicular Technology, 2003, 52(1): 14–23. doi: 10.1109/TVT.2002.807222. [18] BOYD S, PARIKH N, CHU E, et al. Distributed optimization and statistical learning via the alternating direction method of multipliers[J]. Foundations and Trends® in Machine Learning, 2010, 3(1): 1–122. doi: 10.1561/2200000016. [19] 3GPP. ETSI TS 136 104 Evolved Universal Terrestrial Radio Access (E-UTRA); Base Station (BS) radio transmission and reception[S]. European Telecommunications Standards Institute, 2009. -
下载:
下载: