高级搜索

留言板

尊敬的读者、作者、审稿人, 关于本刊的投稿、审稿、编辑和出版的任何问题, 您可以本页添加留言。我们将尽快给您答复。谢谢您的支持!

姓名
邮箱
手机号码
标题
留言内容
验证码

短包安全隐蔽通信设计与优化

田波 杨炜伟 沙力 尚志会 曹阔 刘长明

田波, 杨炜伟, 沙力, 尚志会, 曹阔, 刘长明. 短包安全隐蔽通信设计与优化[J]. 电子与信息学报, 2026, 48(1): 135-144. doi: 10.11999/JEIT250800
引用本文: 田波, 杨炜伟, 沙力, 尚志会, 曹阔, 刘长明. 短包安全隐蔽通信设计与优化[J]. 电子与信息学报, 2026, 48(1): 135-144. doi: 10.11999/JEIT250800
TIAN Bo, YANG Weiwei, SHA Li, SHANG Zhihui, CAO Kuo, LIU Changming. Short Packet Secure Covert Communication Design and Optimization[J]. Journal of Electronics & Information Technology, 2026, 48(1): 135-144. doi: 10.11999/JEIT250800
Citation: TIAN Bo, YANG Weiwei, SHA Li, SHANG Zhihui, CAO Kuo, LIU Changming. Short Packet Secure Covert Communication Design and Optimization[J]. Journal of Electronics & Information Technology, 2026, 48(1): 135-144. doi: 10.11999/JEIT250800

短包安全隐蔽通信设计与优化

doi: 10.11999/JEIT250800 cstr: 32379.14.JEIT250800
基金项目: 国家自然科学基金(62201584, 62427802, 62301594, 62171461, 62071486)
详细信息
    作者简介:

    田波:男,博士生,研究方向为物理层安全、隐蔽通信

    杨炜伟:男,教授,研究方向为协同通信、无线物理层安全、隐蔽通信

    沙力:男,助教,研究方向为物理层安全、无人系统控制

    尚志会:男,博士后,副教授,研究方向为无线通信、协同通信、电磁频谱安全与管控

    曹阔:男,博士,讲师,研究方向为无线通信、物理层安全

    刘长明:男,高级工程师,研究方向为无线通信、无线物理层安全

    通讯作者:

    沙力 sanshaoaeu@163.com

  • 中图分类号: TN918.91

Short Packet Secure Covert Communication Design and Optimization

Funds: The National Natural Science Foundation of China (62201584, 62427802, 62301594, 62171461, 62071486)
  • 摘要: 针对短包多输入单输出(MISO)通信系统中面临窃听与检测双重安全威胁的问题,该文提出一种短包安全隐蔽通信设计与优化方案,分析了系统的隐蔽性能和物理层安全性能,在此基础上,提出衡量系统安全隐蔽性能的平均有效安全隐蔽速率(AESCR),该指标统一量化了系统隐蔽性、保密性和可靠性,且主要受包长和发射功率影响。构建了最大化AESCR的双变量优化问题并求解。仿真结果表明,所提方案与优化发射功率的基准方案相比,可以有效提高系统中的AESCR;系统AESCR随发射天线数单调递增,且存在最优包长权衡传输效率与隐蔽性。
  • 图  1  短包安全隐蔽通信MISO系统

    图  2  时隙传输结构

    图  3  最小检测错误概率与包长$N$的变化

    图  4  平均安全速率$ \mathbb{E}\left[ {{R_{\mathrm{s}}}} \right] $与包长$N$的变化

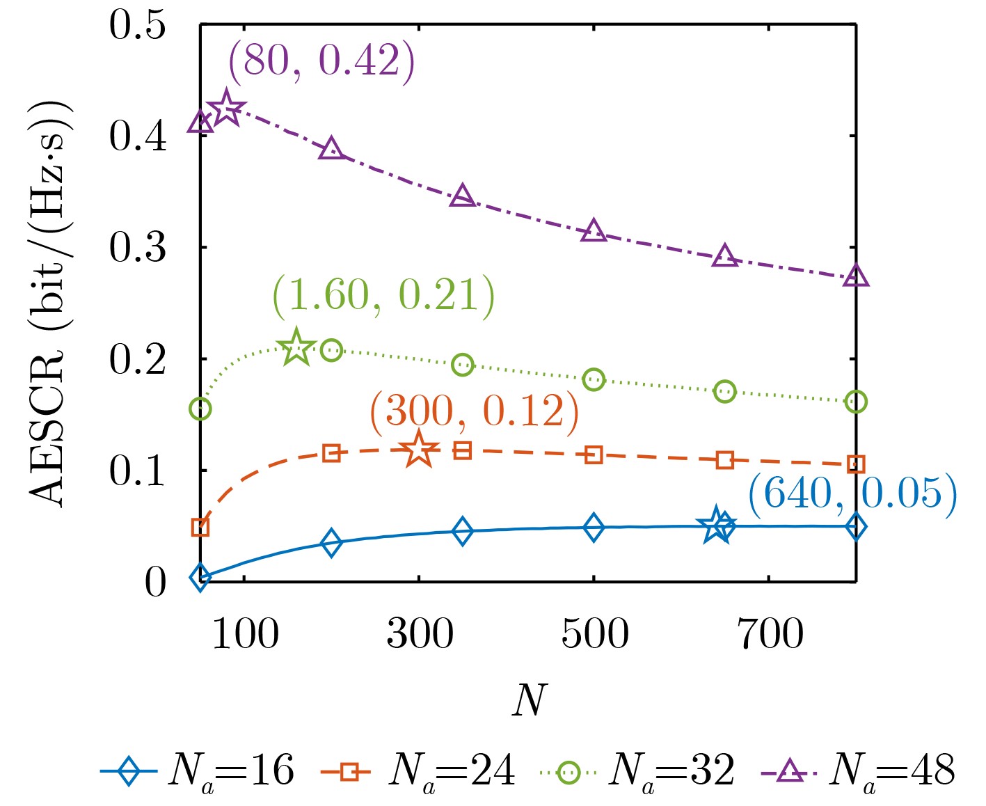
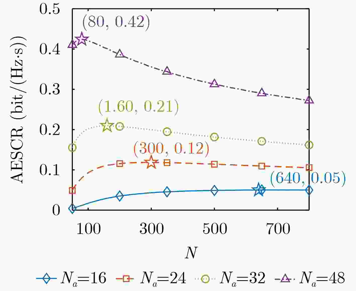
    图  5  AESCR与包长$N$的变化

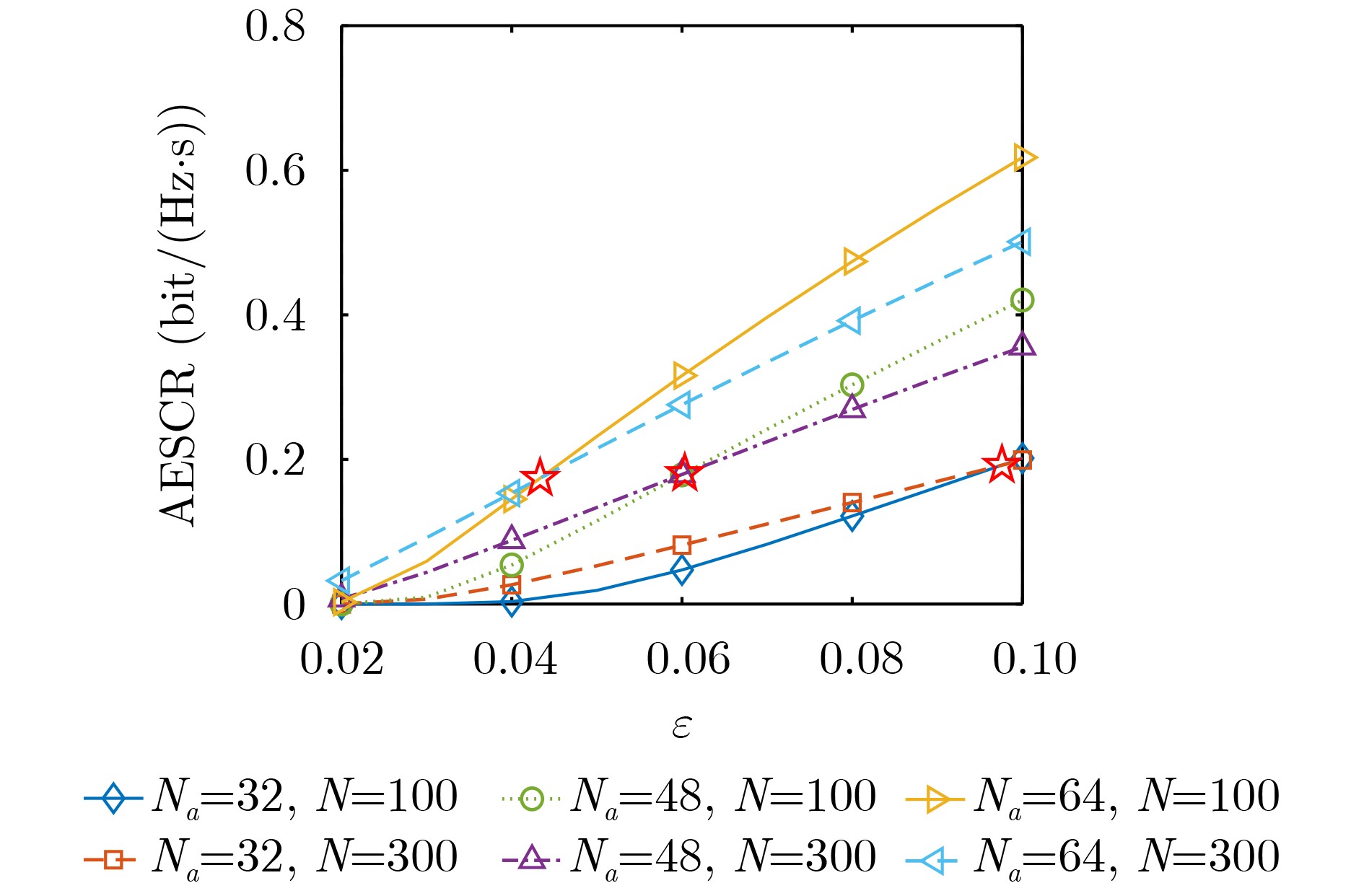
    图  6  AESCR与隐蔽约束阈值$ \varepsilon $的变化

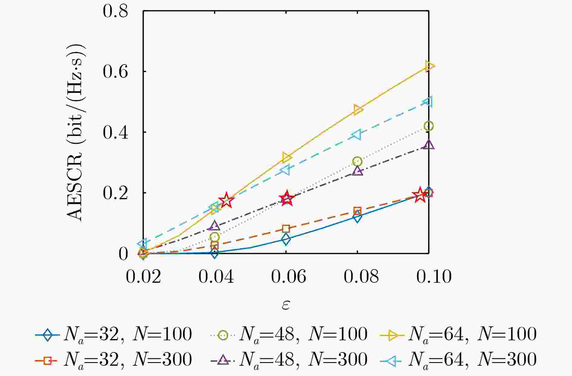
    图  7  两种方案下AESCR与隐蔽约束阈值$ \varepsilon $的对比

  • [1] 冯晨, 王慧明. 面向5G的短包物理层安全通信[J]. 中国科学: 信息科学, 2021, 51(9): 1507–1523. doi: 10.1360/SSI-2020-0397.

    FENG Chen and WANG Huiming. Secure physical layer short-packet communication for 5G[J]. Scientia Sinica Informationis, 2021, 51(9): 1507–1523. doi: 10.1360/SSI-2020-0397.
    [2] 周小波, 于辉, 彭旭, 等. 智能反射面辅助及人工噪声增强的无线隐蔽通信[J]. 电子与信息学报, 2022, 44(7): 2392–2399. doi: 10.11999/JEIT211618.

    ZHOU Xiaobo, YU Hui, PENG Xu, et al. Wireless covert communications based on intelligent reflecting surface aided and artificial noise enhanced[J]. Journal of Electronics & Information Technology, 2022, 44(7): 2392–2399. doi: 10.11999/JEIT211618.
    [3] WAN Zhang, HUANG Kaizhi, XU Xiaoming, et al. RIS-assisted integration of communications and security: Protocol, prototyping, and field trials[J]. IEEE Internet of Things Journal, 2024, 11(16): 26877–26887. doi: 10.1109/JIOT.2024.3390677.
    [4] WAN Zheng, LIU Kexin, CHEN Yajun, et al. Resource allocation for STAR-RIS-assisted MIMO physical-layer key generation[J]. IEEE Transactions on Information Forensics and Security, 2024, 19: 10328–10338. doi: 10.1109/TIFS.2024.3488509.
    [5] FENG Chen, WANG Huiming, and POOR H V. Reliable and secure short-packet communications[J]. IEEE Transactions on Wireless Communications, 2022, 21(3): 1913–1926. doi: 10.1109/TWC.2021.3108042.
    [6] SONG Lulu, ZHANG Di, JIA Shaobo, et al. STAR-RIS-aided NOMA for secured xURLLC[J]. IEEE Transactions on Vehicular Technology, 2025, 74(8): 13249–13254. doi: 10.1109/TVT.2025.3556542.
    [7] WANG Zeyin, ZHANG Di, JIA Shaobo, et al. Joint security-latency design for short packet-based low-altitude communications[J]. IEEE Communications Letters, 2025, 29(6): 1401–1405. doi: 10.1109/LCOMM.2025.3563514.
    [8] LI Lintao, CHEN Wei, POPOVSKI P, et al. Reliability-latency-rate tradeoff in low-latency communications with finite-blocklength coding[J]. IEEE Transactions on Information Theory, 2025, 71(1): 360–389. doi: 10.1109/TIT.2024.3485173.
    [9] BASH B A, GOECKEL D, and TOWSLEY D. Limits of reliable communication with low probability of detection on AWGN channels[J]. IEEE Journal on Selected Areas in Communications, 2013, 31(9): 1921–1930. doi: 10.1109/JSAC.2013.130923.
    [10] YANG Weiwei, LU Xingbo, YAN Shihao, et al. Age of information for short-packet covert communication[J]. IEEE Wireless Communications Letters, 2021, 10(9): 1890–1894. doi: 10.1109/LWC.2021.3085025.
    [11] CHE Bohan, SHI Hui, LU Xingbo, et al. Covert multi-channel communication against interference-assisted proactive detection[J]. IEEE Transactions on Vehicular Technology, 2024, 73(9): 14033–14037. doi: 10.1109/TVT.2024.3394734.
    [12] LU Xingbo, YAN Shihao, YANG Weiwei, et al. Covert communication with time uncertainty in time-critical wireless networks[J]. IEEE Transactions on Wireless Communications, 2023, 22(2): 1116–1129. doi: 10.1109/TWC.2022.3201872.
    [13] FAN Hongbin, YANG Weiwei, SHI Hui, et al. Covert communication in underlay multi-antenna cognitive radio networks[J]. IEEE Transactions on Cognitive Communications and Networking, 2025, 11(3): 1493–1507. doi: 10.1109/TCCN.2024.3475369.
    [14] FOROUZESH M, AZMI P, KUHESTANI A, et al. Covert communication and secure transmission over untrusted relaying networks in the presence of multiple wardens[J]. IEEE Transactions on Communications, 2020, 68(6): 3737–3749. doi: 10.1109/TCOMM.2020.2978206.
    [15] FOROUZESH M, AZMI P, KUHESTANI A, et al. Joint information-theoretic secrecy and covert communication in the presence of an untrusted user and warden[J]. IEEE Internet of Things Journal, 2021, 8(9): 7170–7181. doi: 10.1109/JIOT.2020.3038682.
    [16] WEN Yingkun, LIU Lei, LI Junhuai, et al. A covert jamming scheme against an intelligent eavesdropper in cooperative cognitive radio networks[J]. IEEE Transactions on Vehicular Technology, 2023, 72(10): 13243–13254. doi: 10.1109/TVT.2023.3277457.
    [17] ZHOU Xiaobo, YONG Jiang, XIA Tingting, et al. Intelligent reflecting surface-aided secure and covert communications[J]. China Communications, 2024, 21(9): 1–10. doi: 10.23919/JCC.fa.2023-0567.202409.
    [18] LIU Pengpeng, LI Zan, SI Jiangbo, et al. Joint information-theoretic secrecy and covertness for UAV-Assisted wireless transmission with finite blocklength[J]. IEEE Transactions on Vehicular Technology, 2023, 72(8): 10187–10199. doi: 10.1109/TVT.2023.3254882.
    [19] MAO Haobin, LIU Yanming, XIAO Zhenyu, et al. Energy efficient defense against cooperative hostile detection and eavesdropping attacks for AAV-aided short-packet transmissions[J]. IEEE Transactions on Vehicular Technology, 2025, 74(2): 3082–3095. doi: 10.1109/TVT.2024.3483256.
    [20] WANG Chao, LI Zan, ZHANG Haibin, et al. Achieving covertness and security in broadcast channels with finite blocklength[J]. IEEE Transactions on Wireless Communications, 2022, 21(9): 7624–7640. doi: 10.1109/TWC.2022.3160051.
    [21] ZHANG Tongxing, WANG Huiming, NG D W K, et al. Multi-antenna covert communications in random wireless networks[J]. IEEE Transactions on Wireless Communications, 2019, 18(3): 1974–1987. doi: 10.1109/TWC.2019.2900915.
    [22] YAN Shihao, HE Biao, ZHOU Xiangyun, et al. Delay-intolerant covert communications with either fixed or random transmit power[J]. IEEE Transactions on Information Forensics and Security, 2019, 14(1): 129–140. doi: 10.1109/TIFS.2018.2846257.
    [23] HE Biao, YAN Shihao, ZHOU Xiangyun, et al. On covert communication with noise uncertainty[J]. IEEE Communications Letters, 2017, 21(4): 941–944. doi: 10.1109/LCOMM.2016.2647716.
    [24] LEHMANN E L and ROMANO J P. Testing Statistical Hypotheses[M]. Switzerland: Springer, 2022: 709–712. doi: 10.1007/978-3-030-70578-7.
    [25] HU Jinsong, YAN Shihao, ZHOU Xiaobo, et al. Covert communications without channel state information at receiver in IoT systems[J]. IEEE Internet of Things Journal, 2020, 7(11): 11103–11114. doi: 10.1109/JIOT.2020.2994441.
    [26] YANG Wei, SCHAEFER R F, and POOR H V. Finite-blocklength bounds for wiretap channels[C]. 2016 IEEE International Symposium on Information Theory, Barcelona, Spain, 2016: 3087–3091. doi: 10.1109/ISIT.2016.7541867.
    [27] WANG Yuntian, ZHOU Xiaobo, ZHUANG Zhihong, et al. UAV-enabled secure communication with finite blocklength[J]. IEEE Transactions on Vehicular Technology, 2020, 69(12): 16309–16313. doi: 10.1109/TVT.2020.3042791.
  • 加载中
图(7)
计量
  • 文章访问数:  459
  • HTML全文浏览量:  274
  • PDF下载量:  60
  • 被引次数: 0
出版历程
  • 收稿日期:  2025-08-27
  • 修回日期:  2025-10-12
  • 录用日期:  2025-11-03
  • 网络出版日期:  2025-11-12
  • 刊出日期:  2026-01-30

目录

    /

    返回文章
    返回