Performance Analysis of Double RIS-Assisted Multi-Antenna Cooperative NOMA with Short-Packet Communication
-
摘要: 针对物联网(IoT)通信中海量设备接入、频谱资源受限与高可靠传输需求,本文在硬件损伤下,研究了双智能反射面(RIS)辅助的多天线协作非正交多址接入(NOMA)短包通信系统的可靠性能。特别的,一个RIS用于辅助多天线基站(BS)与近用户之间的通信,另一个RIS用于辅助近用户与远用户之间的通信。在最优天线选择方案下,推导出近用户和远用户平均误块率(BLER)的闭式表达式。在此基础上,进一步给出了系统有效吞吐量的闭式表达式,并在可靠性和传输时延约束下确定了使有效吞吐量最大化的最优块长。仿真结果验证了理论分析的正确性,并表明双RIS辅助传输方案相比单RIS辅助传输方案和无RIS辅助传输方案可以获得更优的性能。此外,受限于中继链路,远用户的平均BLER并不会随着BS天线数目的增加而一直减小。Abstract:
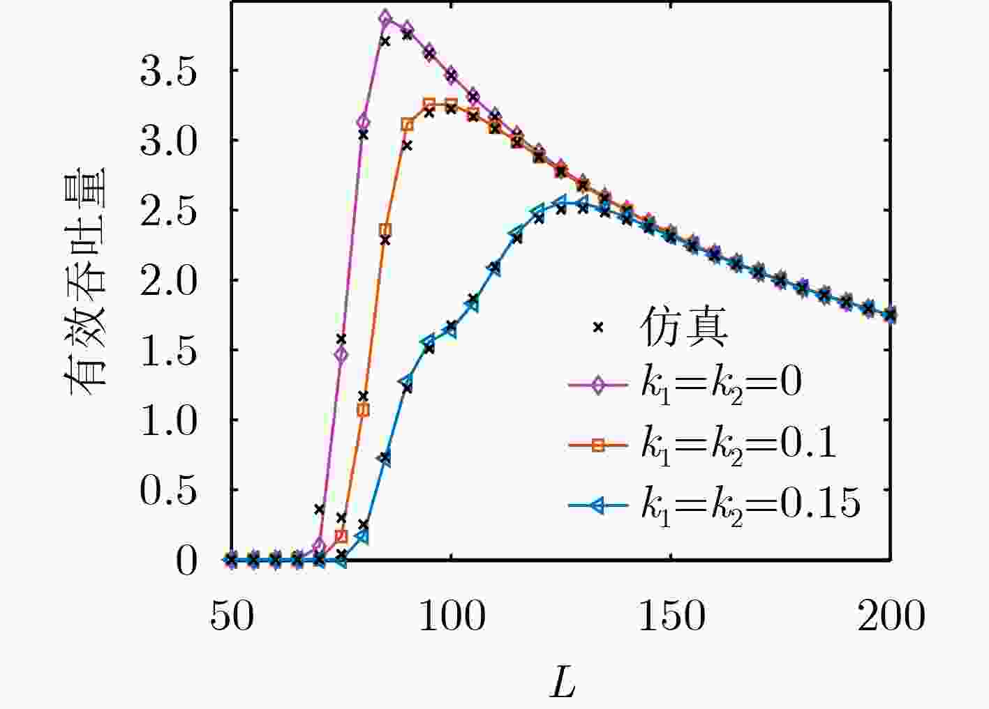
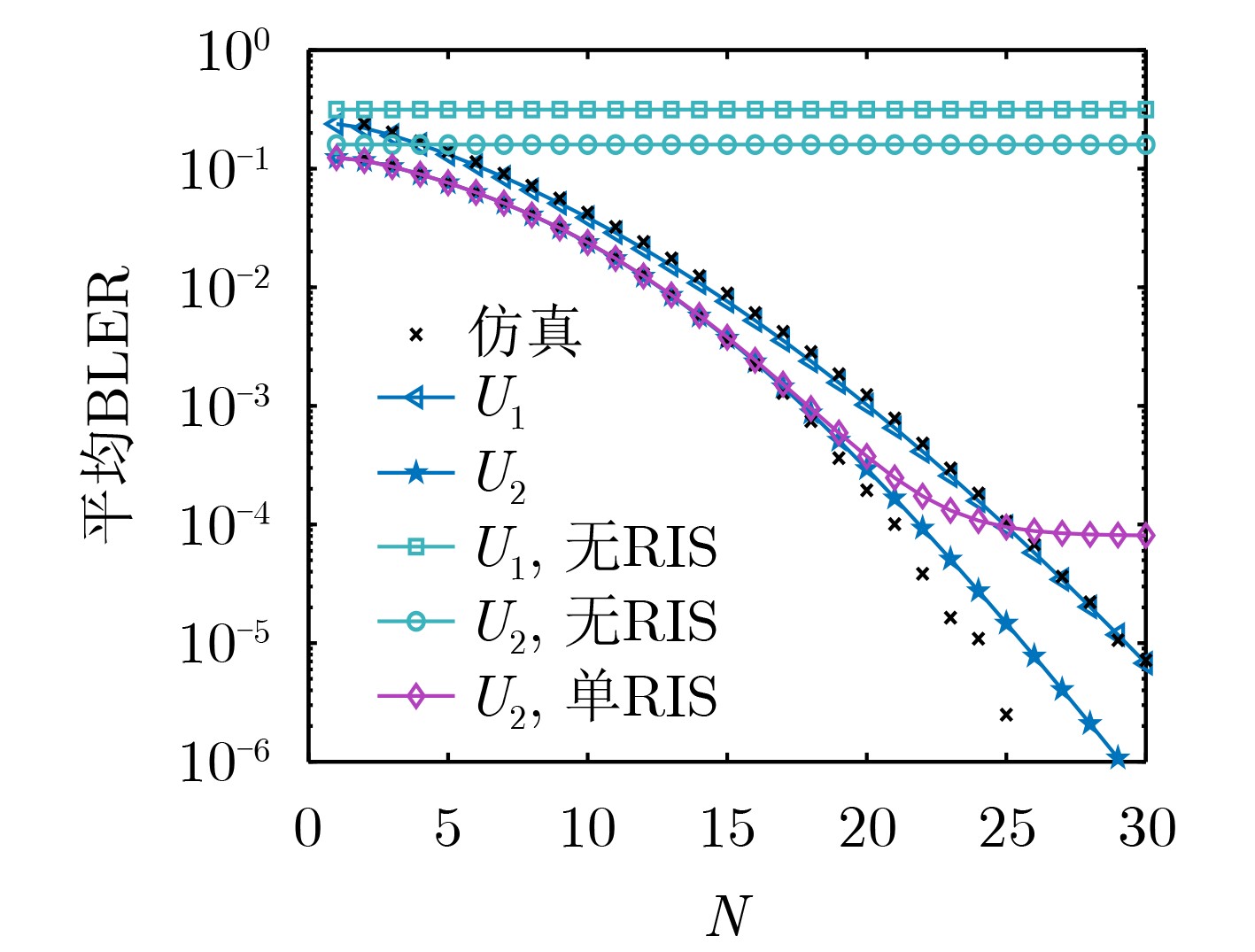
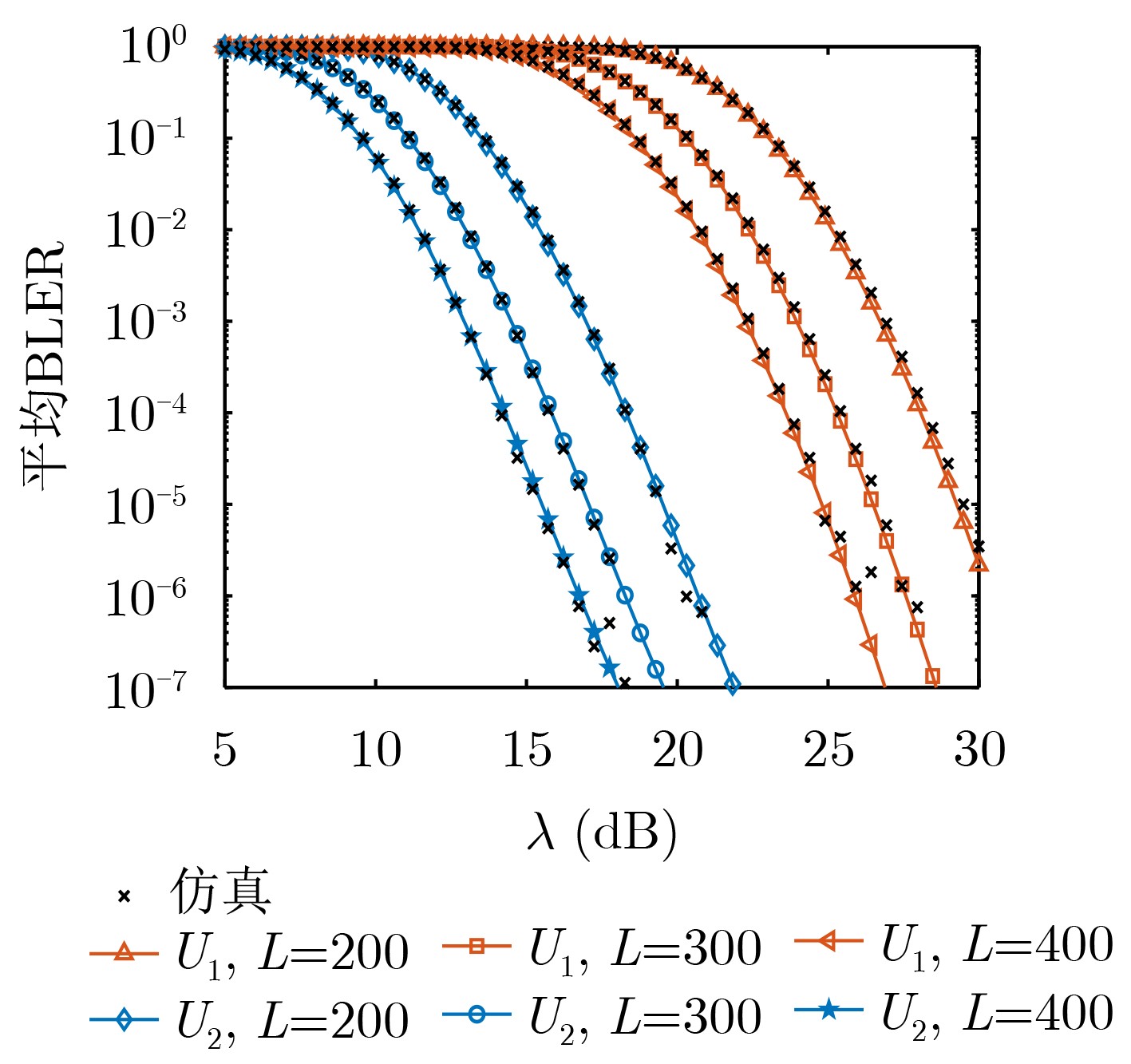
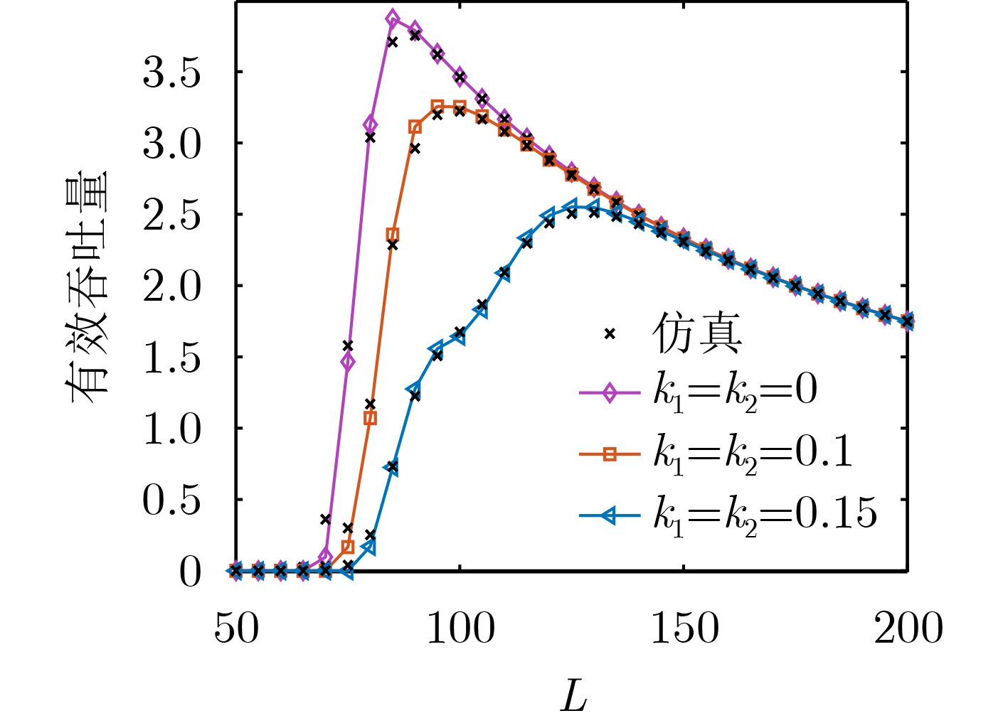
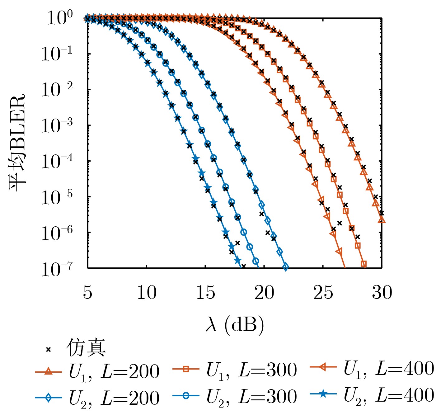
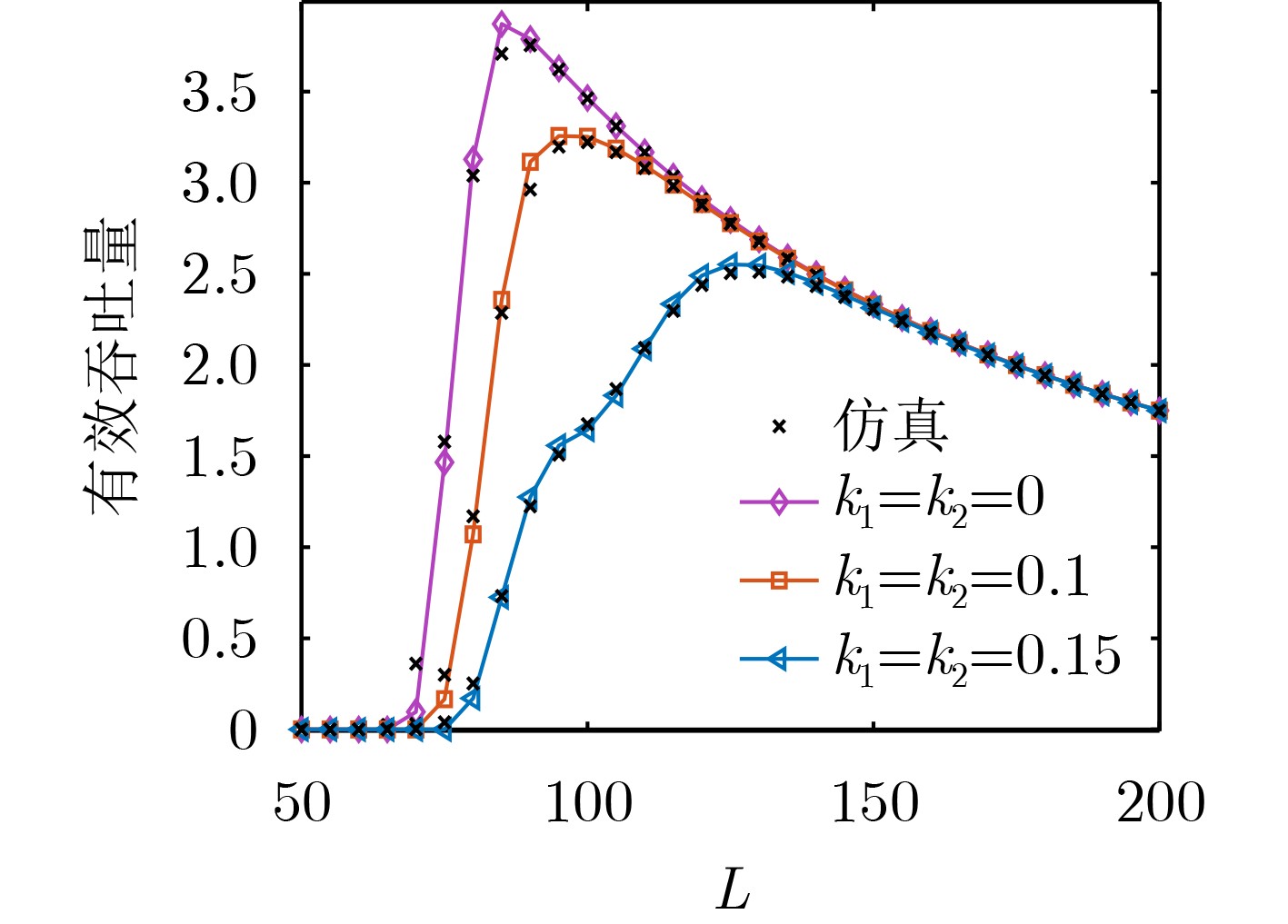
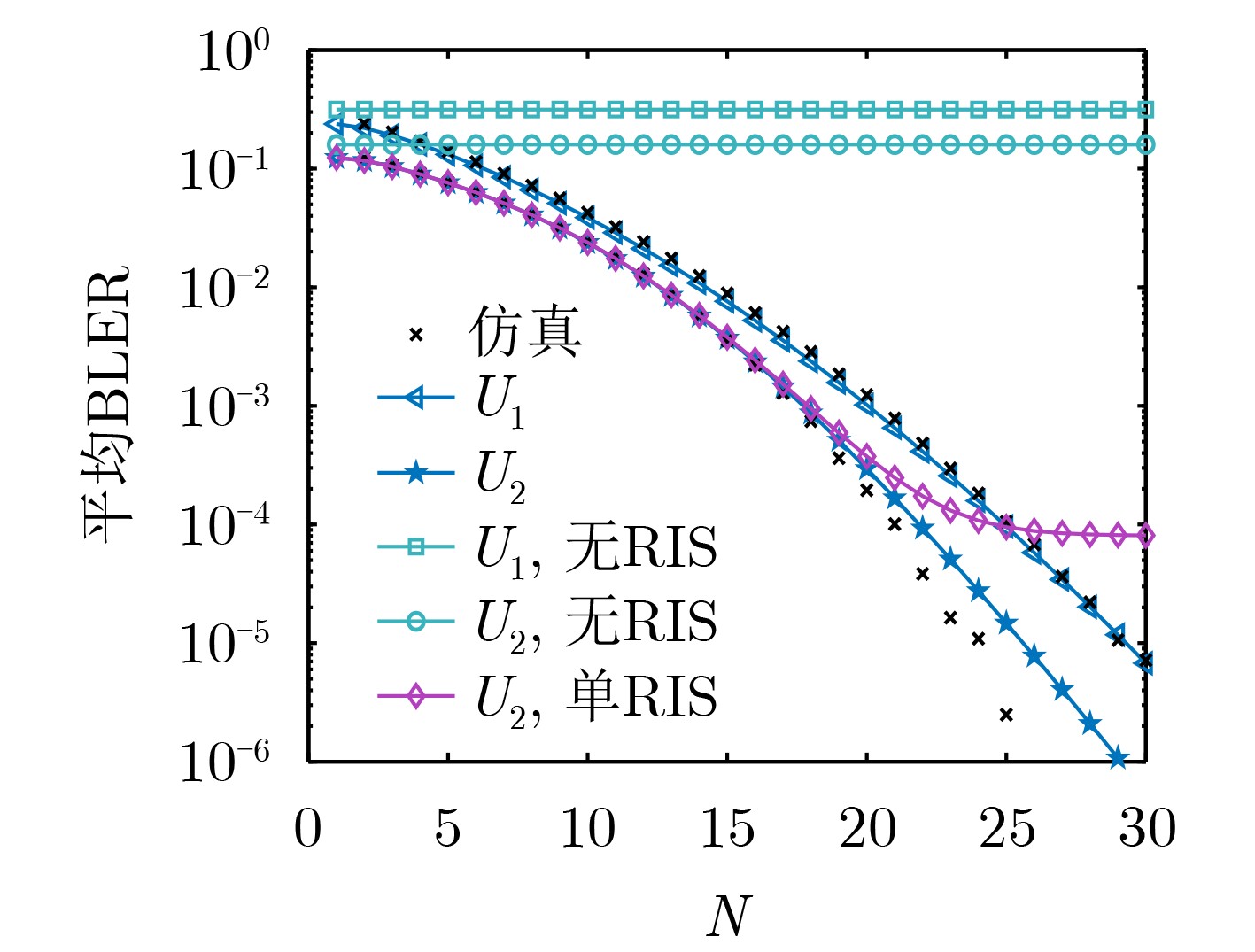
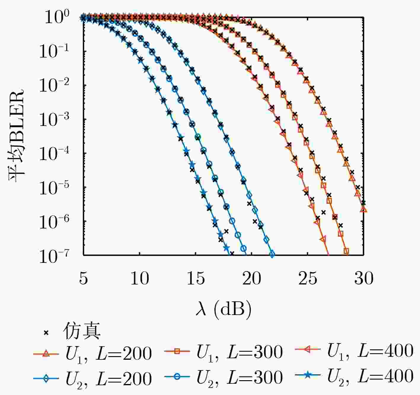
Objective Numerous existing studies on short-packet communication systems rely on the assumption of ideal transceiver devices. However, this assumption is unrealistic because radio-frequency transceiver hardware inevitably suffers from impairments such as phase noise and amplifier nonlinearity. Such impairments are particularly pronounced in short-packet communication systems, where low-cost hardware components are widely employed. However, the performance of reconfigurable intelligent surface (RIS)-assisted multi-antenna cooperative non-orthogonal multiple access (NOMA) short-packet communication systems with hardware impairments has not been investigated. Furthermore, the impact of the number of base station (BS) antennas and RIS reflecting elements on the reliable performance remains unexplored. Therefore, this paper investigates the reliable performance of double RIS-assisted multi-antenna cooperative NOMA short-packet communication systems, where one RIS facilitates communication between a multi-antenna BS and a near user, and the other RIS enhances communication between the near user and a far user. Methods Based on finite blocklength information theory, closed-form expressions for the average block error rate (BLER) of the near and far users are derived under the optimal antenna selection strategy. These expressions provide an efficient and convenient approach for evaluating the reliability of the considered system. Next, the effective throughput is formulated, and the optimal blocklength that maximizes it under reliability and latency constraints is derived. Results and Discussions The theoretical average BLER results show excellent agreement with Monte Carlo simulation results, confirming the validity of the derivations. The average BLER for the near and far users decreases as the transmit signal-to-noise ratio (SNR) increases. Moreover, for a given transmit SNR, increasing the blocklength significantly reduces the average BLER for the near and far users ( Fig. 2 ). The reason for this improvement is that longer blocklengths decrease the transmission rate, thereby enhancing system reliability. The average BLER for the near user initially decreases before reaching a minimum and then increases as the power allocation coefficient increases (Fig. 3 ). This trend is due to the fact that increasing the power allocation coefficient reduces the BLER for decoding the near user's signal but increases the complexity of the successive interference cancellation (SIC) process. In contrast, the average BLER for the far user increases as the power allocation coefficient increases. The double RIS-assisted transmission scheme demonstrates superior performance compared to the single RIS-assisted and non-RIS-assisted transmission schemes (Fig. 4 ). Specifically, as the number of RIS reflecting elements increases, the performance advantage of the proposed scheme over these benchmark schemes becomes increasingly significant. The average BLER for the far user saturates as the number of BS antennas increases (Fig. 5 ). This is due to the fact that the relaying link becomes the dominant performance bottleneck when the number of BS antennas exceeds a certain value. As the blocklength increases, the effective throughput first reaches a maximum and then gradually decreases (Fig. 6 ). This is because when the blocklength is too small, a higher BLER results in poor effective throughput. When the blocklength is too large, a lower transmission rate also leads to poor effective throughput. As the quality of hardware improves, the optimal blocklength decreases. This can be justified by the fact that lower hardware impairments reduce decoding errors, meaning that shorter blocklengths can be used to reduce transmission latency while still satisfying reliability constraints.Conclusions This paper investigates the performance of the double RIS-assisted multi-antenna cooperative NOMA short-packet communication system under hardware impairments. Closed-form expressions for the average BLER of the near and far users are derived under the optimal antenna selection strategy. Furthermore, the effective throughput is analyzed, and the optimal blocklength that maximizes the effective throughput under reliability and latency constraints is determined. Simulation results demonstrate that the double RIS-assisted transmission scheme achieves superior performance compared to the single RIS-assisted and non-RIS-assisted transmission schemes. In addition, increasing the number of BS antennas does not always improve the average BLER for the far user due to the relaying link constraint. Power allocation is critical for ensuring user reliability. The near user should carefully balance self-signal demodulation and SIC under a total power constraint. Superior hardware quality enhances short-packet communication efficiency by lowering the optimal blocklength. Future work will focus on developing RIS configuration schemes that simultaneously maximize energy efficiency (EE) and ensure user fairness in NOMA to address the needs of energy-constrained IoT devices. -
[1] 田心记, 孟浩然, 李兴旺, 等. 双STAR-RIS辅助下行NOMA系统中最大化和速率的方法[J]. 电子与信息学报, 2024, 46(9): 3537–3543. doi: 10.11999/JEIT240007.TIAN Xinji, MENG Haoran, LI Xingwang, et al. Method of maximizing sum rate for dual STAR-RIS assisted downlink NOMA systems[J]. Journal of Electronics & Information Technology, 2024, 46(9): 3537–3543. doi: 10.11999/JEIT240007. [2] LIAU Q Y and LEOW C Y. Successive user relaying in cooperative NOMA system[J]. IEEE Wireless Communications Letters, 2019, 8(3): 921–924. doi: 10.1109/LWC.2019.2900013. [3] XIANG Zhongwu, YANG Weiwei, CAI Yueming, et al. NOMA-assisted secure short-packet communications in IoT[J]. IEEE Wireless Communications, 2020, 27(4): 8–15. doi: 10.1109/MWC.01.1900529. [4] 张洋译, 管新荣, 王权, 等. 智能反射面辅助短包通信中时效与能效间的折衷[J]. 电子与信息学报, 2025, 47(2): 315–323. doi: 10.11999/JEIT240666.ZHANG Yangyi, GUAN Xinrong, WANG Quan, et al. Tradeoff between age of information and energy efficiency for intelligent reflecting surface assisted short packet communications[J]. Journal of Electronics & Information Technology, 2025, 47(2): 315–323. doi: 10.11999/JEIT240666. [5] POLYANSKIY Y, POOR H V, and VERDU S. Channel coding rate in the finite blocklength regime[J]. IEEE Transactions on Information Theory, 2010, 56(5): 2307–2359. doi: 10.1109/TIT.2010.2043769. [6] LAI Xiazhi, ZHANG Qi, and QIN Jiayin. Cooperative NOMA short-packet communications in flat Rayleigh fading channels[J]. IEEE Transactions on Vehicular Technology, 2019, 68(6): 6182–6186. doi: 10.1109/TVT.2019.2912391. [7] YUAN Lei, DU Qiuyu, and FANG Fang. Performance analysis of full-duplex cooperative NOMA short-packet communications[J]. IEEE Transactions on Vehicular Technology, 2022, 71(12): 13409–13414. doi: 10.1109/TVT.2022.3199541. [8] GUO Cheng, GUO Chongtao, ZHANG Shengli, et al. Adaptive relaying protocol design and analysis for short-packet cooperative NOMA[J]. IEEE Transactions on Vehicular Technology, 2023, 72(2): 2689–2694. doi: 10.1109/TVT.2022.3213726. [9] NGUYEN T T, VU T H, DA COSTA D B, et al. Short-packet communications in IoT-aided cellular cooperative networks with non-orthogonal multiple access[J]. IEEE Transactions on Vehicular Technology, 2023, 72(1): 1296–1301. doi: 10.1109/TVT.2022.3204460. [10] LI Xingwang, LIU Musen, DANG Shuping, et al. Covert communications with enhanced physical layer security in RIS-assisted cooperative networks[J]. IEEE Transactions on Wireless Communications, 2025, 24(7): 5605–5619. doi: 10.1109/TWC.2025.3548024. [11] LI Xingwang, ZHAO Jingwei, CHEN Gaojie, et al. STAR-RIS-assisted covert wireless communications with randomly distributed blockages[J]. IEEE Transactions on Wireless Communications, 2025, 24(6): 4690–4705. doi: 10.1109/TWC.2025.3543421. [12] 李兴旺, 田志发, 张建华, 等. IRS辅助NOMA网络下隐蔽通信性能研究[J]. 中国科学: 信息科学, 2024, 54(6): 1502–1515. doi: 10.1360/SSI-2023-0174.LI Xingwang, TIAN Zhifa, ZHANG Jianhua, et al. Performance analysis of covert communication in IRS-assisted NOMA networks[J]. SCIENTIA SINICA Informationis, 2024, 54(6): 1502–1515. doi: 10.1360/SSI-2023-0174. [13] VU T H, NGUYEN T V, DA COSTA D B, et al. Intelligent reflecting surface-aided short-packet non-orthogonal multiple access systems[J]. IEEE Transactions on Vehicular Technology, 2022, 71(4): 4500–4505. doi: 10.1109/TVT.2022.3146856. [14] ZHENG Jianchao, WU Tuo, YAO Junteng, et al. Exploring the impact of RIS on cooperative NOMA URLLC systems: A theoretical perspective[J]. IEEE Transactions on Wireless Communications, 2025, 24(10): 8461–8475. doi: 10.1109/TWC.2025.3566602. [15] LE H C, PHAM A T, NGUYEN T T H, et al. Performance analysis of RIS-aided NOMA-based CDRT systems with multiple decode-and- forward relays over Nakagami-m fading channels[J]. IEEE Access, 2024, 12: 194228–194239. doi: 10.1109/ACCESS.2024.3519323. [16] VU T H, NGUYEN T V, PHAM Q V, et al. STAR-RIS-enabled short-packet NOMA systems[J]. IEEE Transactions on Vehicular Technology, 2023, 72(10): 13764–13769. doi: 10.1109/TVT.2023.3278737. [17] KUMAR S, KUMBHANI B, and DARSHI S. Performance analysis of STAR-RIS aided short-packet NOMA network under imperfect SIC and CSI[J]. IEEE Systems Journal, 2025, 19(2): 600–611. doi: 10.1109/JSYST.2025.3562732. [18] XIA Chunli, XIANG Zhongwu, SU Binbin, et al. RIS-NOMA-assisted short-packet communication with hardware impairments[J]. IEEE Internet of Things Journal, 2024, 11(2): 2990–3002. doi: 10.1109/JIOT.2023.3294257. [19] YANG Liang, YANG Yin, HASNA M O, et al. Coverage, probability of SNR gain, and DOR analysis of RIS-aided communication systems[J]. IEEE Wireless Communications Letters, 2020, 9(8): 1268–1272. doi: 10.1109/LWC.2020.2987798. [20] GRADSHTEIN I S and RYZHIK I M. Table of Integrals, Series, and Products[M]. 7th ed. Burlington: Academic Press, 2007: 337–338. [21] LE N P and LE K N. Distributed-RIS assisted wireless powered communication networks in the finite blocklength regim[J]. IEEE Communications Letters, 2022, 26(12): 2884–2888. doi: 10.1109/LCOMM.2022.3205005. -
下载:
下载: