图共 11个 表共 0
    • 图  1  记忆衰退概念示意图

      Figure 1. 

    • 图  2  理想荷控忆阻器DRM

      Figure 2. 

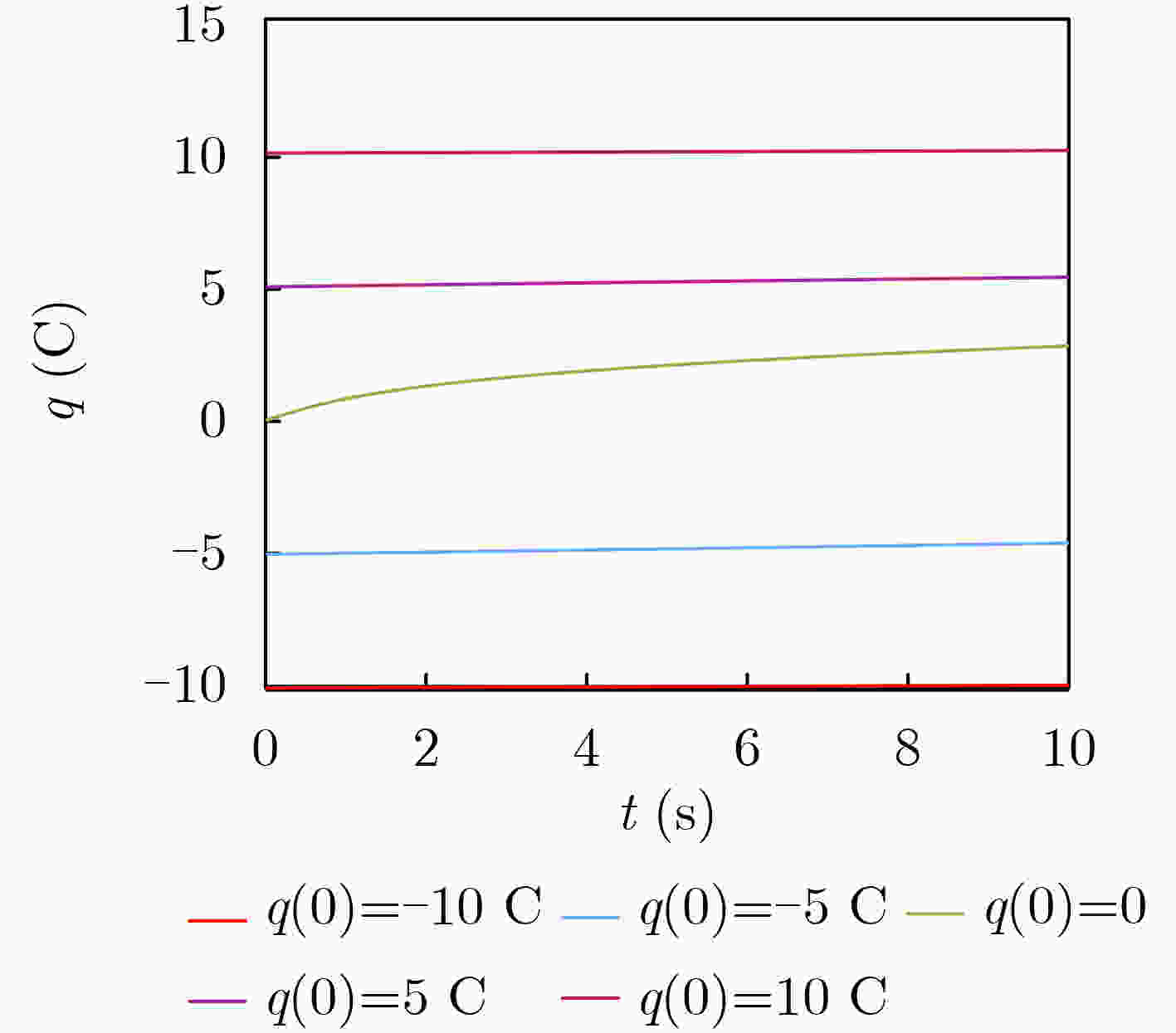
    • 图  3  理想荷控忆阻器在不同初值条件下的DC响应

      Figure 3. 

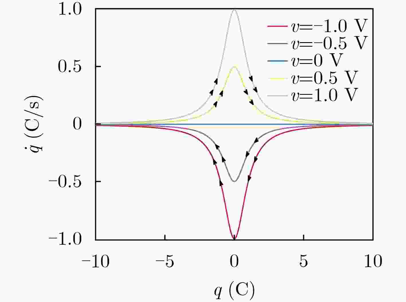
    • 图  4  理想荷控忆阻器在不同初值条件下的AC响应

      Figure 4. 

    • 图  5  双音测试和三角波测试

      Figure 5. 

    • 图  6  理想荷控忆阻器和寄生电阻

      Figure 6. 

    • 图  7  考虑寄生电阻后的DRM

      Figure 7. 

    • 图  8  理想荷控忆阻器和寄生电容

      Figure 8. 

    • 图  9  寄生电容条件下忆阻系统的DC和AC响应

      Figure 9. 

    • 图  10  考虑寄生电阻和寄生电容时的理想荷控忆阻器

      Figure 10. 

    • 图  11  寄生电阻和电容同时存在时忆阻系统的DC和AC响应

      Figure 11.