图共 9个 表共 4
    • 图  1  异步多传感器采样示意图

      Figure 1. 

    • 图  2  传感器i的入邻节点采样时刻映射示意图

      Figure 2. 

    • 图  3  传感器网络的通信拓扑

      Figure 3. 

    • 图  4  测量设备的跟踪弧段

      Figure 4. 

    • 图  5  各测量设备计算的位置、速度RMSE曲线

      Figure 5. 

    • 图  6  目标1传感器网络拓扑变化情况

      Figure 6. 

    • 图  7  目标2传感器网络拓扑变化情况

      Figure 7. 

    • 图  8  P1, S1, S2对目标1分布式滤波定轨的位置、速度RMSE曲线

      Figure 8. 

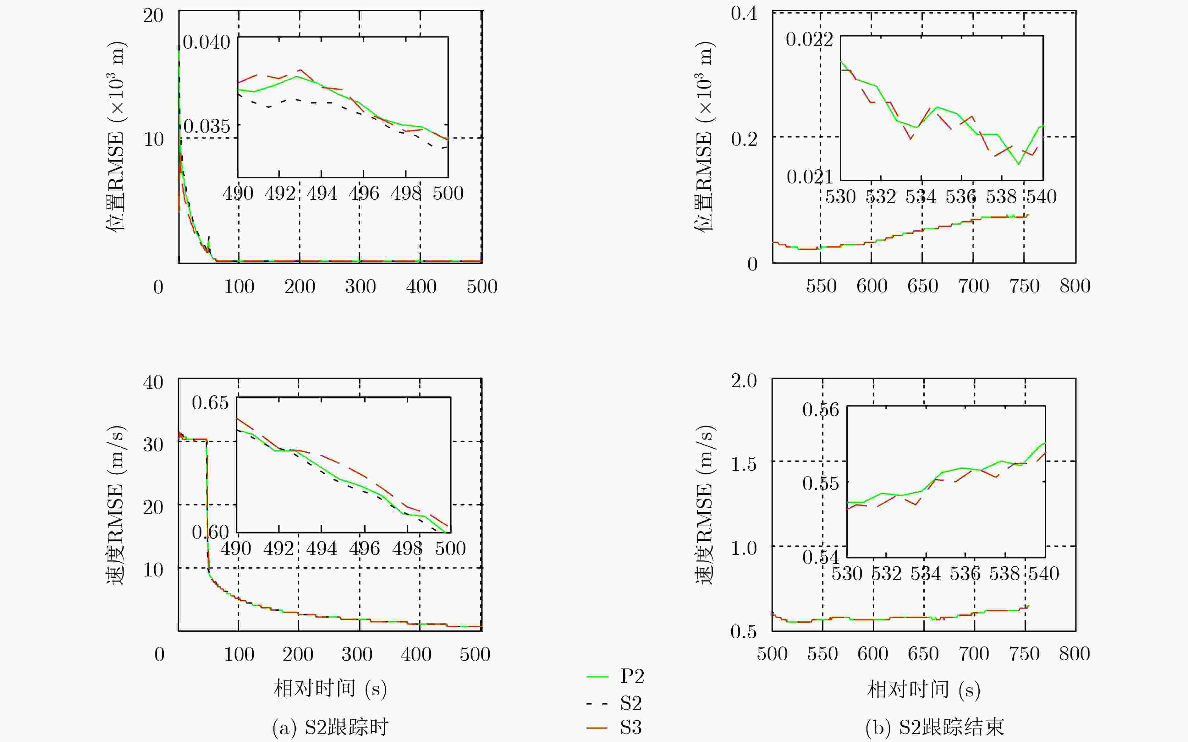
    • 图  9  P2, S2, S3对目标2分布式滤波定轨的位置、速度RMSE曲线

      Figure 9. 

    • 历元X(m)Y(m)Z(m)Vx(m·s–1)Vy(m·s–1)Vz(m·s–1)
      2019-04-25 04:11:56980093.4661709342.5126698030.7146293.7414383734.785328–1863.584480

      表 1  目标初始轨道

    • 天基相机历元a(km)ei(°)Ω(°)ω(°)M(°)
      P12019-4-25 04:00:006878.1370.00001145.0359.80.0339.8
      P22019-4-25 04:00:006778.1370.00001063.4250.110.235.0

      表 2  天基光学相机轨道根数

    • 滤波类型P1P2S1S2S3
      位置ADIF(m)11.438910.774011.668311.389310.9962
      EIF(m)9.6533
      速度ADIF(m/s)0.45500.45630.45750.45640.4564
      EIF(m/s)0.3973

      表 3  各测站集中式与分布式滤波位置平均RMSE

    • 历元X(m)Y(m)Z(m)Vx(m·s–1)Vy(m·s–1)Vz(m·s–1)
      2019-04-25 04:00:556985582.028542743.4501003434.795–966.305250–1160.131728–7350.707562

      表 4  目标2初始轨道