图共 5个 表共 1
    • 图  1  自动协同驾驶的多车编队场景示意图

      Figure 1. 

    • 图  2  车辆编队网络拓扑建模

      Figure 2. 

    • 图  3  不同分配策略的任务总时延

      Figure 3. 

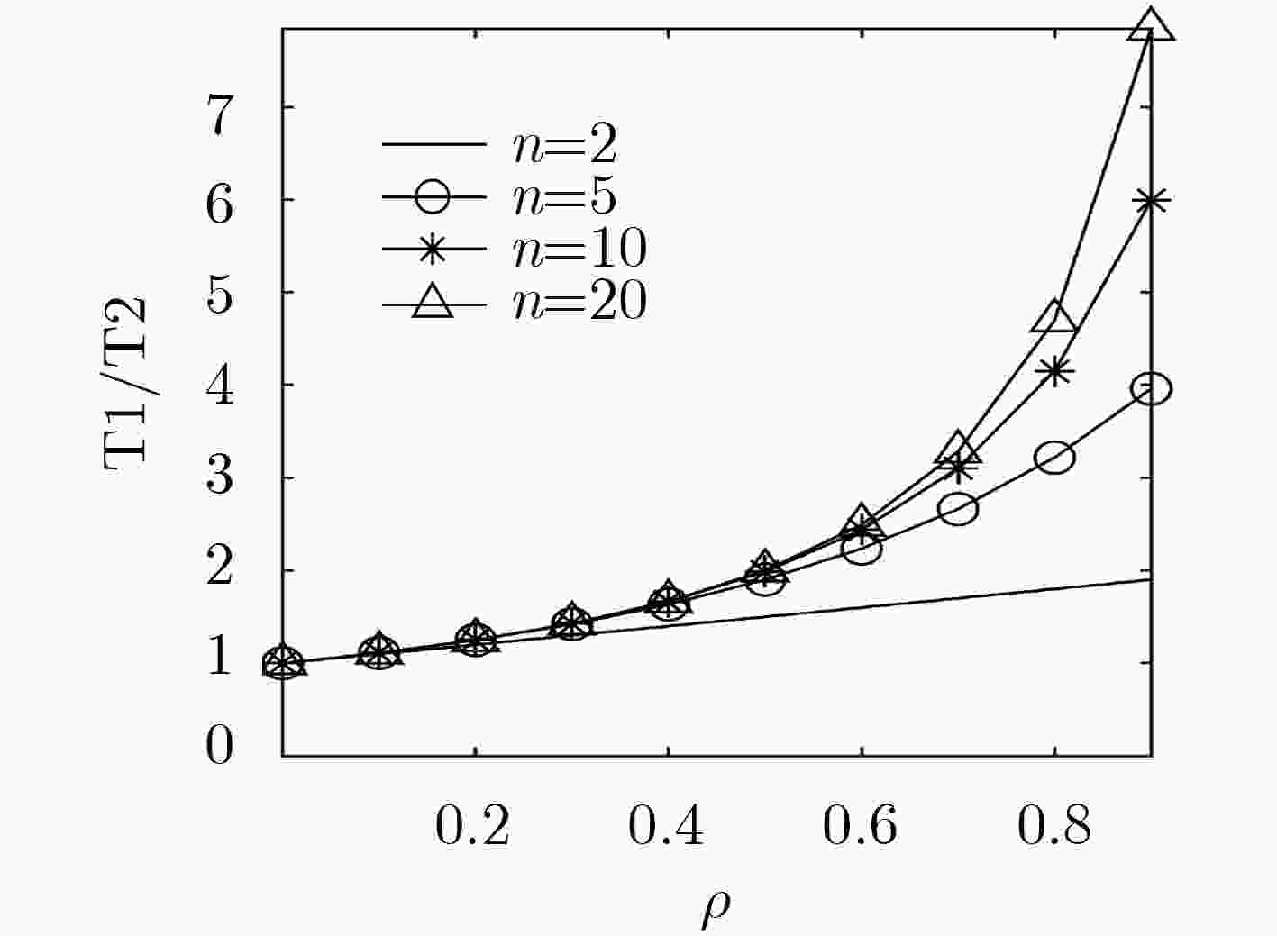
    • 图  4  不同分配策略的处理时延比值关系图

      Figure 4. 

    • 图  5  不同分配策略的系统资源利用率

      Figure 5. 

    •  输入:车辆集$V$,任务集T
       输出:结果集S
       (1) 基于对车辆状态的分类,初始化候选车辆集${V_1}$和结果集S
       (2) 遍历任务集T,选取T 中时延门限${T_i}$最小的任务${t_i}$,对其进行
         分配;
       (3) 选择候选车辆集${V_1}$中的第1辆车${v_{k,1}}$,根据${v_{k,1}}$的处理速率和
         任务${t_i}$的sizei估计${v_{k,1}}$处理任务${t_i}$所需的时间${\tau _{i,1}}$,并令
         $ {\tau _i} = {\tau _{i,1}},\kappa = 1$;
       (4) 遍历候选车辆集${V_1}$,依次计算${V_1}$中每辆车vk处理任务${t_i}$所需
         时间${\tau _{i,k}}$,若${\tau _{i,k}}<{\tau _{i}}$,则令$ {\tau _i} = {\tau _{i,k}},\kappa = k$;
       (5) 遍历${V_1}$完成后,将任务${t_i}$分配给${V_1}$中的第$ \kappa $辆车处理;
       (6) 更新车辆vk的状态,更新候选车辆集${V_1}$,更新任务集T并更
         新结果集S记录每项任务的处理情况;
       (7) 返回第(2)步,继续执行,直到任务全部完成。

      表 1  C-GBS算法